A Long-Term Monitoring Method of Corrosion Damage of Prestressed Anchor Cable
Abstract
1. Introduction
2. Theoretical Analysis
3. Materials and Methods
4. Results and Discussion
4.1. Location of Corrosion Damage of Prestressed Anchor Cables
4.2. Mathematical Model of Corrosion Rate of Prestressed Anchor Cable
5. Conclusions
- (1)
- A long-term monitoring method of corrosion damage of prestressed anchor cable is proposed. The results show that the corrosion of the prestressed anchor cable can be monitored by the axial-distributed sensor. Moreover, it has a greater sensitivity when an anchored cable has a higher stress. Its mathematical model relating corrosion mass loss and axial fiber strain is . Therefore, this work provides a feasible method for a real-time and long-term corrosion measurement using the outlined prediction model;
- (2)
- The corrosion length of anchor cable is characterized by the axial distribution fiber strain. The position accuracy depends on its corrosion sensitivity. The axial-distributed optical fiber sensor is used to accurately locate the corrosion damage of the prestressed anchor cable;
- (3)
- The theoretical and experimental curves in Figure 6 can be attributed to the inaccuracy of the strain measurements. The measured strain is related to the spatial resolution of the BOTDA system used for the experiment. The strain measurements presented in the paper underestimated the actual strain. The instrument with a higher spatial resolution is beneficial for attaining the precise strain.
Author Contributions
Funding
Data Availability Statement
Conflicts of Interest
References
- Wei-Zhong, G.; Wei-Liang, J.; Raupach, M. The in-situ monitoring principles and the residual life prediction of the durability of concrete structure in marine environment. Eng. Mech. 2011, 28, 78–84+96. [Google Scholar]
- Baosheng, Z.; Weizhong, G.; Tao, C. Strategies to ensur e durability of concr ete structur e for Hangzhou Bay Bridge. China Civ. Eng. J. 2006, 6, 72–77. [Google Scholar]
- Gan, W.-Z.; Raupach, M.; Jin, W.-L.; Lu, Z.D. In-situ Monitoring and Early Warning System for Durability of Concrete Structure of Hangzhou Bay Sea-crossing Bridge. China J. Highw. Transp. 2010, 23, 30–35. [Google Scholar]
- Hongyue, L.; Dakai, L.; Xiaolin, H. Long-Period Fiber Grating Transverse Load Effect-Based Sensors for Rebar Corrosion in Concrete. Acta Opt. Sin. 2013, 33, 30–36. [Google Scholar]
- Hassan, M.R.A.; Bakar, M.H.A.; Dambul, K.; Mahamd Adikan, F.R. Optical-based sensors for monitoring corrosion of reinforcement rebar via an etched cladding Bragg grating. Sensors 2012, 12, 15820–15826. [Google Scholar] [CrossRef]
- Tan, C.H.; Shee, Y.G.; Yap, B.K.; Mahamd Adikan, F.R. Fiber Bragg grating based sensing system: Early corrosion detection for structural health monitoring. Sens. Actuators A Phys. 2016, 246, 123–128. [Google Scholar] [CrossRef]
- Cai, H.L.; Hu, W.B.; Zhang, Y.X.; Ding, L.Y.; Chen, W. A Fiber Bragg Grating Sensor of Steel Corrosion at Different Humidities. Acta Photonica Sin. 2011, 40, 690–693. [Google Scholar]
