Reducing Off-State and Leakage Currents by Dielectric Permittivity-Graded Stacked Gate Oxides on Trigate FinFETs: A TCAD Study
Abstract
1. Introduction
- κ-grading is employed for stacked gate oxide. This is detailed in Section 3.1.1.
- Even when a single material gate dielectric is used, the Penn model [50,51] can be utilized for the calculation of effective dielectric constants of the gate oxide layer, , as the bulk dielectric constant usage will be misleading for gate oxides with thicknesses of a few nanometers. This is detailed in Section 3.1.2.
- With each addition of a new laminate material, the overall effective dielectric constant of the gate oxide layer, , can be recalculated using the Maxwell–Garnett [52] mixing formula, so that a fair mechanism is established to compare the performance of FinFETs with respect to this as the independent variable. The mentioned calculations are given in Section 3.1.3.
2. Device Structure
2.1. FinFET Geometric Model
2.2. Gate Dielectrics
| Dielectric Material | |
|---|---|
| SiO2 | 3.9 | 
| Si3N4 | 7.4 | 
| Al2O3 | 9 | 
| HfO2 | 25 | 
| La2O3 | 30 | 
| TiO2 | 95 | 
| Gate Oxide Type | Dielectric Material Combination | FinFET Reference Designator | 
|---|---|---|
| Single-material gate oxide | SiO2 | S1 | 
| Si3N4 | S2 | |
| Al2O3 | A | |
| HfO2 | H | |
| La2O3 | L | |
| TiO2 | T | |
| Dual-material κ-graded gate oxide | SiO2: Si3N4 | S1S2 | 
| SiO2: Al2O3 | S1A | |
| SiO2: HfO2 | S1H | |
| SiO2: La2O3 | S1L | |
| SiO2: TiO2 | S1T | |
| Si3N4: Al2O3 | S2A | |
| Si3N4: HfO2 | S2H | |
| Si3N4: La2O3 | S2L | |
| Si3N4: TiO2 | S2T | |
| Al2O3: HfO2 | AH | |
| Al2O3: La2O3 | AL | |
| Al2O3: TiO2 | AT | |
| HfO2: La2O3 | HL | |
| HfO2: TiO2 | HT | |
| La2O3: TiO2 | LT | |
| Triple-material κ-graded gate oxide | SiO2: Si3N4: Al2O3 | S1S2A | 
| SiO2: Si3N4: HfO2 | S1S2H | |
| SiO2: Si3N4: La2O3 | S1S2L | |
| SiO2: Si3N4: TiO2 | S1S2T | |
| SiO2: Al2O3: HfO2 | S1AH | |
| SiO2: Al2O3: La2O3 | S1AL | |
| SiO2: Al2O3: TiO2 | S1AT | |
| SiO2: HfO2: La2O3 | S1HL | |
| SiO2: HfO2: TiO2 | S1HT | |
| SiO2: La2O3: TiO2 | S1LT | |
| Si3N4: Al2O3: HfO2 | S2AH | |
| Si3N4: Al2O3: La2O3 | S2AL | |
| Si3N4: Al2O3: TiO2 | S2AT | |
| Si3N4: HfO2: La2O3 | S2HL | |
| Si3N4: HfO2: TiO2 | S2HT | |
| Si3N4: La2O3: TiO2 | S2LT | |
| Al2O3: HfO2: La2O3 | AHL | |
| Al2O3: HfO2: TiO2 | AHT | |
| Al2O3: La2O3: TiO2 | ALT | |
| HfO2: La2O3: TiO2 | HLT | 
3. Methods
- ○
- κ-grading and calculation of effective κ of the gate oxide.
- ○
- Mathematical modeling in ATLAS Software v5.34.0.R.
- ○
- Choice of performance metrics for performance evaluation.
3.1. κ-Grading and Calculation of Effective κ for Gate Oxides
3.1.1. κ-Grading
3.1.2. Penn Model: Calculation of κ for Each Nanolaminate
3.1.3. Maxwell–Garnett Model: Calculation of κ for Whole Gate Oxide
- Calculate the effective dielectric constant for materials A and B using the Maxwell–Garnett mixing formula.
- Consider as single-material AB’s dielectric constant and apply the Maxwell–Garnett formula again, with input variables and , to find the overall effective dielectric constant , with + = 1, where = + , and finally, our equation becomes Equation (4) for a complex medium of three phases, A, B, and C.
3.2. Mathematical Models in ATLAS
3.2.1. Quantum Transport: Non-Equilibrium Green’s Function (NEGF) Approach
3.2.2. Lucky-Electron Hot Carrier Injection Model
3.2.3. Direct Quantum Tunneling Model
3.2.4. Employing the Computational Models in ATLAS
INTERFACE TUNNEL
3.3. Choice of Performance Metrics
- i.
- IG, on-state gate leakage current, in Amperes, leaks from gate metal through dielectric into the channel, when VGS = 1 V. In our case, we favor to minimize.
- ii.
- ION, on-state drain current, in Amperes, when VDS = VDD (= 1.25 V in our case) and VGS = VDD. We favor to maximize.
- iii.
- IOFF, off-state drain current, in Amperes, when VDS = VDD and VG = −1.5 V. We favor to minimize.
- iv.
- ION/IOFF ratio, unitless, accepted and powerful measure of TFT design quality. We favor to maximize.
- v.
- VTH, threshold voltage, in Volts, the minimum VGS voltage that drain current ID slightly exceeds a limit current (1 × 10−7 A in our case) significant for the design. We favor to minimize.
