Resonant Raman Scattering in Boron-Implanted GaN
Abstract
1. Introduction
2. Materials and Methods
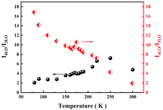
3. Results and Discussion
4. Conclusions
Author Contributions
Funding
Data Availability Statement
Conflicts of Interest
References
- Cui, P.; Jia, M.; Chen, H.; Lin, G.; Zeng, Y. InAlN/GaN HEMT on Si with fmax = 270 GHz. IEEE Trans. Electron Devices 2021, 68, 994–999. [Google Scholar] [CrossRef]
- Motala, M.J.; Blanton, E.; Hilton, A.; Heller, E.; Muratore, C.; Burzynski, K.; Brown, J.; Chabak, K.; Durstock, M.; Snure, M. Transferrable AlGaN/GaN HEMTs to Arbitrary Substrates via a Two-dimensional Boron Nitride Release Layer. ACS Appl. Mater. Interfaces 2020, 12, 21837–21844. [Google Scholar] [CrossRef]
- Yang, W.; Li, J.; Zhang, Y.; Huang, P.K.; Lu, T.C.; Kuo, H.C.; Li, S.; Yang, X.; Chen, H.; Liu, D. High density GaN/AlN quantum dots for deep UV LED with high quantum efficiency and temperature stability. Sci. Rep. 2014, 4, 5166. [Google Scholar] [CrossRef]
- Nakamura, S.; Krames, M.R. History of Gallium–Nitride-Based Light-Emitting Diodes for Illumination. Proc. IEEE 2013, 101, 2211–2220. [Google Scholar] [CrossRef]
- Akasaki, I. GaN-Based p–n Junction Blue-Light-Emitting Devices. Proc. IEEE 2013, 101, 2200–2210. [Google Scholar] [CrossRef]
- Niida, Y.; Sato, M.; Ohki, T.; Nakamura, N. A 0.6-2.1-GHz Wideband GaN High-Power Amplifier Using Transmission-Line-Transformer-Based Differential-Mode Combiner with Second-Harmonic Suppression. IEEE Trans. Microw. Theory Tech. 2021, 69, 1675–1683. [Google Scholar] [CrossRef]
- Faye, D.N.; Biquard, X.; Nogales, E.; Felizardo, M.; Peres, M.; Redondo-Cubero, A.; Auzelle, T.; Daudin, B.; Tizei, L.; Kociak, M. Incorporation of Europium into GaN Nanowires by Ion Implantation. J. Phys. Chem. C 2019, 123, 11874–11887. [Google Scholar] [CrossRef]
- Kucheyev, S.O.; Williams, J.S.; Pearton, S.J. Ion implantation into GaN. Mater. Sci. Eng. Rep. 2001, 33, 51–108. [Google Scholar] [CrossRef]
- Tsou, C.W.; Ji, M.H.; Bakhtiary-Noodeh, M.; Detchprohm, T.; Shen, S.C. Temperature-Dependent Leakage Current Characteristics of Homojunction GaN p-i-n Rectifiers Using Ion-Implantation Isolation. IEEE Trans. Electron Devices 2019, 66, 4273–4278. [Google Scholar] [CrossRef]
- Theodoropoulou, N.A.; Hebard, A.F.; Chu, S.; Overberg, M.E.; Zavada, J.M. Characterization of high dose Fe implantation into p-GaN. Appl. Phys. Lett. 2001, 79, 3452–3454. [Google Scholar] [CrossRef]
- Lorenz, K.; Ruske, F.; Vianden, R. Annealing Behaviour of GaN after Implantation with Hafnium and Indium. Phys. Status Solidi 2015, 228, 331–335. [Google Scholar] [CrossRef]
- Irokawa, Y.; Kim, J.; Ren, F.; Baik, K.H.; Gila, B.P.; Abernathy, C.R.; Pearton, S.J.; Pan, C.C.; Chen, G.T.; Chyi, J.I. Lateral schottky GaN rectifiers formed by Si+ion implantation. J. Electron. Mater. 2004, 33, 426–430. [Google Scholar] [CrossRef]
- Hernández-Gutiérrez, C.A.; Kudriavtsev, Y.; Cardona, D.; Hernández, A.G.; Camas-Anzueto, J.L. Optical, electrical, and chemical characterization of nanostructured InxGa1-xN formed by high fluence In+ ion implantation into GaN. Opt. Mater. 2021, 111, 110541. [Google Scholar] [CrossRef]
- Sun, W.H.; Chua, S.J.; Wang, L.S.; Zhang, X.H. Outgoing multiphonon resonant Raman scattering and luminescence in Be-and C-implanted GaN. J. Appl. Phys. 2002, 91, 4917–4921. [Google Scholar] [CrossRef]