- Zhang, N.; Chen, W.; Zheng, X.; Hu, W.; Gao, M. Optical Sensor for Steel Corrosion Monitoring Based on Etched Fiber Bragg Grating Sputtered With Iron Film. IEEE Sens. J. 2015, 15, 3551–3556. [Google Scholar] [CrossRef]
- Zheng, X.; Hu, W.; Zhang, N.; Gao, M. Optical corrosion sensor based on fiber Bragg grating electroplated with Fe-C film. Opt. Eng. 2014, 53, 077104. [Google Scholar] [CrossRef]
- Shi-De, S.; Peng, L.; Wei-Jie, Z.; Xiao-Na, W. Research on a fiber Bragg grating based corrosion sensor. J. Optoelectron. Laser 2015, 26, 1866–1872. [Google Scholar]
- Gao, J.; Wu, J.; Li, J.; Zhao, X. Monitoring of corrosion in reinforced concrete structure using Bragg grating sensing. NDT & E International. 2011, 44, 202–205. [Google Scholar]
- Handawi, K.A.; Vahdati, N.; Rostron, P.; Lawand, L.; Shiryayev, O. Strain based FBG sensor for real-time corrosion rate monitoring in pre-stressed structures. Sens. Actuators B Chem. 2016, 236, 276–285. [Google Scholar] [CrossRef]
- Yan, W.; Da-Kai, L.; Bing, Z. Measurement of Steel Corrosion in Concrete Structures by Analyzing Long-Period Fiber Grating Spectrum Character. Spectrosc. Spectr. Anal. 2008, 11, 2660–2664. [Google Scholar]
- Zhao, X.; Cui, Y.; Wei, H.; Kong, X.; Zhang, P.; Sun, C. Research on corrosion detection for steel reinforced concrete structures using the fiber optical white light interferometer sensing technique. Smart Mater. Struct. 2015, 22, 065014. [Google Scholar] [CrossRef]
- Zhao, X.; Gong, P.; Qiao, G.; Lu, J.; Lv, X.; Ou, J. Brillouin Corrosion Expansion Sensors for Steel Reinforced Concrete Structures Using a Fiber Optic Coil Winding Method. Sensors 2011, 11, 10798–10819. [Google Scholar] [CrossRef] [PubMed]
- Heming, W.; Pinglei, Z.; Yanjun, C.; Xuefeng, Z. Monitoring and Evaluation of Corrosion-induced Expansion in the Reinforced Concrete Structures: The Applications of Fiber Optic Low Coherent Strain Sensors. J. Basic Sci. Eng. 2014, 22, 556–565. [Google Scholar]
- Kivell, A.; Palermo, A.; Scott, A. Effects of Bond Deterioration due to Corrosion in Reinforced Concrete. In Proceedings of the Ninth Pacific Conference on Earthquake Engineering Building an Earthquake-Resilient Society, Auckland, New Zealand, 14–16 April 2011. [Google Scholar]
- Almusallam, A.A.; Al-Gahtani, A.S.; Aziz, A.R. Effect of reinforcement corrosion on bond strength. Constr. Build. Mater. 1996, 10, 123–129. [Google Scholar] [CrossRef]
- Fang, C.; Lundgren, K.; Plos, M.; Gylltoft, K. Bond behaviour of corroded reinforcing steel bars in concrete. Cem. Concr. Res. 2006, 36, 1931–1938. [Google Scholar] [CrossRef]
- Li, J.; Zhao, Y.; Wang, J. A spiral distributed monitoring method for steel rebar corrosion. Micromachines 2021, 12, 1451. [Google Scholar] [CrossRef]
- Fan, L.; Tan, X.; Zhang, Q.; Meng, W.; Chen, G.; Bao, Y. Monitoring corrosion of steel bars in reinforced concrete based on helix strains measured from a distributed fiber optic sensor. Eng. Struct. 2020, 201, 110039. [Google Scholar] [CrossRef]
