1200V 4H-SiC MOSFET with a High-K Source Gate for Improving Third-Quadrant and High Frequency Figure of Merit Performance
Abstract
1. Introduction
2. Device Structure and Mechanism
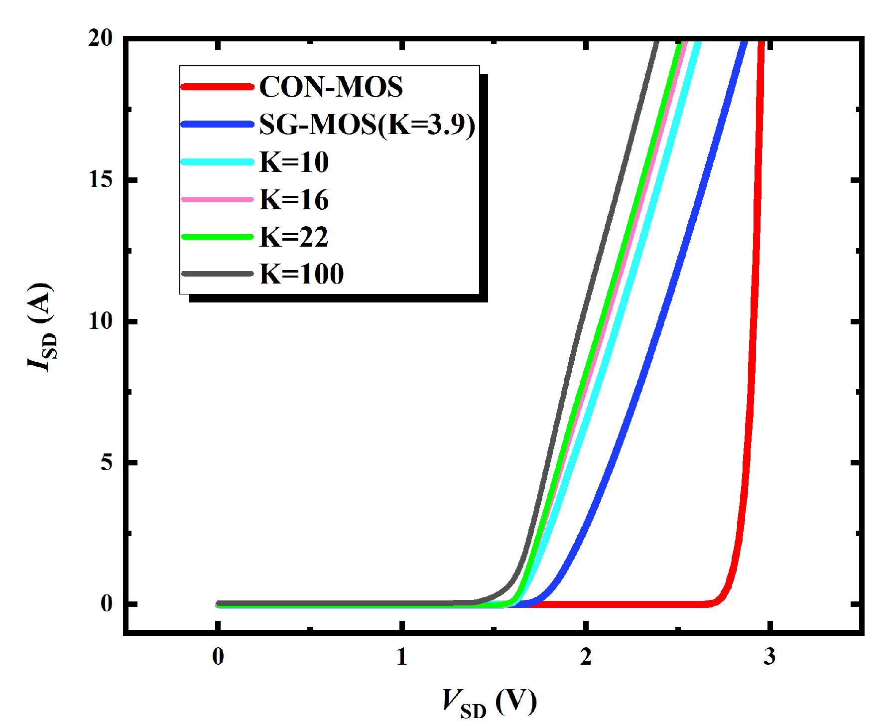
3. Simulation Results and Discussion
4. Conclusions
Author Contributions
Funding
Data Availability Statement
Conflicts of Interest
References
- Tang, L.; Jiang, H.; Wei, J.; Hu, Q.; Zhong, X.; Qi, X. A comparative study of SiC MOSFETs with and without integrated SBD. Microelectron. J. 2022, 128, 105576. [Google Scholar] [CrossRef]
- Liu, S.; Huang, M.; Wang, M.; Zhang, M.; Wei, J. Considerations for SiC super junction MOSFET: On-resistance, gate structure, and oxide shield. Microelectron. J. 2023, 137, 105823. [Google Scholar] [CrossRef]
- Kong, M.; Duan, Y.; Zhang, B.; Yan, R.; Yi, B.; Yang, H. A novel 4H-SiC accumulation mode MOSFET with ultra-low specific on-resistance and improved reverse recovery capability. IET Power Electron. 2023, 16, 2369–2377. [Google Scholar] [CrossRef]
- Wei, J.; Jiang, Q.; Luo, X.; Huang, J.; Yang, K.; Ma, Z.; Fang, J.; Yang, F. High performance SiC trench-type MOSFET with an integrated MOS-channel diode. Chin. Phys. B 2023, 32, 028503. [Google Scholar] [CrossRef]
- Luo, X.; Zhang, K.; Song, X.; Fang, J.; Yang, F.; Zhang, B. 4H-SiC trench MOSFET with an integrated Schottky barrier diode and L-shaped P+ shielding region. J. Semicond. 2020, 41, 102801. [Google Scholar] [CrossRef]
- Ishigaki, T.; Murata, T.; Kinoshita, K.; Morikawa, T.; Oda, T.; Fujita, R.; Konishi, K.; Mori, Y.; Shima, A. Analysis of Degradation Phenomena in Bipolar Degradation Screening Process for SiC MOSFETs. In Proceedings of the 2019 31st International Symposium on Power Semiconductor Devices and ICs, Shanghai, China, 19–23 May 2019; pp. 259–262. [Google Scholar] [CrossRef]
- Aiba, R.; Matsui, K.; Baba, M.; Harada, S.; Yano, H.; Iwamuro, N. Demonstration of Superior Electrical Characteristics for 1.2 kV SiC Schottky Barrier Diodc-Wall Integrated Trench MOSFET With Higher Schottky Barrier Height Mctal. IEEE Electron Device Lett. 2020, 41, 1810–1813. [Google Scholar] [CrossRef]
- Cheng, H.; Li, W.; Wang, P.; Chen, J.; Wang, Q.; Yu, H. A Fast Recovery SiC TED MOS MOSFET with Schottky Barrier Diode (SBD). Crystals 2023, 13, 650. [Google Scholar] [CrossRef]
- Zhang, Y.; Bai, S.; Chen, G.; Zhang, T.; Huang, R.; Li, S.; Yang, Y. 4H-SiC double trench MOSFET with Inverted-T groove and integrated Schottky barrier diode. Micro Nanostructures 2024, 198, 208052. [Google Scholar] [CrossRef]
- Deng, X.C.; Xu, X.J.; Li, X.; Li, X.; Wen, Y.; Chen, W.J. A Novel SiC MOSFET Embedding Low Barrier Diode with Enhanced Third Quadrant and Switching Performance. IEEE Electron Device Lett. 2020, 41, 1472–1475. [Google Scholar] [CrossRef]