- Wang, L.S.; Tripathy, S.; Sun, W.H.; Chua, S.J. Micro-Raman spectroscopy of Si-, C-, Mg-and Be-implanted GaN layers. J. Raman Spectrosc. 2004, 35, 73–77. [Google Scholar] [CrossRef]
- Boudart, B.; Guhel, Y.; Pesant, J.C.; Dhamelincourt, P.; Poisson, M.A. Raman characterization of Mg+ ion-implanted GaN. J. Phys. Condens. Matter 2004, 16, 1439–1442. [Google Scholar] [CrossRef]
- Chen, J.L.; Peng, Y.; Zhang, X.; Wei, W.W.; Sun, W.H. Long time aging effect on Be-implanted GaN epitaxial layer. AIP Adv. 2019, 9, 055209. [Google Scholar] [CrossRef]
- Peng, Y.; Saleem, M.F.; Wei, W.; Ji, K.; Sun, W. Formation of β-Be3N2 nanocrystallites in Be-implanted GaN. Mater. Res. Express 2021, 8, 035003. [Google Scholar] [CrossRef]
- Huang, H.Y.; Lin, W.C.; Lee, W.H.; Shu, C.K.; Lee, Y.Y. Isoelectronic As doping effects on the optical characteristics of GaN films grown by metalorganic chemical-vapor deposition. Appl. Phys. Lett. 2000, 77, 2819–2821. [Google Scholar] [CrossRef][Green Version]
- Lee, J.H.; Lee, J.H. Enhanced performance of GaN-based light emitting diode with isoelectronic Al doping layer. J. Appl. Phys. 2009, 105, L1059. [Google Scholar] [CrossRef]
- Nakano, T.; Mochizuki, K.; Arikawa, T.; Nakagawa, H.; Usami, S.; Honda, Y.; Amano, H.; Vogt, A.; Schütt, S.; Fiederle, M. Effective neutron detection using vertical-type BGaN diodes. J. Appl. Phys. 2021, 130, 124501. [Google Scholar] [CrossRef]
- Williams, L.; Kioupakis, E. BAlGaN alloys nearly lattice-matched to AlN for efficient UV LEDs. Appl. Phys. Lett. 2019, 115, 231103. [Google Scholar] [CrossRef]
- Nakashima, S. Raman characterization of local electrical properties and growth process in modulation-doped 6H-SiC crystals. J. Appl. Phys. 2004, 95, 3547–3552. [Google Scholar] [CrossRef]
- Zolper, J.C.; Crawford, M.H.; Howard, A.J.; Ramer, J.; Hersee, S.D. Morphology and photoluminescence improvements from high-temperature rapid thermal annealing of GaN. Appl. Phys. Lett. 1996, 68, 200–202. [Google Scholar] [CrossRef]
- Dingle, R.; Sell, D.D.; Stokowski, S.E.; Dean, P.J.; Zetterstrom, R.B. Absorption, Reflectance, and Luminescence of GaN Single Crystals. Phys. Rev. B Condens. Matter 1971, 3, 1211–1218. [Google Scholar] [CrossRef]
- Muth, J.F.; Lee, J.H.; Shmagin, I.K.; Kolbas, R.M. Absorption coefficient, energy gap, exciton binding energy, and recombination lifetime of GaN. Appl. Phys. Lett. 1997, 71, 2572–2574. [Google Scholar] [CrossRef]
- Qiao, M.; Wang, T.J.; Yu, X.F.; Song, H.L.; Guan, J.; Liu, P.; Zhao, J.H.; Wang, X.L. Comparison of waveguide properties and Raman spectroscopic visualization of C and O ion implantation on LaAlO(3) crystals. Appl. Opt. 2014, 53, 7619–7623. [Google Scholar] [CrossRef]
- Yadav, H.K.; Katiyar, R.S.; Gupta, V. Modified cascade model of resonant Raman scattering: A case study of UV Raman scattering in Zn1xMnxO thin films. J. Raman Spectrosc. 2012, 42, 2126–2131. [Google Scholar] [CrossRef]
- Ursaki, V.V.; Lupan, O.I.; Chow, L.; Tiginyanu, I.M.; Zalamai, V.V. Rapid thermal annealing induced change of the mechanism of multiphonon resonant Raman scattering from ZnO nanorods. Solid State Commun. 2007, 143, 437–441. [Google Scholar] [CrossRef]
- Hu, J.; Misochko, O.V.; Nakamura, K.G. Direct observation of two-phonon bound states in ZnTe. Phys. Rev. B 2011, 84, 224304. [Google Scholar] [CrossRef]