- vi.
- SS, Subthreshold Slope, in mV/decade, change in the gate voltage required a decrease in the drain current ID by one decade, SS = ∆VGS/∆log (ID). We favor to minimize.
- vii.
- DIBL, Drain-Induced Barrier Lowering, in mV/V, represents the drain voltage VDS influence on the threshold voltage VTH, defined as DIBL = |∆VTH|/|∆VDS|. We favor to minimize.
4. Results
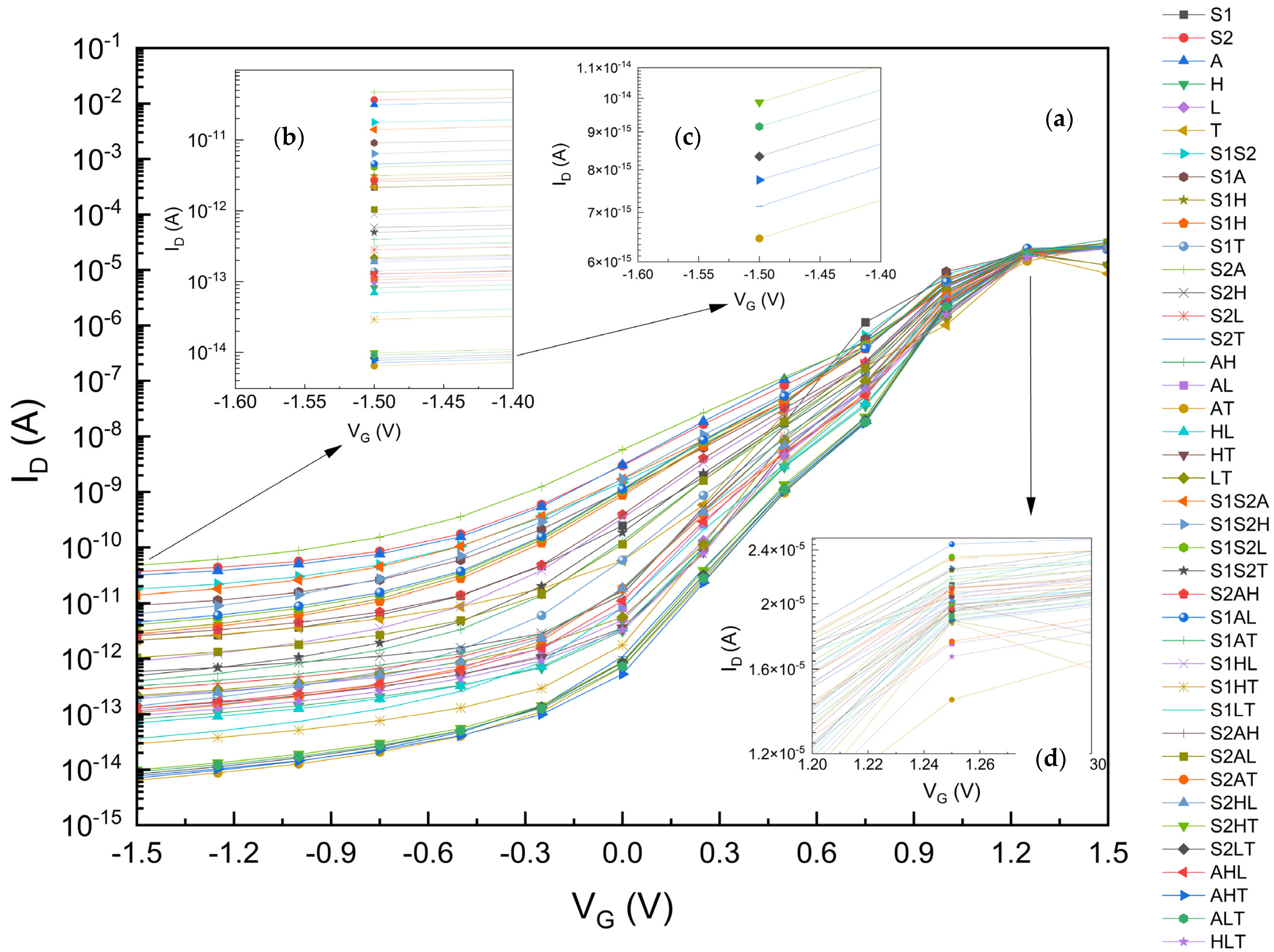
4.1. Drain Current Performance

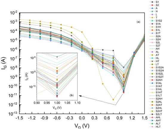
4.2. Leakage Current Performance
4.3. DIBL, SS, ION, IOFF, ION/IOFF, and VTH Performance

| S2T | S2LT | AHT | AT | ALT | S1 | |
|---|---|---|---|---|---|---|
| DIBL (mV/V) | 41.91 | 44.17 | 44.52 | 44.7 | 46.09 | 51.04 | 
| 24.26 | 14.71 | 14.39 | 24.87 | 15.02 | 3.35 | 

| AHT | S1HT | HT | S2HT | ALT | L | |
|---|---|---|---|---|---|---|
| SS (mV/dec) | 152.0 | 152.41 | 156.39 | 156.93 | 158.57 | 164.17 | 
| 14.39 | 13.42 | 30.76 | 14.10 | 15.02 | 24.48 | 

| AT | S2T | AHT | S2LT | ALT | H | |
|---|---|---|---|---|---|---|
| IOFF (A) | 6.45 × 10−15 | 7.13 × 10−15 | 7.75 × 10−15 | 8.34 × 10−15 | 9.15 × 10−15 | 8.18 × 10−14 | 
| 24.87 | 24.26 | 14.39 | 14.71 | 15.02 | 20.43 | 

| S1AL | S1S2L | S1L | S1S2H | S1AH | S1 | |
|---|---|---|---|---|---|---|
| ION (A) | 2.081 × 10−5 | 2.000 × 10−5 | 1.998 × 10−5 | 1.928 × 10−5 | 1.927 × 10−5 | 1.846 × 10−5 | 
| 5.34 | 5.13 | 8.59 | 4.66 | 4.86 | 3.35 | 

| AHL | S1 | S2LT | AHT | S2HT | H | |
|---|---|---|---|---|---|---|
| IG (A) | 2.04 × 10−11 | 2.29 × 10−11 | 2.65 × 10−11 | 3.59 × 10−11 | 3.76 × 10−11 | 8.53 × 10−11 | 
| 8.14 | 3.35 | 14.71 | 14.39 | 14.10 | 20.43 | 

| S2T | AHT | S2LT | AT | ALT | H | |
|---|---|---|---|---|---|---|
| ION/IOFF | 2.40 × 109 | 2.02 × 109 | 1.93 × 109 | 1.89 × 109 | 1.72 × 109 | 1.88 × 108 | 
| 24.26 | 14.39 | 14.71 | 24.87 | 15.02 | 20.43 | 

| S2A | A | S2 | S1AH | S1S2H | S1S2L | |
|---|---|---|---|---|---|---|
| VTH (V) | 0.4731 | 0.4916 | 0.5286 | 0.5641 | 0.5683 | 0.5773 | 
| 4.95 | 7.48 | 6.18 | 4.86 | 4.66 | 5.13 | 
| FoM | S2A | S2T | AT | S1AL | AHL | AHT | H | 
|---|---|---|---|---|---|---|---|
