Red Ghost Image Elimination Method Based on Driving Waveform Design in Three-Color Electrophoretic Displays
Abstract
1. Introduction
2. System Principle
2.1. Display Principle
2.2. Red Ghost Images
2.3. Design of Driving Waveforms
3. Experimental Results and Discussion
3.1. Experimental Platform
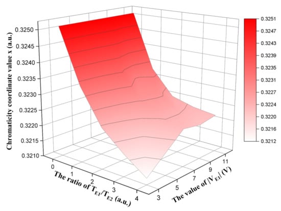
3.2. Testing of Driving Waveform Parameters
3.3. Performance Comparison
4. Conclusions
Author Contributions
Funding
Conflicts of Interest
References
- Hayes, R.A.; Feenstra, B.J. Video-speed electronic paper based on electrowetting. Nature 2003, 425, 383–385. [Google Scholar] [CrossRef] [PubMed]
- Heikenfeld, J.; Drzaic, P.; Yeo, J.S.; Koch, T. Review Paper: A Critical Review of the Present and Future Prospects for Electronic Paper. J. Soc. Inf. Disp. 2011, 19, 2. [Google Scholar] [CrossRef]
- Graham-Rowe, D. Electronic paper rewrites the rulebook for displays. Nat. Photonics 2007, 1, 248–251. [Google Scholar] [CrossRef]
- Wang, L.; Liu, G.S.; Wang, Y.C.; Su, J.; Wang, X.D.; Zeng, X.; Zhang, Z.S.; Deng, S.Z.; Shieh, H.P.D.; Yang, B.R. Transfer printing for fabrication of flexible RGB color e-paper. J. Soc. Inf. Disp. 2017, 25, 384–390. [Google Scholar] [CrossRef]
- Gao, J.; Mendel, N.; Dey, R.; Baratian, D.; Mugele, F. Contact angle hysteresis and oil film lubrication in electrowetting with two immiscible liquids. Appl. Phys. Lett. 2018, 112, 203703. [Google Scholar] [CrossRef]
- Li, D.; Lai, W.-Y.; Zhang, Y.; Huang, W. Printable Transparent Conductive Films for Flexible Electronics. Adv. Mater. 2018, 30, 1704738. [Google Scholar] [CrossRef] [PubMed]
- Heikenfeld, J.; Zhou, K.; Kreit, E.; Raj, B.; Yang, S.; Sun, B.; Milarcik, A.; Clapp, L.; Schwartz, R. Electrofluidic displays using Young–Laplace transposition of brilliant pigment dispersions. Nat. Photon 2009, 3, 292–296. [Google Scholar] [CrossRef]
- Huang, Y.P.; Lin, F.C.; Wu, S.I.; Yang, P.R. Mechanism and Improvement of Charged-Particles Transition in Microcup Electrophoretic Displays. J. Disp. Technol. 2013, 9, 619–625. [Google Scholar] [CrossRef]
- Chrstophersen, M.; Phlips, B.F. Recent patents on electrophoretic displays and materials. Recent Pat. Nanotechnol. 2019, 4, 137–149. [Google Scholar] [CrossRef] [PubMed]
- Chen, Y.; Au, J.; Kazlas, P.; Ritenour, A.; Gates, H.; McCreary, M. Flexible active-matrix electronic ink display. Nature 2003, 423, 136. [Google Scholar] [CrossRef] [PubMed]
- Yi, Z.; Zeng, W.; Ma, S.; Feng, H.; Zeng, W.; Shen, S.; Shui, L.; Zhou, G.; Zhang, C. Design of driving waveform based on a damping oscillation for optimizing red saturation in three-color electrophoretic displays. Micromachines 2021, 12, 162. [Google Scholar] [CrossRef] [PubMed]
- Zeng, W.J.; Yi, Z.C.; Zhou, X.C.; Zhao, Y.M.; Feng, H.Q.; Yang, J.J.; Liu, L.M.; Chi, F.; Zhang, C.F.; Zhou, G.F. Design of Driving Waveform for Shortening Red Particles Response Time in Three-Color Electrophoretic Displays. Micromachines 2021, 12, 578. [Google Scholar] [CrossRef]
- Kim, J.M.; Kwangjoon, K.; Seung-Woo, L. Multilevel driving waveform for electrophoretic displays to improve grey levels and response characteristics. Electron. Lett. 2014, 50, 1925–1927. [Google Scholar] [CrossRef]