- Ding, J.; Deng, X.; Li, S.; Wu, H.; Li, X.; Li, X.; Chen, W.; Zhang, B. A Low-Loss Diode Integrated SiC Trench MOSFET for Improving Switching Performance. IEEE Trans. Electron. Devices 2022, 69, 6249–6254. [Google Scholar] [CrossRef]
- Li, P.; Ma, R.; Shen, J.; Jing, L.; Guo, J.; Lin, Z. A Novel SiC MOSFET with a Fully Depleted P-Base MOS-Channel Diode for Enhanced Third Quadrant Performance. IEEE Trans. Electron. Devices 2022, 69, 4438–4443. [Google Scholar] [CrossRef]
- Cao, W.; Yin, S.; Hu, X.; Li, M.; Ge, X.; Liu, D. A Novel SiC Superjunction MOSFET with Three-Level Buffer and Unipolar Channel Diode. Micro Nanostructures 2022, 172, 207420. [Google Scholar] [CrossRef]
- Gao, S.; Zhang, X.; Wang, Q.; Yu, S.; Zuo, Y.; Zhang, H.; Huang, Y. Asymmetric trench SiC MOSFET with integrated channel accumulation diode for enhanced reverse conduction and switching characteristics. Microelectron. J. 2024, 153, 106436. [Google Scholar] [CrossRef]
- Zhang, J.; Luo, H.; Wu, H.; Wang, Z.; Zheng, B.; Zhang, G.; Chen, X. A novel 4H-SiC multiple stepped SGT MOSFET with improved high frequency figure of merit. Phys. Scr. 2023, 98, 125955. [Google Scholar] [CrossRef]
- Xie, F.; Dong, Y.; Li, F.; Wei, J.; Xu, F. A Novel 4H-SiC Split-Gate CIMOSFET With Improved Electrical Performance Using N-Type Buried Layer. IEEE Electron Device Lett. 2025, 46, 262–265. [Google Scholar] [CrossRef]
- Jiang, K.; Zhang, X.; Tian, C.; Zhang, S.; Zheng, L.; He, R.; Shen, C. A SiC asymmetric cell trench MOSFET with a split gate and integrated p+-poly Si/SiC heterojunction freewheeling diode. Chin. Phys. B 2023, 32, 697–704. [Google Scholar] [CrossRef]
- Wang, Q.-Y.; Wang, Y.; Fei, X.-X.; Li, X.-J.; Yang, J.-Q.; Yu, C.-H. Performance enhancement of 1.7 kV MOSFET using PIN-junction gate and integrated heterojunction. Microelectron. Reliab. 2023, 152, 115305. [Google Scholar] [CrossRef]
- Yao, J.; Liu, Y.; Li, A.; Han, X.; Yao, Q.; Yang, K.; Li, M.; Chen, J.; Zhang, M.; Zhang, J.; et al. Investigations of 4H-SiC trench MOSFET with integrated high-K deep trench and gate dielectric. IET Power Electron. 2024, 17, 869–877. [Google Scholar] [CrossRef]
- Yao, J.; Yang, Z.; Zhu, Y.; Yao, Q.; Chen, J.; Yang, K.; Li, M.; Zhang, M.; Zhang, J.; Guo, Y. Performance enhancement of 4H-SiC superjunction trench MOSFET with extended high-K dielectric. Microelectron. J. 2024, 151, 106359. [Google Scholar] [CrossRef]
- Elliott, S.D.; Pinto, H.P. Modelling the Deposition of High-k Dielectric Films by First Principles. J. Electroceramics 2004, 13, 117–120. [Google Scholar] [CrossRef]
- Sravani, K.G.; Narayana, T.L.; Guha, K.; Rao, K.S. Role of dielectric layer and beam membrane in improving the performance of capacitive RF MEMS switches for Ka-band applications. Microsyst. Technol. 2021, 27, 493–502. [Google Scholar] [CrossRef]
