A Review for Compact Model of Thin-Film Transistors (TFTs)
Abstract
1. Introduction
2. Charge Transport Property
2.1. Grain-Boundary Trapping Theory
2.2. Hopping Transport
2.3. Multiple Trapping and Release Theory
3. Surface-Potential-Based Compact Models
3.1. Polysilicon TFT Compact Models
3.2. Amorphous Silicon TFTs
3.3. OTFT Compact Models
3.4. a-IGZO TFTs
4. Comparison of Various Compact Models
4.1. Comparison of Model Accuracy
4.2. Parameter Comparison and Extraction
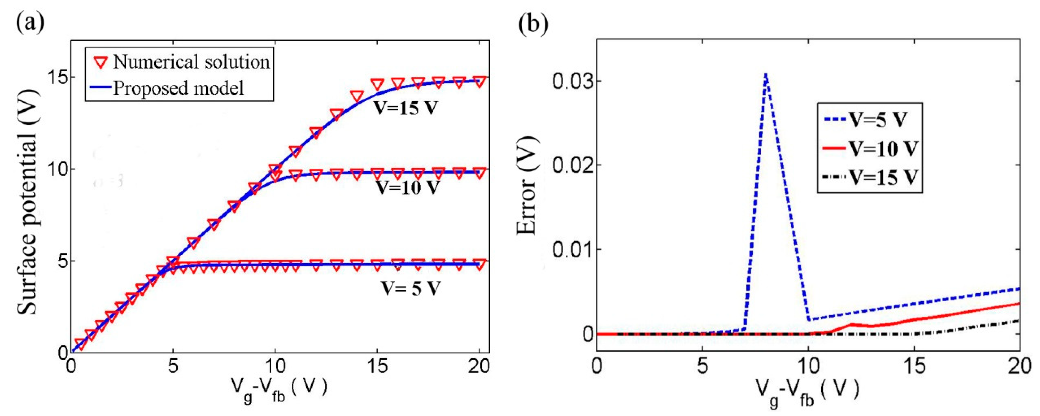
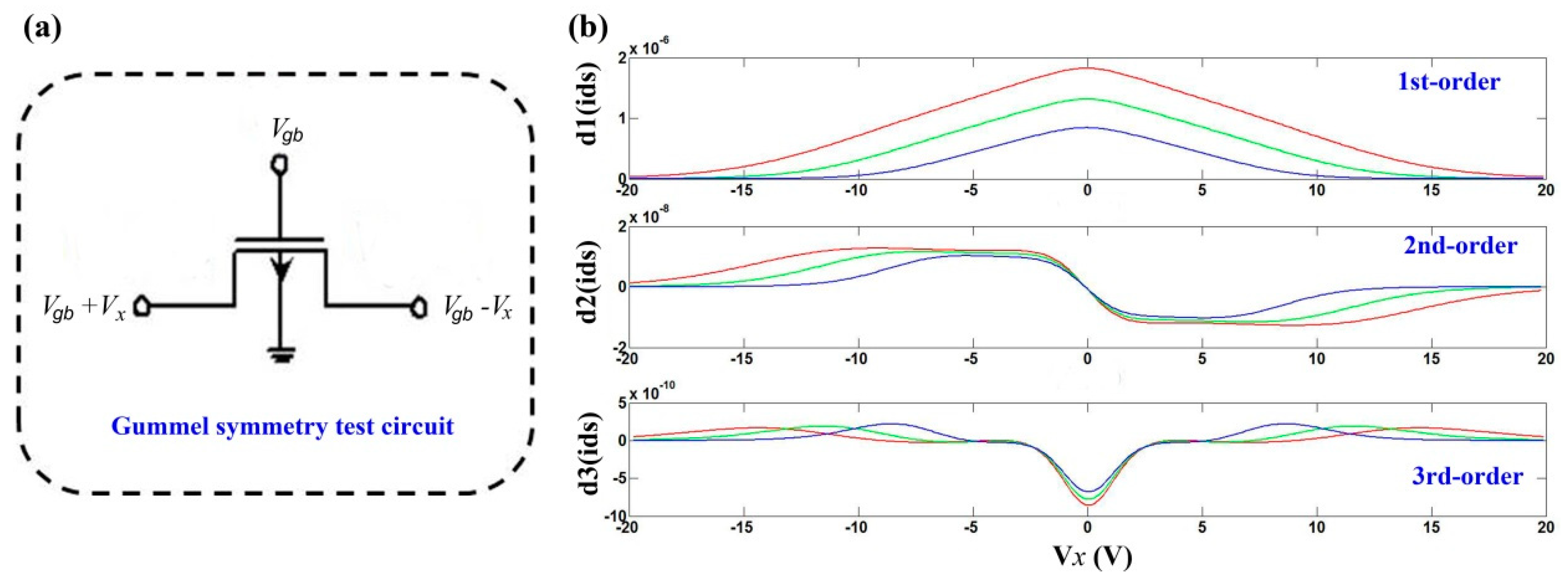
4.3. Criterion and Continuous Test of Compact Models
5. Conclusions and Outlook
Author Contributions
Acknowledgments
Conflicts of Interest
References
- Kanatzidis, M.G. Quick-set Thin Films. Nature 2004, 428, 269–270. [Google Scholar] [CrossRef] [PubMed]
- Lu, N.D.; Wei, W.; Chuai, X.C.; Li, L.; Liu, M. Carrier thermoelectric transport model for black phosphorus field-effect transistors. Chem. Phys. Lett. 2017, 678, 271–274. [Google Scholar] [CrossRef]
- Wang, L.; Wang, W.; Xu, G.; Ji, Z.; Lu, N.; Li, L.; Liu, M. Analytical Carrier Density and Quantum Capacitance for Graphene. Appl. Phys. Lett. 2016, 108, 013503. [Google Scholar] [CrossRef]
- Saremi, M. Carrier Mobility Extraction Method in ChGs in the UV Light Exposure. Micro Nano Lett. 2016, 11, 762–764. [Google Scholar] [CrossRef]
- Saremi, M.; Rajabi, S.; Barnaby, H.J.; Kozicki, M.N. The Effects of Process Variation on the Parametric Model of the Static Impedance Behavior of Programmable Metallization Cell (PMC). MRS Proc. 2014, 1692, 9–39. [Google Scholar] [CrossRef]
- Saremi, M. A Physical-based Simulation for the Dynamic Behavior of Photodoping Mechanism in the Chalcogenide Materials Used in the Lateral Programmable Metallization Cells. Solid State Ion. 2016, 290, 1–5. [Google Scholar] [CrossRef]