| SS (mV/dec) | 381.8 | 164.2 | 159.5 | 299.4 | 188.0 | 152.0 | 169.8 | 
| DIBL (mV/V) | 286.9 | 41.9 | 44.7 | 169 | 72.1 | 44.52 | 66.9 | 
| ION (µA) | 18.5 | 1.71 | 12 | 20.8 | 16.3 | 15.6 | 15.4 | 
| IOFF (A) | 4.73 × 10−11 | 7.13 × 10−15 | 6.45 × 10−15 | 4.58 × 10−12 | 1.28 × 10−13 | 7.75 × 10−15 | 8.18 × 10−14 | 
| ION/IOFF (×106) | 3.91 | 240 | 189 | 4.54 | 127 | 220 | 188 | 
| VTH (V) | 0.4731 | 0.8285 | 0.8369 | 0.5808 | 0.7899 | 0.8394 | 0.8153 | 
| IG @ VG=1V (nA) | 0.137 | −3.16 | −0.305 | −0.9 | 0.0204 | 0.0359 | 0.085 | 
| 4.95 | 24.26 | 24.87 | 5.34 | 8.14 | 14.39 | 20.42 | 
5. Discussion
6. Analysis and Insights
- No obvious linear or quadratic relationship exists between composite gate oxide and any of the FoMs examined; thus, a curve fitting was not possible.
- According to Table 7, the best IOFF performances have a TiO2 laminate in common, as the last stage of the κ-graded structure. To minimize the IOFF, the dielectric permittivity of the gate metal and the neighboring gate oxide laminate should be kept as close as possible.
- According to Table 8, the best ION performances have a SiO2 laminate in common as the first stage of the κ-graded structure. To maximize the ION, the dielectric permittivity of channel material and neighboring gate oxide laminate should be kept as close as possible.
- According to Table 11, the lowest values of VTH appeared in the lowest values of .
- According to Table 12, the best DIBL performance appeared in the S2T (Si3N4: TiO2) gate oxide combination. To minimize the DIBL and maximize the ION/IOFF, both the permittivity difference of the channel material and the neighboring gate oxide laminate, as well as the permittivity difference of the gate material and the neighboring gate oxide laminate should be kept small. In this case, the S2T gate oxide dielectric showed the perfect permittivity-matching behavior in between the neighboring Si and neighboring CrAu alloy.
- According to Table 12, at least one two-stage or three-stage κ-graded dielectric combination exists which will behave much better than all of the single-stage counterparts with respect to all our FoMs.
