Geometrical Optimization and Transverse Thermoelectric Performances of Fe/Bi2Te2.7Se0.3 Artificially Tilted Multilayer Thermoelectric Devices
Abstract
:1. Introduction
2. Methods of Calculation and Experiment
2.1. Theoretical Calculation Model of Fe/BTS ATMTD
2.2. Experimental Procedure of Fabricated Fe/BTS ATMTD
2.3. Characterization and Performance Evaluation of Fe/BTS ATMTD
3. Results and Discussion
3.1. Geometrical Configuration Determination of Fe/BTS ATMTD
3.2. Microstructure Characterization of Fe/BTS ATMTD
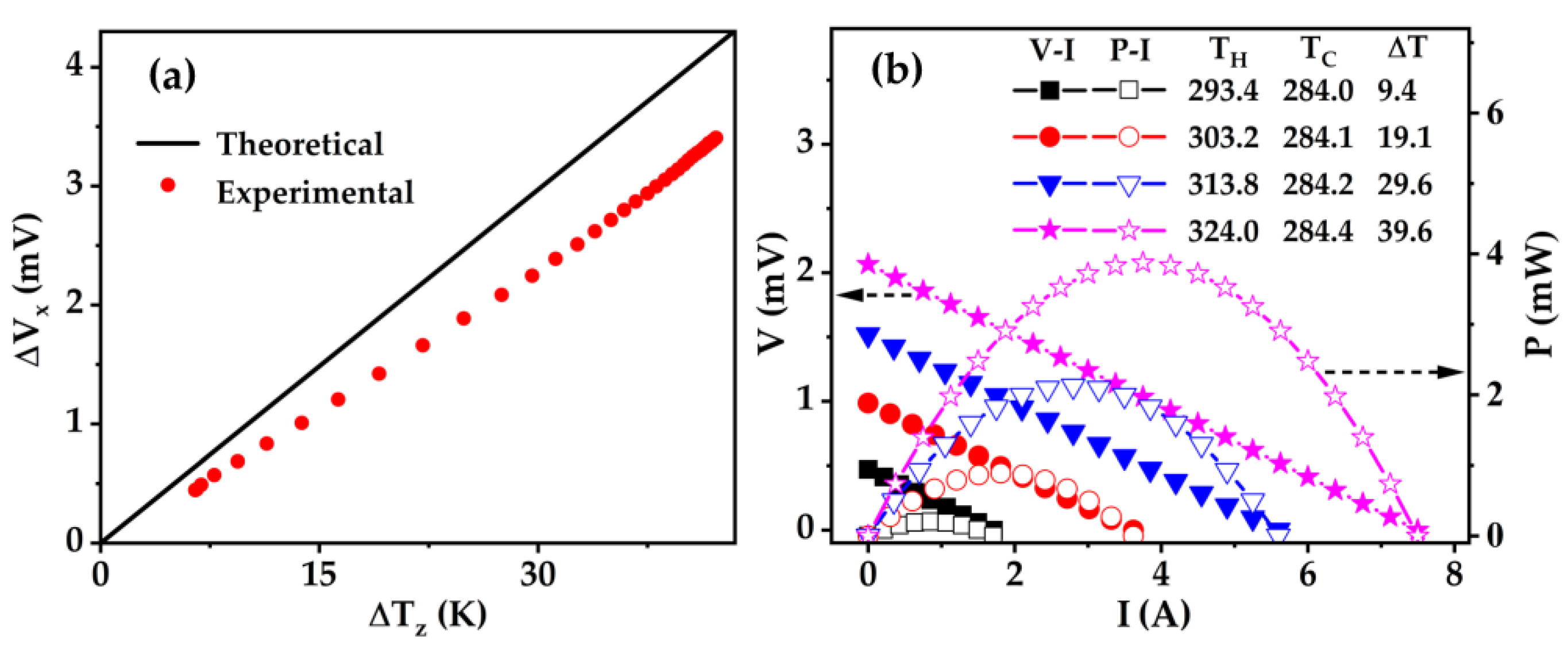
3.3. Power Generation Performance of Fe/BTS ATMTD
4. Conclusions
Author Contributions
Funding
Acknowledgments
Conflicts of Interest
References
- Ren, W.; Sun, Y.; Zhao, D.L.; Aili, A.; Shi, C.Q.; Zhang, J.L.; Geng, H.Y.; Zhang, J.; Zhang, L.X.; Xiao, J.L.; et al. High-performance wearable thermoelectric generator with self-healing, recycling, and lego-like reconfiguring capabilities. Sci. Adv. 2021, 7, eabe0586. [Google Scholar] [CrossRef] [PubMed]
- Mao, J.; Chen, G.; Ren, Z.F. Thermoelectric cooling materials. Nat. Mater. 2021, 20, 454–461. [Google Scholar] [CrossRef] [PubMed]
- Kotov, M.A.; Shemyakin, A.N.; Solovyov, N.G.; Solovyova, N.G.; Yakimov, M.Y.; Glebov, V.N.; Dubrova, G.A.; Malyutin, A.M.; Popov, P.A.; Poniaev, S.A.; et al. Performance assessment of thermoelectric detector for heat flux measurement behind a reflected shock of low intensity. Appl. Therm. Eng. 2021, 195, 117143. [Google Scholar] [CrossRef]
- Md Aspan, R.; Fatima, N.; Mohamed, R.; Syafiq, U.; Ibrahim, M.A. An overview of the strategies for tin selenide advancement in thermoelectric application. Micromachines 2021, 12, 1463. [Google Scholar] [CrossRef] [PubMed]
- Xie, G.Z.; Li, Z.; Luo, T.T.; Bai, H.; Sun, J.C.; Xiao, Y.; Zhao, L.D.; Wu, J.S.; Tan, G.J.; Tang, X.F. Band inversion induced multiple electronic valleys for high thermoelectric performance of SnTe with strong lattice softening. Nano Energy 2020, 69, 104395. [Google Scholar] [CrossRef]
- Sidharth, D.; Nedunchezhian, A.S.A.; Akilan, R.; Srivastava, A.; Srinivasan, B.; Immanuel, P.; Rajkumar, R.; Devi, N.Y.; Arivanandhan, M.; Liu, C.J.; et al. Enhanced thermoelectric performance of band structure engineered GeSe1-xTex alloys. Sustain. Energy Fuels 2021, 5, 1734–1746. [Google Scholar] [CrossRef]