- Horowitz, G. Organic Thin Film Transistors: From Theory to Real Devices. J. Mater. Res. 2004, 19, 1946–1962. [Google Scholar] [CrossRef]
- Liu, W.Y.; Wu, Q.S.; Ren, Y.K.; Cui, P.; Yao, B.B.; Li, Y.B.; Hui, M.; Jiang, T.Y.; Bai, L. On the bipolar DC flow field-effect-transistor for multifunctional sample handing in microfluidics: A theoretical analysis under the Debye-Huckel limit. Micromachines 2018, 9, 82. [Google Scholar] [CrossRef] [PubMed]
- RSporea, A.; Trainor, M.J.; Young, N.D.; Shannon, J.M.; Silva, S.R.P. Source-gated transistors for order-of-magnitude performance improvements in thin-film digital circuits. Sci. Rep. 2014, 4, 4295. [Google Scholar] [CrossRef] [PubMed]
- Itoh, T.; Kobayashi, A.; Ueno, K.; Ohta, J.; Fujioka, H. Fabrication of InGaN thin-film transistors using pulsed sputtering deposition. Sci. Rep. 2016, 6, 29500. [Google Scholar] [CrossRef] [PubMed]
- Weimer, P.K. The TFT-A New Thin-Film Transistor. Proc. IRE 1962, 50, 1462–1469. [Google Scholar] [CrossRef]
- Fortunato, E.; Barquinha, P.; Pimented, A.; Goncalves, A.; Marques, A.; Pereira, L.; Martins, R. Recent Advances in ZnO Transparent Thin Film Transistors. Thin Solid Films 2005, 487, 205–211. [Google Scholar] [CrossRef]
- LeComber, P.G.; Spear, W.E.; Gaith, A. Amorphous-Silicon Field-Effect Device and Possible Application. Electron. Lett. 1979, 15, 179–181. [Google Scholar] [CrossRef]
- Depp, S.W.; Juliana, A.; Huth, B.G. Polysilicon FET Devices for Large Area Input/Output Application. In Proceedings of the 1980 International Electron Devices Meeting, Washington, DC, USA, 8–10 December 1980; p. 703. [Google Scholar]
- Tsumura, A.; Koezuka, H.; Ando, T. Macromolecular Electronic Device: Field-Effect Transistor with a Polythiophene Thin Film. Appl. Phys. Lett. 1986, 49, 1210. [Google Scholar] [CrossRef]
