Enhancing Resistive Switching in AlN-Based Memristors Through Oxidative Al2O3 Layer Formation: A Study on Preparation Techniques and Performance Impact
Abstract
1. Introduction
2. Experimental Procedure
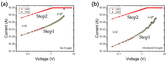
3. Results and Discussion
4. Conclusions
Author Contributions
Funding
Data Availability Statement
Acknowledgments
Conflicts of Interest
References
- Chua, L. Memristor-The missing circuit element. IEEE Trans. Circuit Theory 1971, 18, 507–519. [Google Scholar] [CrossRef]
- Kavehei, O.; Iqbal, A.; Kim, Y.S.; Eshraghian, K.; Al-Sarawi, S.F.; Abbott, D. The fourth element: Characteristics, modelling and electromagnetic theory of the memristor. Proc. R. Soc. A. 2010, 466, 2175–2202. [Google Scholar] [CrossRef]
- Sun, K.; Chen, J.; Yan, X. The Future of Memristors: Materials Engineering and Neural Networks. Adv. Funct. Mater. 2020, 31, 2006773. [Google Scholar] [CrossRef]
- Domaradzki, J.; Wojcieszak, D.; Kotwica, T.; Mańkowska, E. Memristors: A short review on fundamentals, structures, materials and applications. Int. J. Electron. Telecommun. 2020, 66, 373–381. [Google Scholar] [CrossRef]
- Jiang, H.; Xia, Q. Single-and bi-layer memristive devices with tunable properties using TiO, switching layers deposited by reactive sputtering. Appl. Phys. Lett. 2014, 104, 153505. [Google Scholar] [CrossRef]
- Tian, H.; Zhao, H.; Wang, X.F.; Xie, Q.Y.; Chen, H.Y.; Mohammad, M.A.; Li, C.; Mi, W.T.; Bie, Z.; Yeh, C.H.; et al. In situ tuning of switching window in a gate-controlled bilayer graphene-electrode resistive memory device. Adv. Mater. 2015, 27, 7767. [Google Scholar] [CrossRef] [PubMed]
- Liu, Q.; Sun, J.; Lv, H.; Long, S.; Yin, K.; Wan, N.; Li, Y.; Sun, L.; Liu, M. Real-time observation on dynamic growth/dissolution of conductive filaments in oxide-electrolyte-based ReRAM. Adv. Mater. 2012, 24, 1844–1849. [Google Scholar] [CrossRef] [PubMed]
- Zhang, H.Z.; Ang, D.S.; Gu, C.J.; Yew, K.S.; Wang, X.P.; Lo, G.Q. Role of interfacial layer on complementary resistive switching in the TiN/HfO/TiN resistive memory device. Appl. Phys. Lett. 2014, 105, 222106. [Google Scholar] [CrossRef]
- Pyo, Y.; Woo, J.U.; Hwang, H.G.; Nahm, S.; Jeong, J. Effect of Oxygen Vacancy on the Conduction Modulation Linearity and Classification Accuracy of Pr0.7Ca0.3MnO3 Memristor. Nanomaterials 2021, 11, 2684. [Google Scholar] [CrossRef] [PubMed]
- Nili, H.; Walia, S.; Balendhran, S.; Strukov, D.B.; Bhaskaran, M.; Sriram, S. Nanoscale resistive switching in amorphous perovskite oxide (a-SrTiO3) memristors. Adv. Funct. Mater. 2014, 24, 6741–6750. [Google Scholar] [CrossRef]
- Xu, Z.; Bando, Y.; Wang, W.; Bai, X.; Golberg, D. Real-time in situ HRTEM-resolved resistance switching of Ag2S nanoscale ionic conductor. ACS Nano 2010, 4, 2515–2522. [Google Scholar] [CrossRef] [PubMed]
- Congiu, M.; Albano, L.G.; Nunes-Neto, O.; Graeff, C.F.O. Printable ReRAM devices based on the non-stoichiometric junction CuS/Cu2−xS. Electron. Lett. 2016, 52, 1871–1873. [Google Scholar] [CrossRef]
- Kondo, T.; Lee, S.M.; Malicki, M.; Domercq, B.; Marder, S.R.; Kippelen, B. A nonvolatile organic memory device using ITO surfaces modified by Ag-nanodots. Adv. Funct. Mater. 2008, 18, 1112–1118. [Google Scholar] [CrossRef]
