Optical Sensor for Scanning Angle of Micromirror with Improved 2D Calibration Method
Abstract
1. Introduction
2. Design and Calibration of the Optical Angle Sensor
2.1. System Assembly
2.2. Working Principle of Optical Angle Sensor
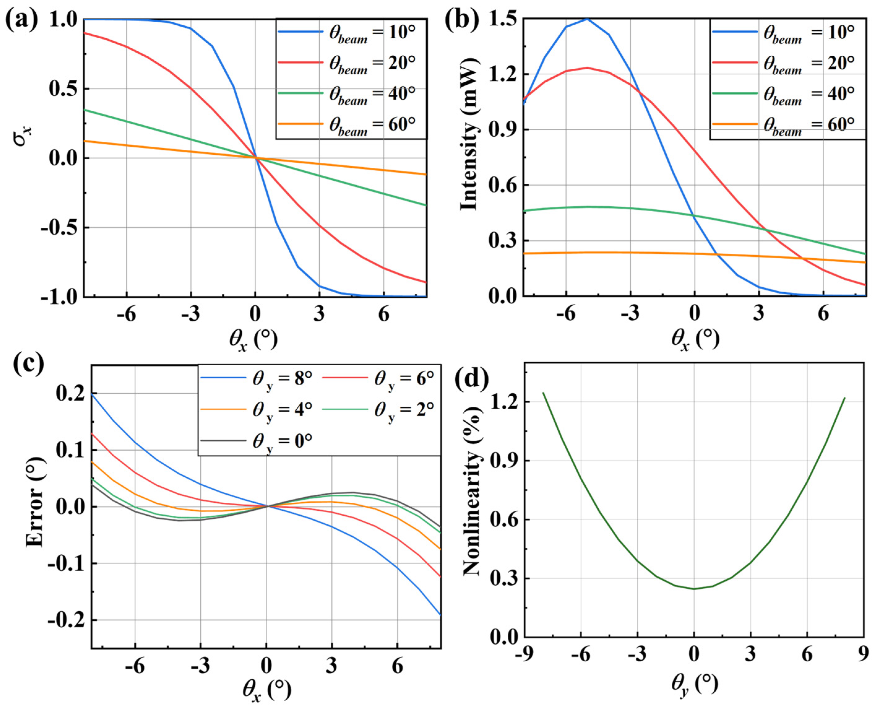
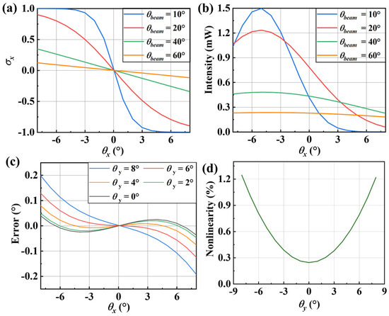
2.3. Calibration Method
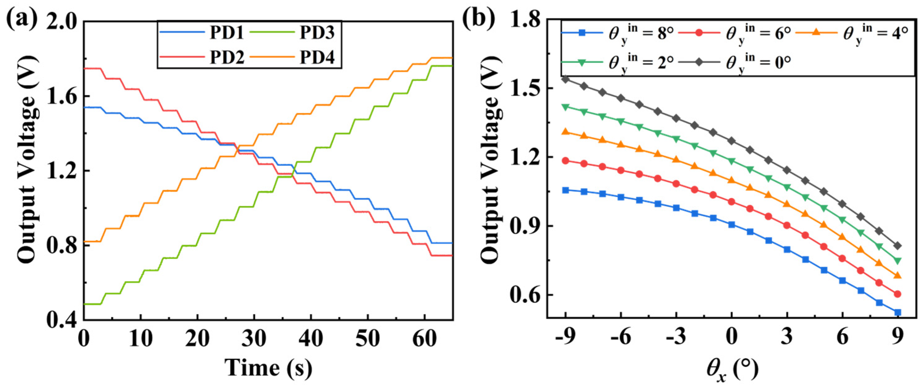
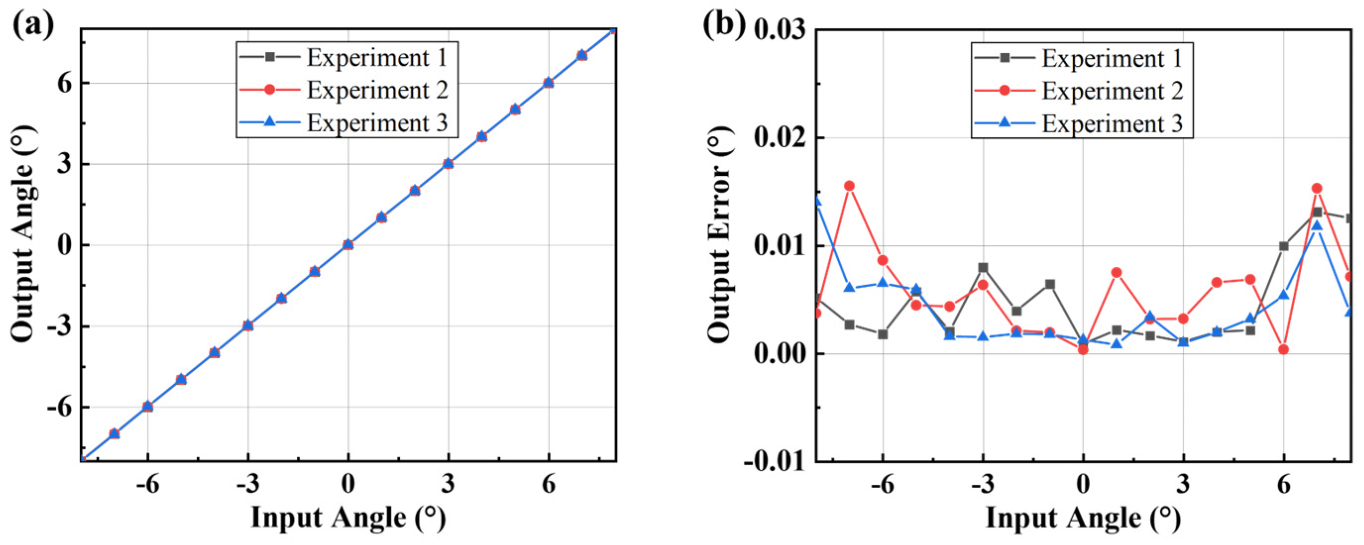
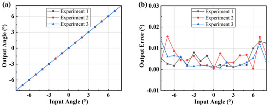
3. Experiments
4. Conclusions
Supplementary Materials
Author Contributions
Funding
Data Availability Statement
Conflicts of Interest
References
- Zhang, X.; Kwon, K.; Henriksson, J.; Luo, J.; Wu, M.C. A large-scale microelectromechanical-systems-based silicon photonics LiDAR. Nature 2022, 603, 253–258. [Google Scholar] [CrossRef]
- Hwang, J.Y.; Bu, J.U.; Ji, C.H. Low Power Electromagnetic Scanning Micromirror for LiDAR System. IEEE Sens. J. 2021, 21, 7358–7366. [Google Scholar] [CrossRef]
- Song, H.S.; Kim, Y.K. Automatic One-Shot LiDAR Alignment Inspection System Using NIR Camera. IEEE Sens. J. 2023, 23, 7798–7805. [Google Scholar] [CrossRef]
- Kim, J.H.; Lee, S.W.; Jeong, H.S.; Lee, S.K.; Ji, C.H.; Park, J.H. Electromagnetically actuated 2-axis scanning micromirror with large aperture and tilting angle for lidar applications. In Proceedings of the 2015 Transducers—2015 18th International Conference on Solid-State Sensors, Actuators and Microsystems, Anchorage, AK, USA, 21–25 June 2015. [Google Scholar]
- Kang, S.Y.; Park, J.H.; Ji, C.H. Design optimization of a 6.4mm-diameter electromagnetic 2D scanning micromirror. Opt. Express 2020, 28, 31272–31286. [Google Scholar] [CrossRef] [PubMed]
- Hung, A.C.L.; Lai, H.Y.H.; Lin, T.-W.; Fu, S.-G.; Lu, M.S.C. An electrostatically driven 2D micro-scanning mirror with capacitive sensing for projection display. Sens. Actuators A Phys. 2015, 222, 122–129. [Google Scholar] [CrossRef]
- Wang, D.; Watkins, C.; Xie, H. MEMS Mirrors for LiDAR: A Review. Micromachines 2020, 11, 456. [Google Scholar] [CrossRef]