- Xu, W.; Hu, Z.H.; Liu, H.M.; Lan, L.F.; Peng, J.B.; Wangn, J.; Cao, Y. Flexible all-organic, all-solution processed thin film transistor array with ultrashort channel. Sci. Rep. 2016, 6, 29055. [Google Scholar] [CrossRef] [PubMed]
- Nomura, K.; Ohta, H.; Takagi, A.; Kamiya, T.; Hirano, M.; Hosono, H. Room-Temperature Fabrication of Transparent Flexible Thin-Film Transistors Using Amorphous Oxide Semiconductors. Nature 2004, 432, 488–492. [Google Scholar] [CrossRef] [PubMed]
- Han, K.; Qiao, G.H.; Deng, Z.L.; Zhang, Y.N. Asymmetric drain extension dual-kk trigate underlap FinFET based on RF/Analog circuit. Micromachines 2017, 8, 330. [Google Scholar] [CrossRef] [PubMed]
- Li, J.F.; Mao, S.M.; Xu, Y.H.; Zhao, X.D.; Wang, W.B.; Guo, F.J.; Zhang, Q.F.; Wu, Y.Q.; Zhang, B.; Chen, T.S. An Improved Large Signal Model for 0.1 μm AlGaN/GaN High Electron Mobility Transistors (HEMTs) Process and Its Applications in Practical Monolithic Microwave Integrated Circuit (MMIC) Design in W band. Micromachines 2018, 9, 396. [Google Scholar] [CrossRef] [PubMed]
- Buccella, P.; Stefanucci, C.; Zou, H.; Moursy, Y.; Iskander, R.; Sallese, J.M.; Kayal, M. Methodology for 3-D Substrate Network Extraction for SPICE Simulation of Parasitic Currents in Smart Power ICs. IEEE Trans. Comput.-Aided Des. Integr. Circuits Syst. 2016, 35, 1489–1502. [Google Scholar] [CrossRef]
- Lu, N.D.; Wang, L.F.; Li, L.; Liu, M. A Review for Compact Model of Graphene Field-Effect Transistors. Chin. Phys. B 2017, 26, 036804. [Google Scholar] [CrossRef]
- Krishnamoorthy, S.; Chowdhury, M.H. Investigation and a practical compact network model of thermal stress in integrated circuits. Integr. Comput.-Aided Eng. 2009, 16, 131–140. [Google Scholar] [CrossRef]
- Available online: https://www.src.org/program/grc/ds/research-needs/2003/compact-modeling.pdf (accessed on 14 April 2003).