7. Fabrication Considerations
8. Conclusions
Supplementary Materials
Author Contributions
Funding
Data Availability Statement
Conflicts of Interest
Correction Statement
References
- Kol, S.; Oral, A.Y. HF-based high-κ dielectrics: A review. Acta Phys. Pol. A 2019, 136, 873–881. [Google Scholar] [CrossRef]
- Baruah, R.K.; Paily, R.P. Impact of high-k spacer on device performance of a junctionless transistor. J. Comput. Electron. 2013, 12, 14–19. [Google Scholar] [CrossRef]
- Gieraltowska, S.; Wachnicki, L.; Witkowski, B.S.; Guziewicz, E.; Godlewski, M. Thin films of high-k oxides and ZnO for transparent electronic devices. Chem. Vap. Depos. 2013, 19, 213–220. [Google Scholar] [CrossRef]
- El, N.; Boukortt, I.; Hadri, B.; Patanè, S. Effects of High-k Dielectric Materials on Electrical Characteristics of DG n-FinFETs. Int. J. Comput. Appl. 2016, 75, 8887. [Google Scholar] [CrossRef]
- Walker, B.; Pradhan, A.K.; Xiao, B. Low temperature fabrication of high performance ZnO thin film transistors with high-k dielectrics. Solid. State Electron. 2015, 111, 58–61. [Google Scholar] [CrossRef]
- Cheng, Y.C.; Chen, H.B.; Chang, C.Y.; Cheng, C.H.; Shih, Y.J.; Wu, Y.C. A highly scalable poly-Si junctionless FETs featuring a novel multi-stacking hybrid P/N layer and vertical gate with very high Ion/Ioff for 3D stacked ICs. In Proceedings of the Digest of Technical Papers-Symposium on VLSI Technology, Honolulu, HI, USA, 14–16 June 2016. [Google Scholar] [CrossRef]
- Khatir, A.M.; Guen-Bouazza, A.; Bouazza, B. 3D Simulation of Fin Geometry Influence on Corner Effect in Multifin Dual and Tri-Gate SOI-Finfets. Int. J. Nano Stud. Technol. 2013, 2, 29–32. [Google Scholar] [CrossRef]
- Gomes, T.C.; Kumar, D.; Fugikawa-Santos, L.; Alves, N.; Kettle, J. Optimization of the Anodization Processing for Aluminum Oxide Gate Dielectrics in ZnO Thin Film Transistors by Multivariate Analysis. ACS Comb. Sci. 2019, 21, 370–379. [Google Scholar] [CrossRef] [PubMed]
- Hara, A.; Nishimura, Y.; Ohsawa, H. Self-aligned metal double-gate junctionless p-channel low-temperature polycrystalline-germanium thin-film transistors with a thin germanium channel on a glass substrate. In Proceedings of the AM-FPD 2016-23rd International Workshop on Active-Matrix Flatpanel Displays and Devices: TFT Technologies and FPD Materials, Kyoto, Japan, 6–8 July 2016. [Google Scholar] [CrossRef]
- Nishimura, Y.; Nakashima, T.; Hara, A. Self-aligned planar metal double-gate junctionless p-channel low-temperature poly-Ge TFTs with high-k gate dielectric on glass substrate. In Proceedings of the International Display Workshops, Otsu, Japan, 9–11 December 2015. [Google Scholar]
- Mustafa, M.; Bhat, T.A.; Beigh, M.R. Threshold Voltage Sensitivity to Metal Gate Work-Function Based Performance Evaluation of Double-Gate n-FinFET Structures for LSTP Technology. World J. Nano Sci. Eng. 2013, 3, 29620. [Google Scholar] [CrossRef]
- Hisamoto, D.; Lee, W.C.; Kedzierski, J.; Takeuchi, H.; Asano, K.; Kuo, C.; Anderson, E.; King, T.J.; Bokor, J.; Hu, C. FinFET-A Self-Aligned Double-Gate MOSFET Scalable to 20 nm. IEEE Trans. Electron. Devices 2000, 47, 2320–2325. [Google Scholar]
- Bhattacharya, D.; Jha, N.K. FinFETs: From Devices to Architectures. Adv. Electron. 2014, 2014, 365689. [Google Scholar] [CrossRef]
- Sil, M.; Mallik, A. On the logic performance of bulk junctionless FinFETs. Analog. Integr. Circuits Signal Process 2021, 106, 467–472. [Google Scholar] [CrossRef]
- Kuo, Y. Thin Film Transistors with Graded SiN Gate Dielectrics. J. Electrochem. Soc. 1994, 141, 1061. [Google Scholar] [CrossRef]
- Dosev, D.; Iñíguez, B.; Marsal, L.F.; Pallares, J.; Ytterdal, T. Device simulations of nanocrystalline silicon thin-film transistors. Solid. State Electron. 2003, 47, 1917–1920. [Google Scholar] [CrossRef]
- Jankovic, N. Numerical simulations of N-type CdSe poly-TFT electrical characteristics with trap density models of Atlas/Silvaco. Microelectron. Reliab. 2012, 52, 2537–2541. [Google Scholar] [CrossRef]
- Kauerauf, T.; Govoreanu, B.; Degraeve, R.; Groeseneken, G.; Maes, H. Scaling CMOS: Finding the gate stack with the lowest leakage current. in Solid-State Electron. 2005, 49, 695–701. [Google Scholar] [CrossRef]