- Bao, Y.; Meng, W.; Chen, Y.; Chen, G.; Khayat, K.H. Measuring mortar shrinkage and cracking by pulse pre-pump Brillouin optical time domain analysis with a single optical fiber. Mater. Lett. 2015, 145, 344–346. [Google Scholar] [CrossRef]
- Bao, Y.; Tang, F.; Chen, Y.; Meng, W.; Huang, Y.; Chen, G. Concrete pavement monitoring with PPP-BOTDA distributed strain and crack sensors. Smart Struct. Syst. 2016, 18, 405–423. [Google Scholar] [CrossRef]
- Bao, Y.; Hoehler, M.S.; Smith, C.M.; Bundy, M.; Chen, G. Temperature Measurement and Damage Detection in Concrete Beams Exposed to Fire Using PPP-BOTDA Based Fiber Optic Sensors. Smart Mater. Struct. 2017, 26, 105034. [Google Scholar] [CrossRef] [PubMed]
- Bao, Y.; Valipour, M.; Meng, W.; Khayat, K.H.; Chen, G. Distributed fiber optic sensor-enhanced detection and prediction of shrinkage-induced delamination of ultra-high-performance concrete overlay. Smart Mater. Struct. 2017, 26, 085009. [Google Scholar] [CrossRef]












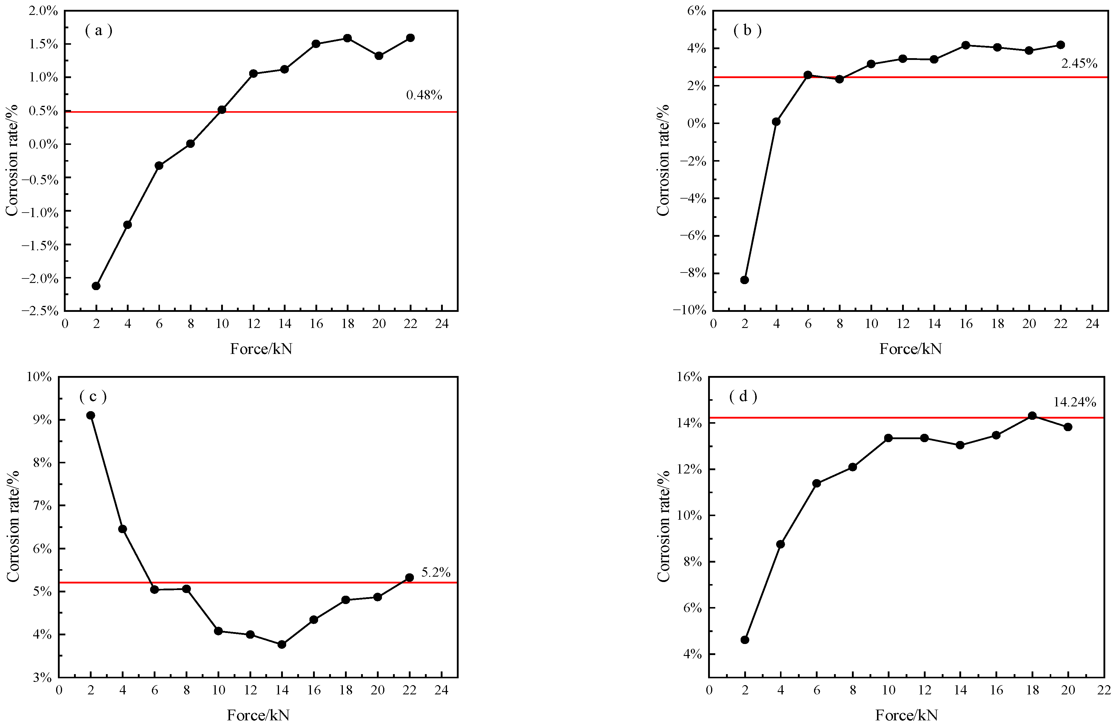
| No. | Section Depth/mm | Section Loss Rate | Length/cm |
|---|---|---|---|
| 1# | 0.1 | 0.48% | 20 |
| 2# | 0.3 | 2.45% | 30 |
| 3# | 0.5 | 5.20% | 30 |
| 4# | 1 | 14.24% | 10 |
| 5# | 1.4 | 22.92% | 20 |
| 6# | 1.67 | 29.26% | 15 |
| 7# | 1.9 | 34.87% | 20 |
| No. | Measured Corrosion Rate Value of Strain | Linear Fitting Value of Strain | Difference Value | Error of Linearity (Difference/Maximum Value) |
|---|---|---|---|---|
| 1# | 2682.73 | 2615.62 | 67.11 | 0.0155 |
| 2# | 2657.38 | 2708.68 | −51.30 | −0.0118 |
| 3# | 2850.94 | 2838.58 | 12.36 | 0.0029 |
| 4# | 3317.75 | 3265.60 | 52.15 | 0.0120 |
| 5# | 3496.18 | 3675.61 | −179.43 | −0.0414 |
| 6# | 3985.18 | 3975.09 | 10.09 | 0.0023 |
| 7# | 4329.10 | 4240.08 | 89.02 | 0.0206 |
Disclaimer/Publisher’s Note: The statements, opinions and data contained in all publications are solely those of the individual author(s) and contributor(s) and not of MDPI and/or the editor(s). MDPI and/or the editor(s) disclaim responsibility for any injury to people or property resulting from any ideas, methods, instructions or products referred to in the content. |
© 2023 by the authors. Licensee MDPI, Basel, Switzerland. This article is an open access article distributed under the terms and conditions of the Creative Commons Attribution (CC BY) license (https://creativecommons.org/licenses/by/4.0/).
Share and Cite
Li, J.; Wang, C.; Zhao, Y. A Long-Term Monitoring Method of Corrosion Damage of Prestressed Anchor Cable. Micromachines 2023, 14, 799. https://doi.org/10.3390/mi14040799
Li J, Wang C, Zhao Y. A Long-Term Monitoring Method of Corrosion Damage of Prestressed Anchor Cable. Micromachines. 2023; 14(4):799. https://doi.org/10.3390/mi14040799
Chicago/Turabian StyleLi, Jianzhi, Chen Wang, and Yiyao Zhao. 2023. "A Long-Term Monitoring Method of Corrosion Damage of Prestressed Anchor Cable" Micromachines 14, no. 4: 799. https://doi.org/10.3390/mi14040799
APA StyleLi, J., Wang, C., & Zhao, Y. (2023). A Long-Term Monitoring Method of Corrosion Damage of Prestressed Anchor Cable. Micromachines, 14(4), 799. https://doi.org/10.3390/mi14040799