- Kao, W.C.; Tsai, J.C. Driving Method of Three-Particle Electrophoretic Displays. IEEE Trans. Electron. Dev. 2018, 65, 1023–1028. [Google Scholar] [CrossRef]
- Yang, S.H.; Lin, F.C.; Huang, Y.P.; Shieh, H.P.D.; Yang, B.R.; Chang, M.J.; Huang, J.C.; Hsieh, Y.J. P-83: Ghosting reduction driving method in electrophoretic displays. Symp. Digest Tech. Pap. 2012, 43, 1361–1364. [Google Scholar] [CrossRef]
- Kim, Y.C. An analysis of reflectivity and response time by charge -to-mass of charged particles in an electrophoretic displays. Trans. Electr. Electron. Mater. 2016, 17, 212–216. [Google Scholar] [CrossRef]
- Shen, S.T.; Gong, Y.X.; Jin, M.L.; Yan, Z.B.; Xu, C.; Yi, Z.C.; Zhou, G.F.; Shui, L.L. Improving electrophoretic particle motion control in electrophoretic displays by eliminating the fringing effect via driving waveform design. Micromachines 2018, 9, 143. [Google Scholar] [CrossRef] [PubMed]
- Yi, Z.C.; Bai, P.F.; Wang, L.; Zhang, X.; Zhou, G.F. An electrophoretic display driving waveform based on improvement of activation pattern. J. Cent. S. Univ. 2014, 21, 3133–3137. [Google Scholar] [CrossRef]
- Kao, W.C.; Chang, W.T.; Ye, J.A. Driving Waveform Design Based on Response Latency Analysis of Electrophoretic Displays. J. Dis. Technol. 2012, 8, 596–601. [Google Scholar] [CrossRef]
- Wu, M.; Luo, Y.J.; Wu, F.F.; Chen, Y.; Wang, X.D.; Zeng, X. Lifetime prediction model of electrophoretic display based on high temperature and high humidity test. J. Soc. Inf. Disp. 2020, 28, 731–743. [Google Scholar] [CrossRef]
- Qin, Z.; Wang, H.I.; Chen, Z.Y.; Chen, C.H.; Tien, P.L.; Liu, M.H.; Liu, S.C.; Hung, C.M.; Tsai, C.C.; Huang, Y.P. Digital halftoning method with simultaneously optimized perceptual image quality and drive current for multi-tonal electrophoretic displays. Appl. Optics 2020, 59, 201–209. [Google Scholar] [CrossRef] [PubMed]
- He, W.Y.; Yi, Z.C.; Shen, S.T.; Huang, Z.Y.; Liu, L.W.; Zhang, T.Y.; Li, W. Driving waveform design of electrophoretic display based on optimized particle activation for a rapid response speed. Micromachines 2020, 11, 498. [Google Scholar] [CrossRef]
- Wang, L.; Yi, Z.C.; Jin, M.L.; Shui, L.L.; Zhou, G.F. Improvement of video playback performance of electrophoretic displays by optimized waveforms with shortened refresh time. Displays 2017, 49, 95–100. [Google Scholar] [CrossRef]
- Cao, J.X.; Qin, Z.; Zeng, Z.; Hu, W.J.; Song, L.Y.; Hu, D.L.; Wang, X.D.; Zeng, X.; Chen, Y.; Yang, B.R. A convolutional neural network for ghost image recognition and waveform design of electrophoretic displays. IEEE Trans. Consum. Electron. 2020, 66, 356–365. [Google Scholar] [CrossRef]
- Zhang, Y.P.; Zhen, B.; Li, R.N.; Meng, S.X.; Li, X.G.; Feng, Y.Q. Low density and fast response silica coated with ionic liquid polymer nanoparticles towards electrophoretic displays. Mater. Lett. 2018, 211, 17–20. [Google Scholar] [CrossRef]
- Zhang, Y.P.; Zhen, B.; Al-shuja’a, S.A.S.; Zhou, G.Y.; Li, X.G.; Feng, Y.Q. Fast-response and monodisperse silica nanoparticles modified with ionic liquid towards electrophoretic displays. Dye. Pigment. 2018, 148, 270–275. [Google Scholar] [CrossRef]