- Das, R.; Baishya, S. Dual-material gate dual-stacked gate dielectrics gate-source overlap tri-gate germanium FinFET: Analysis and application. Indian J. Phys. 2019, 93, 197–205. [Google Scholar] [CrossRef]
- Gangwani, L.; Hajela, S. Analog Performance Analysis of a Novel 5nm Stacked Oxide Top Bottom Gated Junctionless FinFET. IOP Conf. Ser. Mater. Sci. Eng. 2022, 1258, 012046. [Google Scholar] [CrossRef]
- Gardner, M.; Fulford, J.; Kwong, D.-L. Method of Making Gate Dielectric for Sub-Half Micron MOS Transistors Including a Graded Dielectric Constant. U.S. Patent 6,015,739, 18 January 2000. [Google Scholar]
- Kang, D.; Genrik, S.; Kim, C.-J.; Park, Y.; Song, I. Thin Film Transistor Having a Graded Metal Oxide Layer. U.S. Patent 8,063,421, 22 November 2011. [Google Scholar]
- Gealy, D.; Vishnavath, B.; Cancheepuram, V.S.; Rocklein, M.N. US8110469 Graded Dielectric Structures. US 8110469, 27 February 2012. [Google Scholar]
- Veda, S.N.; Shaik, H.; Kumar, K.N.; Diwakar, S.P.; Kailash, S.; Chandrashekhar, L.N.; Pawar, A.S. Simulation, Fabrication and Characterization of Zinc Oxide TFT. In Proceedings of the 4th International Conference on Electronics, Communication and Aerospace Technology, ICECA 2020, Coimbatore, India, 5–7 November 2020. [Google Scholar] [CrossRef]
- Singh, S.; Chakrabarti, P. Simulation, fabrication and characterization of sol-gel deposited ZnO based thin film transistors. Sci. Adv. Mater. 2012, 4, 199–203. [Google Scholar] [CrossRef]
- Dwivedi, R.D.; Zhao, Q. Simulation and Compact Modeling of Organic Thin Film Transistors (OTFTs) for Circuit Simulation. Int. J. Adv. Appl. Phys. Res. 2019, 6, 1–5. [Google Scholar] [CrossRef]
- Bousari, N.B.; Anvarifard, M.K.; Haji-Nasiri, S. Improving the electrical characteristics of nanoscale triple-gate junctionless FinFET using gate oxide engineering. AEU-Int. J. Electron. Commun. 2019, 108, 226–234. [Google Scholar] [CrossRef]
- Vijaya, P.; Rohit, L. Improvement of Ion, Electric Field and Transconductance of TriGate FinFET by 5 nm Technology. Silicon 2022, 14, 7889–7900. [Google Scholar] [CrossRef]
- Saha, P.; Dhar, R.S.; Nanda, S.; Kumar, K.; Alathbah, M. The Optimization and Analysis of a Triple-Fin Heterostructure-on-Insulator Fin Field-Effect Transistor with a Stacked High-k Configuration and 10 nm Channel Length. Nanomaterials 2023, 13, 3008. [Google Scholar] [CrossRef] [PubMed]
- Vimala, P.; Samuel, T.S.A. TCAD Simulation Study of Single-, Double-, and Triple-Material Gate Engineered Trigate FinFETs. Semiconductors 2020, 54, 501–505. [Google Scholar] [CrossRef]
- Nagy, D.; Espineira, G.; Indalecio, G.; Garcia-Loureiro, A.J.; Kalna, K.; Seoane, N. Benchmarking of FinFET, Nanosheet, and Nanowire FET Architectures for Future Technology Nodes. IEEE Access 2020, 8, 53196–53202. [Google Scholar] [CrossRef]
- Garduño, S.I.; Alvarado, J.; Cerdeira, A.; Estrada, M.; Kilchytska, V.; Flandre, D. Gate leakage currents model for FinFETs implemented in Verilog-A for electronic circuits design. Int. J. Numer. Model. Electron. Netw. Devices Fields 2014, 27, 846–862. [Google Scholar] [CrossRef]
- Wang, W.; Li, S. A transition of interface characteristics in LDPE/Al2O3 nanocomposites by permittivity simulation. IEEE Trans. Dielectr. Electr. Insul. 2018, 25, 2–12. [Google Scholar] [CrossRef]
- Giustino, F.; Pasquarello, A. Theory of atomic-scale dielectric permittivity at insulator interfaces. Phys. Rev. B Condens. Matter Mater. Phys. 2005, 71, 14. [Google Scholar] [CrossRef]
- Peng, S.; Zeng, Q.; Yang, X.; Hu, J.; Qiu, X.; He, J. Local Dielectric Property Detection of the Interface between Nanoparticle and Polymer in Nanocomposite Dielectrics. Sci. Rep. 2016, 6, 38978. [Google Scholar] [CrossRef]
- Wang, W.; Li, S. Simulations of Effective Permittivity and Polarization Properties of Polyethylene Nanodielectrics. In Proceedings of the IEEE International Conference on the Properties and Applications of Dielectric Materials (ICPADM), Sydney, NSW, Australia, 19–22 July 2015; pp. 824–827. [Google Scholar]
- Fitio, V.; Vernygor, O.; Yaremchuk, I. Analytical Approximations of the Noble Metals Dielectric Permittivity. In Proceedings of the International Conference on Advanced Trends in Radioelectronics, Lviv-Slavske, Ukraine, 20–24 February 2018; pp. 426–430. [Google Scholar]