- Son, D.I.; Kim, T.W.; Shim, J.H.; Jung, J.H.; Lee, D.U.; Lee, J.M.; Park, W.I.; Choi, W.K. Flexible organic bistable devices based on graphene embedded in an insulating poly (methyl methacrylate) polymer layer. Nano Lett. 2010, 10, 2441–2447. [Google Scholar] [CrossRef] [PubMed]
- Lu, Y.; Alvarez, A.; Kao, C.-H.; Bow, J.-S.; Chen, S.-Y.; Chen, I.-W. An electronic silicon-based memristor with a high switching uniformity. Nat. Electron. 2019, 2, 66–74. [Google Scholar] [CrossRef]
- Raeber, T.J.; Barlow, A.J.; Zhao, Z.C.; McKenzie, D.R.; Partridge, J.G.; McCulloch, D.G.; Murdoch, B.J. Sensory gating in bilayer amorphous carbon memristors. Nanoscale 2018, 10, 20272–20278. [Google Scholar] [CrossRef] [PubMed]
- Guo, Y.; Hu, W.; Zhang, C.; Peng, Y.; Guo, Y. An electronic synapse device based on aluminum nitride memristor for neuromorphic computing application. J. Phys. D Appl. Phys. 2020, 53, 195101. [Google Scholar] [CrossRef]
- Dragoman, M.; Tiginyanu, I.; Dragoman, D.; Dinescu, A.; Braniste, T.; Ciobanu, V. Learning mechanisms in memristor networks based on GaN nanomembranes. J. Appl. Phys. 2018, 124, 152110. [Google Scholar] [CrossRef]
- Kim, H.-D.; An, H.-M.; Lee, E.B.; Kim, T.G. Stable Bipolar Resistive Switching Characteristics and Resistive Switching Mechanisms Observed in Aluminum Nitride-based ReRAM Devices. IEEE Trans. Electron Devices 2011, 58, 3566–3573. [Google Scholar] [CrossRef]
- Chen, C.; Gao, S.; Tang, G.; Song, C.; Zeng, F.; Pan, F. Cu-Embedded AlN-Based Nonpolar Nonvolatile Resistive Switching Memory. IEEE Electron Device Lett. 2012, 33, 1711–1713. [Google Scholar] [CrossRef]
- Kim, H.-D.; An, H.-M.; Seo, Y.; Kim, T.G. Transparent Resistive Switching Memory Using ITO/AlN/ITO Capacitors. IEEE Electron Device Lett. 2011, 32, 1125–1127. [Google Scholar] [CrossRef]
- Forslund, A.; Ruban, A.V. Structural vacancies in (Ti, Al) N: An ab initio study. Phys. Rev. Mater. 2022, 6, 013803. [Google Scholar] [CrossRef]
- Ling, C.H.; Mo, C.L.; Chuang, C.H.; Shyue, J.J.; Chen, M.J. Atomic layer engineering on resistive switching in sub-4 nm AlN resistive random access memory devices. J. Mater. Chem. C 2023, 11, 11195–11203. [Google Scholar] [CrossRef]
- Danilyak, M.A.; Belov, I.V.; Chumakov, N.K.; Valeev, V.G. Diffusion of Nitrogen Vacancies in Crystalline Aluminum Nitride with the Wurzite Structure: Ab Initio Calculation. Nanobiotechnol. Rep. 2023, 18, 872–878. [Google Scholar] [CrossRef]
- Lin, C.C.; Liou, H.Y.; Chu, S.Y.; Huang, C.Y.; Hong, C.S. Diverse resistive switching behaviors of AlN thin films with different orientations. CrystEngComm 2018, 20, 6230–6235. [Google Scholar] [CrossRef]
- Hsu, H.H.; Wen, T.H.; Khwa, W.S.; Huang, W.H.; Ke, Z.E.; Chin, Y.H.; Wen, H.J.; Chang, Y.C.; Hsu, W.T.; Lele, A.S.; et al. A 22 nm Floating-Point ReRAM Compute-in-Memory Macro Using Residue-Shared ADC for AI Edge Device. IEEE J. Solid-State Circuits 2024, 1–13. [Google Scholar] [CrossRef]
- Khone, D.; Kumar, S.; Balal, M.; Barman, S.R.; Kumar, S.; Rana, A.S. Resistive switching and battery-like characteristics in highly transparent Ta2O5/ITO thin-films. Sci. Rep. 2023, 13, 14297. [Google Scholar] [CrossRef] [PubMed]