- Meinel, K.; Stoeckel, C.; Melzer, M.; Zimmermann, S.; Forke, R.; Hiller, K.; Otto, T. Piezoelectric scanning micromirror with built-in sensors based on thin film aluminum nitride. In Proceedings of the 2019 IEEE SENSORS, Montreal, QC, Canada, 27–30 October 2019; pp. 1–4. [Google Scholar] [CrossRef]
- Hwang, J.Y.; Yoon, H.; Lee, S.G.; Park, H.S.; Ji, C.H. Single-Crystal PMN-PT-Laminated Piezoelectric Scanning Micromirror for Laser Beam Scanning Applications. IEEE Sens. J. 2023, 23, 21084–21095. [Google Scholar] [CrossRef]
- Maroufi, M.; Fowler, A.G.; Moheimani, S.O.R. Moheimani, MEMS for Nanopositioning: Design and Applications. J. Microelectromech. 2017, 26, 469–500. [Google Scholar] [CrossRef]
- Frigerio, P.; Molinari, L.; Barbieri, A.; Carminati, R.; Boni, N.; Langfelder, G. Closed-Loop Control of Quasi-Static Scanning PZT Micromirrors with Embedded Piezoresistive Sensing and Spurious Mode Rejection. In Proceedings of the 2021 21st International Conference on Solid-State Sensors, Actuators and Microsystems (Transducers), Orlando, FL, USA, 20–24 June 2021; pp. 435–438. [Google Scholar]
- Frigerio, P.; Molinari, L.; Barbieri, A.; Zamprogno, M.; Mendicino, G.; Boni, N.; Langfelder, G. Nested Closed-Loop Control of Quasi-Static MEMS Scanners With Large Dynamic Range. IEEE Trans. Ind. Electron. 2023, 70, 4217–4225. [Google Scholar] [CrossRef]
- von Wantoch, T.; Mallas, C.; Hofmann, U.; Janes, J.; Wagner, B.; Benecke, W. Analysis of capacitive sensing for 2D-MEMS scanner laser projection. In Proceedings of the MOEMS and Miniaturized Systems XIII, San Francisco, CA, USA, 1–6 February 2014; SPIE: Bellingham, WA, USA, 2014; Volume 8977. [Google Scholar]
- Sasaki, M.; Tabata, M.; Hane, K. Passivated Piezoresistive Rotation Angle Sensor Integrated in Micromirror. In Proceedings of the 2007 IEEE/LEOS International Conference on Optical MEMS and Nanophotonics, Hualien, Taiwan, 12 August–16 July 2007; pp. 193–194. [Google Scholar]
- Shan, Y.; Qian, L.; He, K.; Chen, B.; Wang, K.; Li, W.; Shen, W. Electrostatic MEMS Two-Dimensional Scanning Micromirrors Integrated with Piezoresistive Sensors. Micromachines 2024, 15, 1421. [Google Scholar] [CrossRef]
- Yu, H.; Zhou, P.; Wang, K.; Huang, Y.; Shen, W. Optimization of MOEMS Projection Module Performance with Enhanced Piezoresistive Sensitivity. Micromachines 2020, 11, 651. [Google Scholar] [CrossRef]