- Mei, Z.; Deng, S.; Li, L.; Wen, X.; Lu, H.; Li, M. Dielectric function of sub-10 nanometer thick gold films. Appl. Phys. A Mater. Sci. Process 2021, 127, 437. [Google Scholar] [CrossRef]
- Roy, B.; Chakravorty, D. High dielectric permittivity in glass-ceramic metal nanocomposites. Mater. Res. Soc. 1993, 8, 1206–1208. [Google Scholar] [CrossRef]
- Phelps, J.M.; Taylor, D.M. Determining the Relative Permittivity and Thickness of a Lossless Dielectric Overlayer on a Metal Film Using Optically Excited Surface Plasmon Polaritons. J. Phys. D Appl. Phys. 1996, 29, 1080. [Google Scholar] [CrossRef]
- Pavunny, S.P.; Misra, P.; Scott, J.F.; Katiyar, R.S. Advanced high-k dielectric amorphous LaGdO3 based high density metal-insulator-metal capacitors with sub-nanometer capacitance equivalent thickness. Appl. Phys. Lett. 2013, 102, 252905. [Google Scholar] [CrossRef]
- Lucovsky, G.; Phillips, J.C. Minimization of dangling bond defects in hydrogenated silicon nitride dielectrics for thin film transistors (TFTs). J. Non-Cryst. Solids 1998, 227, 1221–1225. [Google Scholar] [CrossRef]
- Lucovsky, G.; Phillips, J.C. Why SiNx:H is the Preferred Gate Dielectric for Amorphous Si Thin Film Transistors (TFTS) and SiO2 is the Preferred Gate Dielectric for Polycrystalline Si TFTs. MRS Online Proc. Libr. 1999, 558, 135–140. [Google Scholar] [CrossRef]
- Griep, S.; Luder, E.; Kallfab, T. High Performance TFT of a-Si:H on a SiO2 Dielectric. J. Non-Cryst. Solids 1987, 97–98, 313–316. [Google Scholar] [CrossRef]
- Lee, Y.; Shin, C. Impact of Equivalent Oxide Thickness on Threshold Voltage Variation Induced by Work-Function Variation in Multigate Devices. IEEE Trans. Electron. Devices 2017, 64, 2452–2456. [Google Scholar] [CrossRef]
- Li, D.H.; Park, I.H.; Cho, S. Effects of Equivalent Oxide Thickness on Bandgap-Engineered SONOS Flash Memory. In Proceedings of the IEEE Nanotechnology Materials and Devices Conference, Traverse City, MI, USA, 2–5 June 2009. [Google Scholar]
- Ni, K.; Saha, A.; Chakraborty, W. Equivalent Oxide Thickness (EOT) Scaling With Hafnium Zirconium Oxide High-κ Dielectric Near Morphotropic Phase Boundary. In Proceedings of the IEEE International Electron Devices Meeting (IEDM), San Francisco, CA, USA, 7–11 December 2019. [Google Scholar]
- Tienda-Luna, I.M.; Ruiz, F.J.G.; Donetti, L.; Godoy, A.; Gámiz, F. Modeling the equivalent oxide thickness of Surrounding Gate SOI devices with high-κ insulators. Solid. State Electron. 2008, 52, 1854–1860. [Google Scholar] [CrossRef]
- Chen, C.H.; Fang, Y.K.; Ting, S.F.; Hsieh, W.T.; Yang, C.W.; Hsu, T.H.; Yu, M.C.; Lee, T.L.; Chen, S.C.; Yu, C.H.; et al. Downscaling Limit of Equivalent Oxide Thickness in Formation of Ultrathin Gate Dielectric by Thermal-Enhanced Remote Plasma Nitridation. IEEE Trans. Electron. Devices 2002, 49, 840–846. [Google Scholar] [CrossRef]
- Penn, D.R. Wave Number Dependent Dielectric Function of Semiconductors. Electron. Transp. Mech. Insul. Film. 1962, 128, 2093. [Google Scholar] [CrossRef]
- Sharma, A.C. Size-dependent energy band gap and dielectric constant within the generalized Penn model applied to a semiconductor nanocrystallite. J. Appl. Phys. 2006, 100, 084301. [Google Scholar] [CrossRef]
- Markel, V.A. Introduction to the Maxwell Garnett approximation: Tutorial. J. Opt. Soc. Am. A 2016, 33, 1244. [Google Scholar] [CrossRef] [PubMed]
- Azadmanjiri, J.; Berndt, C.C.; Wang, J.; Kapoor, A.; Srivastava, V.K.; Wen, C. A review on hybrid nanolaminate materials synthesized by deposition techniques for energy storage applications. J. Mater. Chem. A 2014, 2, 3695–3708. [Google Scholar] [CrossRef]
- Tsu, R.; Babić, D.; Loriatti, L. Simple model for the dielectric constant of nanoscale silicon particle. J. Appl. Phys. 1997, 82, 1327–1329. [Google Scholar] [CrossRef]
- Niklasson, G.A.; Granqvist, C.G.; Hunderi, O. Effective medium models for the optical properties of inhomogeneous materials. Appl. Opt. 1981, 20, 26. [Google Scholar] [CrossRef] [PubMed]
- Petrovsky, V.; Jasinski, P.; Dogan, F. Effective dielectric constant of two phase dielectric systems. J. Electroceram. 2012, 28, 185–190. [Google Scholar] [CrossRef]
- Silvaco Inc. Atlas User Manual, Device Simulation Software, v5.34.0.R. 1984. Available online: www.silvaco.com (accessed on 14 May 2024).