- An, C.H.; Yang, J.; Lee, Y.E.; Kim, C.H.; Nam, E.; Jung, D.; Cho, M.H.; Kim, H. A Triple-Layered Microcavity Structure for Electrophoretic Image Display. IEEE Trans. Electron. Dev. 2011, 58, 1116–1120. [Google Scholar] [CrossRef]
- Comiskey, B.; Albert, J.D.; Yoshizawa, H.; Jacobson, J. An electrophoretic ink for all-printed reflective electronic displays. Nature 1998, 394, 253–255. [Google Scholar] [CrossRef]
- Yi, Z.C.; Feng, H.Q.; Zhou, X.F.; Shui, L.L. Design of an Open Electrowetting on Dielectric Device Based on Printed Circuit Board by Using a Parafilm M. Front. Phys. 2020, 8, 193. [Google Scholar] [CrossRef]
- Tan, T.F.; Wang, S.R.; Bian, S.G.; Li, X.G.; An, Y.; Liu, Z.J. Novel synthesis and electrophoretic response of low density TiO-TiO2-carbon black composite. Appl. Surf. Sci. 2010, 256, 6932–6935. [Google Scholar] [CrossRef]
- Badila, M.; Brochon, C.; Hébraud, A.; Hadziioannou, G. Encapsulation of TiO2 in poly(4-vinyl pyridine)-based cationic microparticles for electrophoretic inks. Polymer 2008, 49, 4529–4533. [Google Scholar] [CrossRef]
- Bert, T.; De Smet, H.; Beunis, F.; Neyts, K. Complete electrical and optical simulation of electronic paper. Displays 2006, 27, 50–55. [Google Scholar] [CrossRef]
- Kang, H.L.; Kim, C.A.; Lee, S.I.; Shin, Y.K.; Lee, Y.H.; Kim, Y.C.; Ju, B.K. Analysis of Particle Movement by Dielectrophoretic Force for Reflective Electronic Display. J. Disp. Technol. 2016, 12, 747–752. [Google Scholar] [CrossRef]
- Yu, D.; An, J.H.; Bae, J.Y.; Jung, D.; Kim, S.; Ahn, S.D.; Kang, S.; Suh, K.S. Preparation and characterization of acrylic-based electronic inks by in situ emulsifier-free emulsion polymerization for electrophoretic displays. Chem. Mater. 2004, 16, 4693–4698. [Google Scholar] [CrossRef]








Publisher’s Note: MDPI stays neutral with regard to jurisdictional claims in published maps and institutional affiliations. |
© 2022 by the authors. Licensee MDPI, Basel, Switzerland. This article is an open access article distributed under the terms and conditions of the Creative Commons Attribution (CC BY) license (https://creativecommons.org/licenses/by/4.0/).
Share and Cite
Wang, L.; Zeng, W.; Liang, Z.; Zhou, G. Red Ghost Image Elimination Method Based on Driving Waveform Design in Three-Color Electrophoretic Displays. Micromachines 2022, 13, 275. https://doi.org/10.3390/mi13020275
Wang L, Zeng W, Liang Z, Zhou G. Red Ghost Image Elimination Method Based on Driving Waveform Design in Three-Color Electrophoretic Displays. Micromachines. 2022; 13(2):275. https://doi.org/10.3390/mi13020275
Chicago/Turabian StyleWang, Li, Wenjun Zeng, Zhuopei Liang, and Guofu Zhou. 2022. "Red Ghost Image Elimination Method Based on Driving Waveform Design in Three-Color Electrophoretic Displays" Micromachines 13, no. 2: 275. https://doi.org/10.3390/mi13020275
APA StyleWang, L., Zeng, W., Liang, Z., & Zhou, G. (2022). Red Ghost Image Elimination Method Based on Driving Waveform Design in Three-Color Electrophoretic Displays. Micromachines, 13(2), 275. https://doi.org/10.3390/mi13020275