- Kobayashi, T.; Maeda, R. Piezoelectric Optical Micro Scanner with Built-in Torsion Sensors. Jpn. J. Appl. Phys. 2007, 46, 2781. [Google Scholar] [CrossRef]
- Ishikawa, I.; Sawada, R.; Higurashi, E.; Sanada, S.; Chino, D. Integrated micro-displacement sensor that measures tilting angle and linear movement of an external mirror. Sens. Actuators A Phys. 2007, 138, 269–275. [Google Scholar] [CrossRef]
- Inokuchi, M.; Ando, H.; Kinosita, M.; Akase, K.; Higurashi, E.; Sawada, R. Development of a micro displacement sensor with monolithic-integrated two-dimensionally distributed photodiodes. In Proceedings of the 2009 IEEE/LEOS International Conference on Optical MEMS and Nanophotonics, Clearwater, FL, USA, 17–20 August 2009; pp. 119–120. [Google Scholar]
- Takeshita, T.; Peng, Y.; Morita, N.; Ando, H.; Higurashi, E.; Sawada, R. Characteristics of a monolithically integrated micro-displacement sensor. In Proceedings of the 14th Joint Int. IMEKO TC1, TC7, TC13 Symposium on Intelligent Quality Measurements, Jena, Germany, 31 August–2 September 2011; pp. 1–6. [Google Scholar]
- Song, Y.M.; Ju, G.W.; Choi, H.J.; Lee, Y.W.; Na, B.H.; Lee, Y.T. Reflective displacement sensors with monolithically integrated VCSELs and RCEPDs. Electron. Lett. 2015, 51, 782–783. [Google Scholar] [CrossRef]
- Zhan, H.; Zhou, W.; Ran, L.; Yu, H.; Peng, B.; Hao, R. A High-Resolution Optical Displacement Detection Method for Piezoelectric Microvibratory Stage. IEEE Trans. Ind. Electron. 2020, 67, 10897–10904. [Google Scholar] [CrossRef]
- Chen, M.; Yang, Y.; Jia, X.; Gao, H. Investigation of positioning algorithm and method for increasing the linear measurement range for four-quadrant detector. Optik 2013, 124, 6806–6809. [Google Scholar] [CrossRef]
- Diao, K.; Liu, X.; Yao, Z.; Lu, W.; Yang, W. Improved calibration method of a four-quadrant detector based on Bayesian theory in a laser auto-collimation measurement system. Appl. Opt. 2022, 61, 5545–5551. [Google Scholar] [CrossRef] [PubMed]
- Wu, J.; Chen, Y.; Gao, S.; Li, Y.; Wu, Z. Improved measurement accuracy of spot position on an InGaAs quadrant detector. Appl. Opt. 2015, 54, 8049–8054. [Google Scholar] [CrossRef]