- Tam, S.; Ko, P.-K.; Hu, C. Lucky-Electron Model of Channel Hot-Electron Injection in MOSFET’s. IEEE Trans. Electron. Devices 1984, 31, 1116–1125. [Google Scholar]
- Chen, J.J.; Chang, T.C.; Chen, H.C.; Zhou, K.J.; Kuo, C.W.; Wu, W.C.; Li, H.C.; Tai, M.C.; Tu, Y.F.; Tsai, Y.L.; et al. Enhancing hot-carrier reliability of dual-gate low-Temperature polysilicon TFTs by increasing lightly doped drain length. IEEE Electron. Device Lett. 2020, 41, 1524–1527. [Google Scholar] [CrossRef]
- Horiguchi, S.; Kobayashi, T.; Saito, K. Interface-trap generation modeling of Fowler-Nordheim tunnel injection into ultrathin gate oxide. J. Appl. Phys. 1985, 58, 387–391. [Google Scholar] [CrossRef]
- Price, P.J.; Rodcliffe, J.M. Esaki Tunneling. IBM J. Res. Dev. 1959, 3, 364–371. [Google Scholar] [CrossRef]
- Nowbahari, A.; Roy, A.; Marchetti, L. Junctionless transistors: State-of-the-art. Electronics 2020, 9, 1174. [Google Scholar] [CrossRef]
- Chen, M.L.; Sun, X.; Liu, H.; Wang, H.; Zhu, Q.; Wang, S.; Du, H.; Dong, B.; Zhang, J.; Sun, Y.; et al. A FinFET with one atomic layer channel. Nat. Commun. 2020, 11, 1205. [Google Scholar] [CrossRef] [PubMed]
- Rudenko, T.; Kilchytska, V.; Collaert, N.; Jurczak, M.; Nazarov, A.; Flandre, D. Reduction of gate-to-channel tunneling current in FinFET structures. Solid. State Electron. 2007, 51, 1466–1472. [Google Scholar] [CrossRef]
- Khan, A.A.; Audhikary, A.; Al-Fattah, F.; Amin, A.; Nandi, R. A Comparative Analytical Approach for Gate Leakage Current Optimization in Silicon MOSFET:A Step to More Reliable Electronic Device. In Proceedings of the ICEEICT Conference, Dhaka, Bangladesh, 22–24 September 2016. [Google Scholar]
- Golosov, D.A.; Vilya, N.; Zavadski, S.M.; Melnikov, S.N.; Avramchuk, A.V.; Grekhov, M.M.; Kargin, N.I.; Komissarov, I.V. Influence of film thickness on the dielectric characteristics of hafnium oxide layers. Thin Solid Film 2019, 690, 137517. [Google Scholar] [CrossRef]
- Wang, B.; Wang, C.-H.; Ma, Y.; Humes, C.D.T. Study of Stress-Induced Leakage Current and Charge Loss of Nonvolatile Memory Cell 70A Tunnel Oxide Using Floating-Gate Integrator Technique. In Proceedings of the IEEE International Integrated Relaibility Workshop, South Lake Tahoe, CA, USA, 18–21 October 2004. [Google Scholar]
- Schuler, F.; Degraeve, R.; Hendrickx, P.; Wellekens, D. Physical charge transport models for anomalous leakage current in floating gate-based nonvolatile memory cells. IEEE Trans. Device Mater. Reliab. 2002, 2, 80–88. [Google Scholar] [CrossRef]
- Lee, D.U.; Lee, T.H.; Kim, E.K.; Shin, J.W.; Cho, W.J. Analysis of charge loss in nonvolatile memory with multi-layered SiC nanocrystals. Appl. Phys. Lett. 2009, 95, 063501. [Google Scholar] [CrossRef]
- Yu, D.; Yang, Y.Q.; Chen, Z.; Tao, Y.; Liu, Y.F. Recent progress on thin-film encapsulation technologies for organic electronic devices. Opt. Commun. 2016, 362, 43–49. [Google Scholar] [CrossRef]
- Lu, Q.; Yang, Z.; Meng, X.; Yue, Y.; Ahmad, M.A.; Zhang, W.; Zhang, S.; Zhang, Y.; Liu, Z.; Chen, W. A Review on Encapsulation Technology from Organic Light Emitting Diodes to Organic and Perovskite Solar Cells. Adv. Funct. Mater. 2021, 31, 2100151. [Google Scholar] [CrossRef]
- Li, Y.; Xiong, Y.; Yang, H.; Cao, K.; Chen, R. Thin film encapsulation for the organic light-emitting diodes display via atomic layer deposition. J. Mater. Res. 2020, 35, 681–700. [Google Scholar] [CrossRef]




| Property | Value | Note/Abbreviation | 
|---|---|---|
| Channel (Fin) Length | 14 nm | Lfin | 
| Gate thickness | 1 nm | Tg | 
| Channel (Fin) Width | 2 nm | Wfin | 
| Gate Length | 14 nm | Lg | 
| Fin Width | 2 nm | Wfin | 
| Fin Height | 5 nm | Hfin | 
| Channel Concentration | 5 × 1019 cm−3 | Nd | 
| Gate work function | 5 eV | ϕw | 
| Gate metal | CrAu alloy | - | 
| FinFET Length | 34 nm | LFET | 
| FinFET Width | 10 nm | WFET | 
| Total Gate Oxide thickness | 3 nm | tox | 
| Buried Oxide (BOX) Thickness | 3 nm | tBOX | 