- Gora, S.; Thyda, L.; Dasi, G.; Muniramaiah, R.; Thakre, A.; Gangwar, J.; Joseph, D.P.; Kovendhan, M.; Azeem, P.A.; Dinakar, D.; et al. Asymmetric resistive switching by anion out-diffusion mechanism in transparent Al/ZnO/ITO heterostructure for memristor applications. Surf. Interfaces 2022, 30, 101950. [Google Scholar] [CrossRef]
- Rasheed, U.; Ryu, H.; Mahata, C.; Khalil, R.M.A.; Imran, M.; Rana, A.M.; Kousar, F.; Kim, B.; Kim, Y.; Cho, S.; et al. Resistive switching characteristics and theoretical simulation of a Pt/a-Ta2O5/TiN synaptic device for neuromorphic applications. J. Alloys Compd. 2021, 877, 160204. [Google Scholar] [CrossRef]






| Condition of AlN Films Deposition | Condition of Al Top Electrode | Condition of Au Top Electrode | |
|---|---|---|---|
| Target | Al (99.999%) | Al (99.999%) | Au (99.999%) |
| Substrate temperature (°C) | No heating | No heating | No heating |
| Base pressure (Torr) | <8.0 | <8.0 | <8.0 |
| Working pressure (mTorr) | 5.0 | 5.0 | 5.0 |
| RF power (Watt) | AC250 | DC50 | DC100 |
| Ar flow/N2 flow | 40 sccm/10 sccm | 43 sccm/0 sccm | 43 sccm/0 sccm |
Disclaimer/Publisher’s Note: The statements, opinions and data contained in all publications are solely those of the individual author(s) and contributor(s) and not of MDPI and/or the editor(s). MDPI and/or the editor(s) disclaim responsibility for any injury to people or property resulting from any ideas, methods, instructions or products referred to in the content. |
© 2024 by the authors. Licensee MDPI, Basel, Switzerland. This article is an open access article distributed under the terms and conditions of the Creative Commons Attribution (CC BY) license (https://creativecommons.org/licenses/by/4.0/).
Share and Cite
Guo, H.; Yao, J.; Chen, S.; Qian, C.; Pan, X.; Yin, K.; Zhu, H.; Gao, X.; Wang, S.; Sun, L. Enhancing Resistive Switching in AlN-Based Memristors Through Oxidative Al2O3 Layer Formation: A Study on Preparation Techniques and Performance Impact. Micromachines 2024, 15, 1499. https://doi.org/10.3390/mi15121499
Guo H, Yao J, Chen S, Qian C, Pan X, Yin K, Zhu H, Gao X, Wang S, Sun L. Enhancing Resistive Switching in AlN-Based Memristors Through Oxidative Al2O3 Layer Formation: A Study on Preparation Techniques and Performance Impact. Micromachines. 2024; 15(12):1499. https://doi.org/10.3390/mi15121499
Chicago/Turabian StyleGuo, Hongxuan, Jiahao Yao, Siyuan Chen, Chong Qian, Xiangyu Pan, Kuibo Yin, Hao Zhu, Xu Gao, Suidong Wang, and Litao Sun. 2024. "Enhancing Resistive Switching in AlN-Based Memristors Through Oxidative Al2O3 Layer Formation: A Study on Preparation Techniques and Performance Impact" Micromachines 15, no. 12: 1499. https://doi.org/10.3390/mi15121499
APA StyleGuo, H., Yao, J., Chen, S., Qian, C., Pan, X., Yin, K., Zhu, H., Gao, X., Wang, S., & Sun, L. (2024). Enhancing Resistive Switching in AlN-Based Memristors Through Oxidative Al2O3 Layer Formation: A Study on Preparation Techniques and Performance Impact. Micromachines, 15(12), 1499. https://doi.org/10.3390/mi15121499