- Menéndez, J.; Cardona, M. Temperature dependence of the first-order Raman scattering by phonons in Si, Ge, and -Sn: Anharmonic effects. Phys. Rev. B 1984, 29, 2051–2059. [Google Scholar] [CrossRef]
- Li, W.S.; Shen, Z.X.; Feng, Z.C.; Chua, S.J. Temperature dependence of Raman scattering in hexagonal gallium nitride films. J. Appl. Phys. 2000, 87, 3332–3337. [Google Scholar] [CrossRef]
- Liu, M.S.; Bursill, L.A.; Prawer, S.; Nugent, K.W.; Tong, Y.Z.; Zhang, G.Y. Temperature dependence of Raman scattering in single crystal GaN films. Appl. Phys. Lett. 1999, 74, 3125. [Google Scholar] [CrossRef]
- García-Cristóbal, A.; Cantarero, A.; Trallero-Giner, C.; Cardona, M. Excitonic model for second-order resonant Raman scattering. Phys. Rev. B 1994, 49, 13430–13445. [Google Scholar] [CrossRef]
- Cho, C.H.; Aspetti, C.O.; Turk, M.E.; Kikkawa, J.M.; Nam, S.W.; Agarwal, R. Tailoring hot-exciton emission and lifetimes in semiconducting nanowires via whispering-gallery nanocavity plasmons. Nat. Mater. 2011, 10, 669–675. [Google Scholar] [CrossRef]
- Kumar, M.; Becker, M.; Wernicke, T.; Singh, R. Multiphonon resonant Raman scattering in non-polar GaN epilayers. Appl. Phys. Lett. 2014, 105, 142106. [Google Scholar] [CrossRef]
- Smith, M.E.; Chen, G.; Li, J.; Lin, J.Y.; Jiang, H.X.; Salvador, A.; Kim, W.; Aktas, O.; Botchkarev, A.; Morkoc, H. Excitonic recombination in GaN grown by molecular beam epitaxy. Appl. Phys. Lett. 1995, 67, 3387–3389. [Google Scholar] [CrossRef]
- Leroux, M.; Grandjean, N.; Beaumont, B.; Nataf, G.; Semond, F.; Massies, J.; Gibart, P. Temperature quenching of photoluminescence intensities in undoped and doped GaN. J. Appl. Phys. 1999, 86, 3721–3728. [Google Scholar] [CrossRef]
- Shen, J.-X.; Turiansky, M.E.; Wickramaratne, D.; Van de Walle, C.G. Thermodynamics of boron incorporation in BGaN. Phys. Rev. Mater. 2021, 5, L030401. [Google Scholar] [CrossRef]
- Jin, S.R.; Zheng, Y.L.; Li, A.Z. Characterization of photoluminescence intensity and efficiency of free excitons in semiconductor quantum well structures. J. Appl. Phys. 1997, 82, 3870–3873. [Google Scholar] [CrossRef]










Publisher’s Note: MDPI stays neutral with regard to jurisdictional claims in published maps and institutional affiliations. |
© 2022 by the authors. Licensee MDPI, Basel, Switzerland. This article is an open access article distributed under the terms and conditions of the Creative Commons Attribution (CC BY) license (https://creativecommons.org/licenses/by/4.0/).
Share and Cite
Peng, Y.; Wei, W.; Saleem, M.F.; Xiao, K.; Yang, Y.; Yang, Y.; Wang, Y.; Sun, W. Resonant Raman Scattering in Boron-Implanted GaN. Micromachines 2022, 13, 240. https://doi.org/10.3390/mi13020240
Peng Y, Wei W, Saleem MF, Xiao K, Yang Y, Yang Y, Wang Y, Sun W. Resonant Raman Scattering in Boron-Implanted GaN. Micromachines. 2022; 13(2):240. https://doi.org/10.3390/mi13020240
Chicago/Turabian StylePeng, Yi, Wenwang Wei, Muhammad Farooq Saleem, Kai Xiao, Yanlian Yang, Yufei Yang, Yukun Wang, and Wenhong Sun. 2022. "Resonant Raman Scattering in Boron-Implanted GaN" Micromachines 13, no. 2: 240. https://doi.org/10.3390/mi13020240
APA StylePeng, Y., Wei, W., Saleem, M. F., Xiao, K., Yang, Y., Yang, Y., Wang, Y., & Sun, W. (2022). Resonant Raman Scattering in Boron-Implanted GaN. Micromachines, 13(2), 240. https://doi.org/10.3390/mi13020240