| BOX material | HfO2 | kept as is in all simulations | 
| Bulk Si Thickness | 10 nm | tBULK | 
| gκ-FinFET Reference Designator | Gate Oxide Material Thickness in nm | |||||||
|---|---|---|---|---|---|---|---|---|
| Total | SiO2 | Si3N4 | Al2O3 | HfO2 | La2O3 | TiO2 | ||
| S1 | 3 | 3 | - | - | - | - | - | 3.35 | 
| S2 | 3 | - | 3 | - | - | - | - | 6.18 | 
| A | 3 | - | - | 3 | - | - | - | 7.48 | 
| H | 3 | - | - | - | 3 | - | - | 20.43 | 
| L | 3 | - | - | - | - | 3 | - | 24.48 | 
| T | 3 | - | - | - | - | - | 3 | 77.09 | 
| S1S2 | 3 | 1.5 | 1.5 | - | - | - | - | 3.48 | 
| S1A | 3 | 1.5 | - | 1.5 | - | - | - | 3.86 | 
| S1H | 3 | 1.5 | - | - | 1.5 | - | - | 7.48 | 
| S1L | 3 | 1.5 | - | - | - | 1.5 | - | 8.59 | 
| S1T | 3 | 1.5 | - | - | - | - | 1.5 | 22.92 | 
| S2A | 3 | - | 1.5 | 1.5 | - | - | - | 4.95 | 
| S2H | 3 | - | 1.5 | - | 1.5 | - | - | 8.73 | 
| S2L | 3 | - | 1.5 | - | - | 1.5 | - | 9.86 | 
| S2T | 3 | - | 1.5 | - | - | - | 1.5 | 24.26 | 
| AH | 3 | - | - | 1.5 | 1.5 | - | - | 14.19 | 
| AL | 3 | - | - | 1.5 | - | 1.5 | - | 10.43 | 
| AT | 3 | - | - | 1.5 | - | - | 1.5 | 24.87 | 
| HL | 3 | - | - | - | 1.5 | 1.5 | - | 15.53 | 
| HT | 3 | - | - | - | 1.5 | - | 1.5 | 30.76 | 
| LT | 3 | - | - | - | - | 1.5 | 1.5 | 32.53 | 
| S1S2A | 3 | 1 | 1 | 1 | - | - | - | 3.07 | 
| S1S2H | 3 | 1 | 1 | - | 1 | - | - | 4.66 | 
| S1S2L | 3 | 1 | 1 | - | - | 1 | - | 5.13 | 
| S1S2T | 3 | 1 | 1 | - | - | - | 1 | 11.19 | 
| S1AH | 3 | 1 | - | 1 | 1 | - | - | 4.86 | 
| S1AL | 3 | 1 | - | 1 | - | 1 | - | 5.34 | 
| S1AT | 3 | 1 | - | 1 | - | - | 1 | 12.00 | 
| S1HL | 3 | 1 | - | - | 1 | 1 | - | 7.24 | 
| S1HT | 3 | 1 | - | - | 1 | - | 1 | 13.42 | 
| S1LT | 3 | 1 | - | - | - | 1 | 1 | 14.02 | 
| S2AH | 3 | - | 1 | 1 | 1 | - | - | 5.82 | 
| S2AL | 3 | - | 1 | 1 | - | 1 | - | 6.31 | 
| S2AT | 3 | - | 1 | 1 | - | - | 1 | 12.42 | 
| S2HL | 3 | - | 1 | - | 1 | 1 | - | 7.86 | 
| S2HT | 3 | - | 1 | - | 1 | - | 1 | 14.10 | 
| S2LT | 3 | - | 1 | - | - | 1 | 1 | 14.71 | 
| AHL | 3 | - | - | 1 | 1 | 1 | - | 8.14 | 
| AHT | 3 | - | - | 1 | 1 | - | 1 | 14.39 | 
| ALT | 3 | - | - | 1 | - | 1 | 1 | 15.02 | 
| HLT | 3 | - | - | - | 1 | 1 | 1 | 17.73 | 
| Disclaimer/Publisher’s Note: The statements, opinions and data contained in all publications are solely those of the individual author(s) and contributor(s) and not of MDPI and/or the editor(s). MDPI and/or the editor(s) disclaim responsibility for any injury to people or property resulting from any ideas, methods, instructions or products referred to in the content. | 
© 2024 by the authors. Licensee MDPI, Basel, Switzerland. This article is an open access article distributed under the terms and conditions of the Creative Commons Attribution (CC BY) license (https://creativecommons.org/licenses/by/4.0/).
Share and Cite
Ülkü, A.; Uçar, E.; Serin, R.B.; Kaçar, R.; Artuç, M.; Menşur, E.; Oral, A.Y. Reducing Off-State and Leakage Currents by Dielectric Permittivity-Graded Stacked Gate Oxides on Trigate FinFETs: A TCAD Study. Micromachines 2024, 15, 726. https://doi.org/10.3390/mi15060726
Ülkü A, Uçar E, Serin RB, Kaçar R, Artuç M, Menşur E, Oral AY. Reducing Off-State and Leakage Currents by Dielectric Permittivity-Graded Stacked Gate Oxides on Trigate FinFETs: A TCAD Study. Micromachines. 2024; 15(6):726. https://doi.org/10.3390/mi15060726
Chicago/Turabian StyleÜlkü, Alper, Esin Uçar, Ramis Berkay Serin, Rifat Kaçar, Murat Artuç, Ebru Menşur, and Ahmet Yavuz Oral. 2024. "Reducing Off-State and Leakage Currents by Dielectric Permittivity-Graded Stacked Gate Oxides on Trigate FinFETs: A TCAD Study" Micromachines 15, no. 6: 726. https://doi.org/10.3390/mi15060726
APA StyleÜlkü, A., Uçar, E., Serin, R. B., Kaçar, R., Artuç, M., Menşur, E., & Oral, A. Y. (2024). Reducing Off-State and Leakage Currents by Dielectric Permittivity-Graded Stacked Gate Oxides on Trigate FinFETs: A TCAD Study. Micromachines, 15(6), 726. https://doi.org/10.3390/mi15060726
 
        



 
        
      