- Kong, M.; Deng, H.; Luo, Y.; Zhu, J.; Yi, B.; Yang, H.; Hu, Q.; Meng, F. Investigations of SiC lateral MOSFET with high-k and equivalent variable lateral doping techniques. Microelectron. J. 2024, 150, 106261. [Google Scholar] [CrossRef]
- Lan, Z.; Ou, Y.; Hu, X.; Liu, D. A Novel 4H-SiC Asymmetric MOSFET with Step Trench. Micromachines 2024, 15, 724. [Google Scholar] [CrossRef] [PubMed]












| Device Parameters | Value |
|---|---|
| P-Base depth TP-Base | 0.6 µm |
| P-Shield depth TP-Shield | 0.5 µm |
| Gate oxide thickness TOX | 50 nm |
| Source gate medium thickness THK | 50 nm |
| Width of cell pitch WCell | 2.25 µm |
| P-Shield doping concentration NP-Shield | 7.5 × 1017 cm−3 |
| P-Base doping concentration NP-Bsae | 1 × 1017 cm−3 |
| N-CSL doping concentration NCSL | 2 × 1016 cm−3 |
| N-Drift doping concentration NDrift | 7.5 × 1015 cm−3 |
| Parameters | CON-MOS | SG-MOS | HKSG-MOS |
|---|---|---|---|
| VSD (V) | 2.79 | 1.65 | 1.53 |
| BV (V) | 1498 | 1516 | 1463 |
| Ron,sp (mΩ·cm2) | 1.44 | 1.66 | 1.83 |
| Cgd × Ron,sp (mΩ·pF) | 875.29 | 690.15 | 453.88 |
| Qgd × Ron,sp (mΩ·nC) | 1143.19 | 651.28 | 469.03 |
Disclaimer/Publisher’s Note: The statements, opinions and data contained in all publications are solely those of the individual author(s) and contributor(s) and not of MDPI and/or the editor(s). MDPI and/or the editor(s) disclaim responsibility for any injury to people or property resulting from any ideas, methods, instructions or products referred to in the content. |
© 2025 by the authors. Licensee MDPI, Basel, Switzerland. This article is an open access article distributed under the terms and conditions of the Creative Commons Attribution (CC BY) license (https://creativecommons.org/licenses/by/4.0/).
Share and Cite
Li, M.; Qiu, Z.; Li, T.; Kang, Y.; Lu, S.; Hu, X. 1200V 4H-SiC MOSFET with a High-K Source Gate for Improving Third-Quadrant and High Frequency Figure of Merit Performance. Micromachines 2025, 16, 508. https://doi.org/10.3390/mi16050508
Li M, Qiu Z, Li T, Kang Y, Lu S, Hu X. 1200V 4H-SiC MOSFET with a High-K Source Gate for Improving Third-Quadrant and High Frequency Figure of Merit Performance. Micromachines. 2025; 16(5):508. https://doi.org/10.3390/mi16050508
Chicago/Turabian StyleLi, Mingyue, Zhaofeng Qiu, Tianci Li, Yi Kang, Shan Lu, and Xiarong Hu. 2025. "1200V 4H-SiC MOSFET with a High-K Source Gate for Improving Third-Quadrant and High Frequency Figure of Merit Performance" Micromachines 16, no. 5: 508. https://doi.org/10.3390/mi16050508
APA StyleLi, M., Qiu, Z., Li, T., Kang, Y., Lu, S., & Hu, X. (2025). 1200V 4H-SiC MOSFET with a High-K Source Gate for Improving Third-Quadrant and High Frequency Figure of Merit Performance. Micromachines, 16(5), 508. https://doi.org/10.3390/mi16050508