- Marinov, O.; Deen, M.J.; Zschieschang, U.; Klauk, H. Organic Thin-Film Transistors: Part I-Compact DC Modeling. IEEE Trans. Electron Dev. 2009, 56, 2952–2961. [Google Scholar] [CrossRef]
- Kacprzak, T.; Materka, A. Compact DC Model of GaAs FETs for Llarge-Signal Computer Calculation. IEEE J. Solid-State Circuits 1983, 18, 211–213. [Google Scholar] [CrossRef]
- Ahmed, S.; Kim, D.; Shichijo, H. A Comprehensive Analytic Model Accumulation-Mode MOSFETs in Polysilicon Thin Films. IEEE Trans. Electron Devices 1986, 33, 973–985. [Google Scholar] [CrossRef]
- Siddiqui, M.J.; Qureshi, S. Surface-Potential-Based Charge Sheet Model for The Polysilicon Thin Film Transistors without Considering Kink Effect. Microelectron. J. 2001, 32, 235–240. [Google Scholar] [CrossRef]
- Iñiguez, B.; Xu, A.; Fjeldly, T.A.; Shur, M.S. Unifed Model for Short-Channel Poly-Si TFTs. Solid-State Electron. 1999, 43, 1821–1831. [Google Scholar] [CrossRef]
- Jacunski, M.D.; Shur, M.S.; Owusu, A.A. A Short-Channel DC SPICE Model for Polysilicon Thin-Film Transistors Including Temperature Effects. IEEE Trans. Electron Devices 1999, 46, 1146–1159. [Google Scholar] [CrossRef]
- Wu, W.J.; Yao, R.H.; Li, S.H.; Hu, Y.F.; Deng, W.L.; Zheng, X.R. A Compact Model for Polysilicon TFTs Leakage Current Including the Poole-Frenkel Effect. IEEE Trans. Electron Devices 2007, 54, 2975–2984. [Google Scholar] [CrossRef]
- Lee, M.; Tai, C.W.; Huang, J.J. Correlation between Gap State Density and Bias Stress Reliability of Nanocrystalline TFTs Comparing with Hydrogenated Amorphous Silicon TFTs. Solid-State Electron. 2013, 80, 72–75. [Google Scholar] [CrossRef]
- Deng, W.L.; Huang, J.K. A Physics-Based Approximation for the Polysilicon Thin-Film Transistor Surface Potential. IEEE Electron. Dev. Lett. 2011, 32, 647–649. [Google Scholar] [CrossRef]
- Li, L.; Debucquoy, M.; Genoe, J.; Heremans, P. A Compact Model for Polycrystalline Pentacene Thin-Film Transistor. J. Appl. Phys. 2010, 107, 024519. [Google Scholar] [CrossRef]
- Hao, Z.W.S.; Duval, J.; Ravelosona, D.; Klein, J.O.; Kim, J.V.; Chappert, C. A Compact Model of Domain Wall Propagation for Logic and Memory Design. J. Appl. Phys. 2011, 109, 07D501. [Google Scholar] [CrossRef]
- Valletta, A.; Demirkol, A.S.; Maira, G.; Frasca, M.; Vinciguerra, V.; Occhipinti, L.G.; Fortuna, L.; Mariucci, L. A Compact SPICE Model for Organic TFTs and Applications to Logic Circuit Design. IEEE Trans. Nanotech. 2016, 15, 754–761. [Google Scholar] [CrossRef]
- Hsieh, H.H.; Kamiya, T.; Nomura, K.; Hosono, H.; Wu, C.C. Modeling of Amorphous InGaZnO4 Thin Film Transistors and Their Subgap, Density of States. Appl. Phys. Lett. 2008, 92, 133503. [Google Scholar] [CrossRef]
- Ghittorelli1, M.; Torricelli1, F.; Steen, J.J.V.D.; Garripoli, C.; Tripathi, A.; Gelinck, G.H.; Cantatore, E.; Kovács-Vajna, Z.M. Physical-Based Analytical Model of Flexible a-IGZO TFTs Accounting for Both Charge Injection and Transport. In Proceedings of the 2015 IEEE International Electron Devices Meeting (IEDM), Washington, DC, USA, 7–9 December 2015; Volume 28, pp. 723–726. [Google Scholar]
- Duavll, S.G. Statical Circuit Modeling and Optimization. In Proceedings of the IEEE 2000 5th International Workshop on Statistical Metrology, Honolulu, HI, USA, 10 June 2000. [Google Scholar]