- Zhang, C.; Duan, F.; Fu, X.; Liu, W.; Su, Y.; Li, X. Research of intelligent segment-fitting algorithm for increasing the measurement accuracy of quadrant detector in straightness measuring system. Opt. Laser Technol. 2020, 125, 106062. [Google Scholar] [CrossRef]
- Hung, S.-K.; Chung, Y.-H.; Chen, C.-L.; Chang, K.-H. Optoelectronic Angular Displacement Measurement Technology for 2-Dimensional Mirror Galvanometer. Sensors 2022, 22, 872. [Google Scholar] [CrossRef]
- Keller, W.; Borkowski, A. Thin plate spline interpolation. J. Geod. 2019, 93, 1251–1269. [Google Scholar] [CrossRef]















Disclaimer/Publisher’s Note: The statements, opinions and data contained in all publications are solely those of the individual author(s) and contributor(s) and not of MDPI and/or the editor(s). MDPI and/or the editor(s) disclaim responsibility for any injury to people or property resulting from any ideas, methods, instructions or products referred to in the content. |
© 2025 by the authors. Licensee MDPI, Basel, Switzerland. This article is an open access article distributed under the terms and conditions of the Creative Commons Attribution (CC BY) license (https://creativecommons.org/licenses/by/4.0/).
Share and Cite
Ran, L.; Ma, Z.; Li, T.; He, J.; Wu, J.; Zhou, W. Optical Sensor for Scanning Angle of Micromirror with Improved 2D Calibration Method. Micromachines 2025, 16, 1046. https://doi.org/10.3390/mi16091046
Ran L, Ma Z, Li T, He J, Wu J, Zhou W. Optical Sensor for Scanning Angle of Micromirror with Improved 2D Calibration Method. Micromachines. 2025; 16(9):1046. https://doi.org/10.3390/mi16091046
Chicago/Turabian StyleRan, Longqi, Zhongrui Ma, Ting Li, Jiangbo He, Jiahao Wu, and Wu Zhou. 2025. "Optical Sensor for Scanning Angle of Micromirror with Improved 2D Calibration Method" Micromachines 16, no. 9: 1046. https://doi.org/10.3390/mi16091046
APA StyleRan, L., Ma, Z., Li, T., He, J., Wu, J., & Zhou, W. (2025). Optical Sensor for Scanning Angle of Micromirror with Improved 2D Calibration Method. Micromachines, 16(9), 1046. https://doi.org/10.3390/mi16091046