- Ortiz-Conde, A.; García-Sánchez, F.J.; Muci, J.; Malobabic, S.; Liou, J.J. A Review of Core Compact Models for Undoped Double-Gate SOI MOSFETs. IEEE Trans. Electron Devices 2007, 54, 131–140. [Google Scholar] [CrossRef]
- Gildenblat, G.; Li, X.; Wu, W.M.; Wang, H.L.; Jha, A.; Langevelde, R.V.; Smit, G.D.J.; Scholten, A.J.; Klassen, D.B.M. PSP: An Advanced Surface-Potential-Based MOSFET Model for Circuit Simulation. IEEE Trans. Electron Devices 2006, 53, 1979–1994. [Google Scholar] [CrossRef]
- Song, J.; Yu, B.; Yuan, Y.; Taur, Y. A Review on Compact Modeling of Multiple-Gate MOSFETS. IEEE Trans. Electron Devices 2009, 56, 1858–1869. [Google Scholar]
- Cheng, X.; Lee, S.; Yao, G.Y.; Nathan, A. TFT Compact Modeling. J. Disp. Technol. 2016, 12, 898–906. [Google Scholar] [CrossRef]
- Baccarani, G.; Riccò, B. Transport Properties of Polycrystalline Silicon Films. J. Appl. Phys. 1978, 49, 5565–5571. [Google Scholar] [CrossRef]
- Seto, J.Y.W. The Electrical Properties of Polycrystalline Silicon Films. J. Appl. Phys. 1975, 46, 5247–5254. [Google Scholar] [CrossRef]
- Rech, B.; Wagner, H. Potential of Amorphous Silicon for Solar Cells. Appl. Phys. A 1999, 69, 155–157. [Google Scholar] [CrossRef]
- Bagolini, L.; Mattoni, A.; Collins, R.T.; Lusk, M.T. Carrier Localization in Nanocrystalline Silicon. J. Phys. Chem. C 2014, 118, 13417–13423. [Google Scholar] [CrossRef]
- Lu, N.D.; Li, L.; Liu, M. Universal Carrier Thermoelectric-Transport Model Based on Percolation Theory in Organic Semiconductors. Phys. Rev. B 2015, 91, 195205. [Google Scholar] [CrossRef]
- Li, L.; Lu, N.D.; Liu, M.; Bässler, H. General Einstein Relation Model in Disordered Organic Semiconductors under Quasiequilibrium. Phys. Rev. B 2014, 90, 214107. [Google Scholar] [CrossRef]
- Lu, N.D.; Li, L.; Banerjee, W.; Liu, M. Physical Model of Seebeck Coefficient under Surface Dipole Effect in Organic Thin-Film Transistors. Org. Electron. 2016, 29, 27–32. [Google Scholar] [CrossRef]
- Lu, N.D.; Li, L.; Liu, M. A Review of Carrier Thermoelectric-Transport Theory in Organic Semiconductors. Phys. Chem. Chem. Phys. 2016, 18, 19503–19525. [Google Scholar] [CrossRef] [PubMed]
- Ambegaokar, V.; Halperin, B.I.; Langer, J.S. Hopping Conductivity in Disordered Systems. Phys. Rev. B 1971, 4, 2612–2620. [Google Scholar] [CrossRef]
- Miller, A.; Abrahams, E. Impurity Conduction at Low Concentrations. Phys. Rev. 1960, 120, 745–755. [Google Scholar] [CrossRef]
- Klauk, H. Organic Thin-Film Transistors. Chem. Soc. Rev. 2010, 39, 2643–2666. [Google Scholar] [CrossRef] [PubMed]
- Nomura, K.; Kamiya, T.; Ohta, H.; Ueda, K.; Hirano, M.; Hosono, H. Carrier Transport in Transparent Oxide Semiconductor with Intrinsic Structural Randomness Probed Using Single-crystalline InGaO3(ZnO)5 Films. Appl. Phys. Lett. 2004, 85, 1993–1995. [Google Scholar] [CrossRef]
- Germs, W.C.; Adriaans, W.H.; Tripathi, A.K.; Roelofs, W.S.C.; Cobb, B.; Janssen, R.A.J.; Gelinck, G.H.; Kemerink, M. Charge Transport in Amorphous InGaZnO Thin-Film Transistors. Phys. Rev. B 2012, 86, 155319. [Google Scholar] [CrossRef]
- Lu, N.; Li, L.; Sun, P.; Banerjee, W.; Liu, M. A Unified Physical Model of Seebeck Coefficient in Amorphous Oxide Semiconductor Thin-Film Transistors. J. Appl. Phys. 2014, 116, 104502. [Google Scholar] [CrossRef]
- Li, L.; Lu, N.D.; Liu, M. Field Effect Mobility Model in Oxide Semiconductor Thin Film Transistors With Arbitrary Energy Distribution of Traps. IEEE Electron Device Lett. 2014, 35, 226–228. [Google Scholar] [CrossRef]
- Podzorov, V. Charge Carrier Transport in Single-crystal Organic Field-Effect Transistors. In Organic Field Effect Transistor; CRC Press: Boca Raton, FL, USA, 2007; pp. 27–72. [Google Scholar]
- Sze, S.M.; Ng, K.K. Physics of Semiconductor Devices, 3rd ed.; Wiley: New York, NY, USA, 2007. [Google Scholar]
- Jung, L.; Damiano, J.; Zaman, J.R.; Batra, S.; Manning, M.; Banerjee, S.K. A Leakage Current Model for Sub-Micron Lightly-Doped Drain-Offset Polysilicon TFTs. Solid-State Electron. 1995, 38, 2069–2073. [Google Scholar] [CrossRef]
- Khakzar, K.; Lueder, E.H. Modeling of Amorphous-Silicon Thin-Film Transistors for Circuit Simulations with SPICE. IEEE Trans. Electron Devices 1992, 39, 1428–1435. [Google Scholar] [CrossRef]
- Faughnan, B. Subthreshold Model of A Polycrystalline-Silicon Thin Film Field-Effect Transistor. Appl. Phys. Lett. 1987, 50, 290–292. [Google Scholar] [CrossRef]
- Shur, M.S.; Slade, H.C.; Jacunski, M.D.; Owusu, A.A.; Ytterdal, T. SPICE Models for Amorphous Silicon and Polysilicon Thin Film Transistors. J. Electrochem. Soc. 1997, 144, 2833–2839. [Google Scholar] [CrossRef]
- Siddiqui, M.J.; Qureshi, S. An Empirical Model for Leakage Current in Poly-Silicon Thin Film Transistor. Solid State Electron. 2000, 44, 2015–2019. [Google Scholar] [CrossRef]
- Iñiguez, B.; Fjeldly, T.A.; Shur, M.S. Thin Film Transistor Modeling, in Silicon and Beyond: Advanced Circuit Simulators and Device Models; Shur, M.S., Fjeldly, T.A., Eds.; World Scientific Publishers: Singapore, 2000; pp. 703–723. [Google Scholar]
- Tsividis, Y.P.; Suyama, K. MOSFET Modeling for Analog Circuit CAD: Problems and Prospects. IEEE J. Solid-State Circuits 1994, 29, 210–216. [Google Scholar] [CrossRef]
- Tsuji, H.; Kuzuoka, T.; Kishida, Y.; Kirihara, M.; Kamakura, Y.; Morifuji, M.; Shimizu, Y.; Miyano, S.; Taniguchi, K. A New Surface Potential Based Poly-Si TFT Model for Circuit Simulation. In Proceedings of the 2006 International Electron Devices Meeting, San Francisco, CA, USA, 11–13 December 2006; pp. 179–186. [Google Scholar]
- Leroux, T. Static and Dynamic Analysis of Amorphous-Silicon Field-Effect Transistors. Solid-State Electron. 1986, 29, 47–58. [Google Scholar] [CrossRef]
- Brews, J.R. A Charge-Sheet Model of the MOSFET. Solid-State Electron. 1978, 21, 345–355. [Google Scholar] [CrossRef]
- Sleight, J.W.; Rios, R. A Continuous Compact MOSFET Model for Fully- and Partially-Depleted SOI Devices. IEEE Trans. Electron Devices 1998, 45, 821–825. [Google Scholar] [CrossRef]
- Pao, H.C.; Sah, C.T. Effects of Diffusion Current on Characteristics of Metal-Oxide (Insulator)-Semiconductor Transistors. Solid-State Electron. 1966, 9, 927–937. [Google Scholar] [CrossRef]
- Chen, R.S.; Zheng, X.R.; Deng, W.L.; Wu, Z.H. A Physics-Based Analytical Solution to the Surface Potential of Polysilicon Thin Film Transistors Using the Lambert W Function. Solid-State Electron. 2007, 51, 975–981. [Google Scholar] [CrossRef]
- Corless, R.M.; Gonnet, G.H.; Hare, D.E.G.; Jeffrey, D.J.; Knuth, D.E. On Lambert’s W function. Adv. Comput. Math. 1996, 5, 329–359. [Google Scholar] [CrossRef]
- G Gildenblat, T.L.C.; Gu, H.W.; Cai, X. SP: An Advanced Surface Potential-Based Compact MOSFET Model. IEEE J. Solid-State Circuits 2004, 39, 1394–1406. [Google Scholar] [CrossRef]
- Hack, M.; Shaw, J. Transient Simulations of Amorphous-Silicon Devices, Materials Research Soc. Symp. Proc. 1991, 219, 315–320. [Google Scholar] [CrossRef]
- Shur, M.S.; Jacunski, M.D.; Slade, H.C.; Hack, M. Analytical Models for Amorphous-Silicon and Polysilicon Thin-Film Transistor for High-Definition-Display Technology. J. Soc. Inf. Disp. 1995, 4, 223–236. [Google Scholar] [CrossRef]
- Servati, P.; Nathan, A. Modeling of the Static and Dynamic Behavior of Hydrogenated Amorphous Silicon Thin-Film Transistors. J. Vac. Sci. Technol. A 2002, 20, 1038–1042. [Google Scholar] [CrossRef]
- Colalongo, L. A New Analytical Model for Amorphous-Silicon Thin-Film Transistors Including Tail and Deep States. Solid-State Electron. 2001, 45, 1525–1530. [Google Scholar] [CrossRef]
- Servati, P.; Striakhilev, D.; Nathan, A. Above-Threshold Parameter Extraction and Modeling for Amorphous Silicon Thin-Film Transistors. IEEE Trans. Electron Devices 2003, 50, 2227–2235. [Google Scholar] [CrossRef]
- Liu, Y.; Yao, R.H.; Li, B.; Deng, W.L. An Analytical Model Based on Surface Potential for a-Si:H Thin-Film Transistors. J. Disp. Technol. 2008, 4, 180–187. [Google Scholar]
- Qin, J.; Yao, R.H. A Physics-Based Scheme for Potentials of a-Si:H TFT with Symmetric Dual Gate Considering Deep Gaussian DOS Distribution. Solid-State Electron. 2014, 95, 46–51. [Google Scholar] [CrossRef]
- Bässler, H. Charge Transport in Disordered Organic Photoconductors, a Monte Carlo Simulation Study. Phys. Status Solidi B 1993, 175, 15–56. [Google Scholar] [CrossRef]
- Wang, L.; Lu, N.D.; Li, L.; Ji, Z.Y.; Banerjee, W.; Liu, M. Compact Model for Organic Thin-Film Transistor with Gaussian Density of States. AIP Adv. 2015, 5, 047123. [Google Scholar] [CrossRef]
- Coehoorn, R.; Pasveer, W.F.; Bobbert, P.A.; Michels, M.A.J. Charge-Carrier Concentration Dependence of The Hopping Mobility in Organic Materials with Gaussian Disorder. Phys. Rev. B 2005, 72, 155206. [Google Scholar] [CrossRef]
- Li, L.; Chung, K.-S.; Jang, J. Field Effect Mobility Model in Organic Thin Film Transistor. Appl. Phys. Lett. 2011, 98, 023305. [Google Scholar] [CrossRef]
- Zong, W.W.; Li, L.; Jang, J.; Lu, N.D.; Liu, M. Analytical Surface-Potential Compact Model for Amorphous-IGZO Thin-Film Transistors. J. Appl. Phys. 2015, 117, 215705. [Google Scholar] [CrossRef]
- Zong, Z.W.; Li, L.; Jang, J.; Li, Z.G.; Lu, N.D.; Shang, L.W.; Ji, Z.Y.; Liu, M. A New Surface Potential-Based Compact Model for a-IGZO TFTs in RFID Applications. In Proceedings of the 2014 IEEE International Electron Devices Meeting, San Francisco, CA, USA, 15–17 December 2014; Volume 35, pp. 860–863. [Google Scholar]
- Ghittorelli, M.; Torricelli, F.; Colalongo, L.; Vajna, Z.M.K. Accurate analytical physical modeling of amorphous InGaZnO thin-film transistors accounting for trapped and free charges. IEEE Trans. Electron Devices 2014, 61, 4105–4112. [Google Scholar] [CrossRef]
- Liu, Y.; Yao, R.H.; Li, B.; Xie, W.N. A Physical Model Based on Surface Potential for Double-Gate a-Si:H TFTs. In Proceedings of the 2009 IEEE International Conference of Electron Devices and Solid-State Circuits (EDSSC), Xi’an, China, 25–27 December 2009. [Google Scholar]
- Tsormpatzoglou, A.; Hastas, N.A.; Choi, N.; Mahmoudabadi, F.; Hatalis, M.K.; Dimitriadis, C.A. Analytical Surface-Potential-Based Drain Current Model for Amorphous InGaZnO Thin Film Transistors. J. Appl. Phys. 2013, 114, 184502. [Google Scholar] [CrossRef]
- Bendix, P.; Rakers, P.; Wagh, P.; Lemaitre, L.; Grabinski, W.; McAndrew, C.; Gu, X.; Gildenblat, G. RF distortion analysis with compact MOSFET models. In Proceedings of the IEEE 2004 Custom Integrated Circuits Conference (IEEE Cat. No.04CH37571), Orlando, FL, USA, 6 October 2004; pp. 9–12. [Google Scholar]
- McAndrew, C.C. Validation of MOSFET Model Source-Drain Symmetry. IEEE Trans. Electron Devices 2006, 53, 2202–2206. [Google Scholar] [CrossRef]




















| Types | Parameter Numbers | Authors | Years |
|---|---|---|---|
| Polysilicon TFTs | 15 [67] | Y. Shimizu, et al. | 2006 |
| 14 [72] | R. S. Chen, et al. | 2007 | |
| 11 [32] | W. L. Deng, et al. | 2011 | |
| Amorphous TFTs | 16 [80] | Y. Liu, et al. | 2008 |
| 22 [89] | Y. Liu, et al. | 2009 | |
| 14 [81] | J. Qin, et al. | 2014 | |
| Organic TFTs | 12 [83] | Our work | 2015 |
| IGZO TFTs | 14 [90] | A. Tsormpatzoglou, et al. | 2013 |
| 12 [86] | Our work | 2014 |
| Years | Parameter Numbers | Authors | Method |
|---|---|---|---|
| 1995 | 14 [39] | M. S. Shur, et al. | Effective medium approach |
| 1999 | 28 [27] | B. Iñiguez, et al. | Effective medium approximation |
| 1999 | 14 [29] | M. D. Jacunski, et al. | Semi-empirical approach |
| 2006 | 15 [67] | Y. Shimizu, et al. | Surface potential |
| 2007 | 14 [72] | R. S. Chen, et al. | Surface potential |
| 2007 | 12 [30] | W. J. Wu, et al. | Generation-recombination model |
| 2011 | 11 [32] | W. L. Deng, et al. | Surface potential |
| 2015 | 12 [83] | Our work | Surface potential |
© 2018 by the authors. Licensee MDPI, Basel, Switzerland. This article is an open access article distributed under the terms and conditions of the Creative Commons Attribution (CC BY) license (http://creativecommons.org/licenses/by/4.0/).
Share and Cite
Lu, N.; Jiang, W.; Wu, Q.; Geng, D.; Li, L.; Liu, M. A Review for Compact Model of Thin-Film Transistors (TFTs). Micromachines 2018, 9, 599. https://doi.org/10.3390/mi9110599
Lu N, Jiang W, Wu Q, Geng D, Li L, Liu M. A Review for Compact Model of Thin-Film Transistors (TFTs). Micromachines. 2018; 9(11):599. https://doi.org/10.3390/mi9110599
Chicago/Turabian StyleLu, Nianduan, Wenfeng Jiang, Quantan Wu, Di Geng, Ling Li, and Ming Liu. 2018. "A Review for Compact Model of Thin-Film Transistors (TFTs)" Micromachines 9, no. 11: 599. https://doi.org/10.3390/mi9110599
APA StyleLu, N., Jiang, W., Wu, Q., Geng, D., Li, L., & Liu, M. (2018). A Review for Compact Model of Thin-Film Transistors (TFTs). Micromachines, 9(11), 599. https://doi.org/10.3390/mi9110599