- Feng, B.; Jiang, X.X.; Pan, Z.; Hu, L.; Hu, X.M.; Liu, P.H.; Ren, Y.; Li, G.Q.; Li, Y.W.; Fan, X.A. Preparation, Structure, and enhanced thermoelectric properties of Sm-doped BiCuSeO oxyselenide. Mater. Des. 2020, 185, 108263. [Google Scholar] [CrossRef]
- Masrura, H.M.; Kareekunnan, A.; Liu, F.; Ramaraj, S.G.; Ellrott, G.; Hammam, A.M.M.; Muruganathan, M.; Mizuta, H. Design of graphene phononic crystals for heat phonon engineering. Micromachines 2020, 11, 655. [Google Scholar] [CrossRef]
- Xiao, Y.; Zhao, L.D. Charge and phonon transport in PbTe-based thermoelectric materials. NPJ Quantum Mater. 2018, 3, 1–12. [Google Scholar] [CrossRef] [Green Version]
- An, D.C.; Chen, S.P.; Zhai, X.; Yu, Y.; Fan, W.H.; Zhang, T.T.; Liu, Y.Q.; Wu, Y.C.; Wang, W.X.; Snyder, G.J. High-performance p-type elemental Te thermoelectric materials enabled by the synergy of carrier tuning and phonon engineering. J. Mater. Chem. A 2020, 8, 12156–12168. [Google Scholar] [CrossRef]
- Zhang, Z.X.; Zhao, K.P.; Wei, T.R.; Qiu, P.F. Cu2Se-Based liquid-like thermoelectric materials: Looking back and stepping forward. Energy Environ. Sci. 2020, 13, 3307–3329. [Google Scholar] [CrossRef]
- Gayner, C.; Amouyal, Y. Energy filtering of charge carriers: Current trends, challenges, and prospects for thermoelectric materials. Adv. Funct. Mater. 2020, 30, 1901789. [Google Scholar] [CrossRef]
- Zhao, W.Y.; Liu, Z.Y.; Sun, Z.G.; Zhang, Q.J.; Wei, P.; Mu, X.; Zhou, H.Y.; Li, C.C.; Ma, S.F.; He, D.Q.; et al. Superparamagnetic enhancement of thermoelectric performance. Nature 2017, 549, 247–251. [Google Scholar] [CrossRef]
- Jaziri, N.; Boughamoura, A.; Müller, J.; Mezghani, B.; Tounsi, F.; Ismail, M. A comprehensive review of Thermoelectric Generators: Technologies and common applications. Energy Rep. 2020, 6, 264–287. [Google Scholar] [CrossRef]
- Shi, X.L.; Zou, J.; Chen, Z.G. Advanced thermoelectric design: From materials and structures to devices. Chem. Rev. 2020, 120, 7399–7515. [Google Scholar] [CrossRef] [PubMed]
- Zhou, W.N.; Yamamoto, K.; Miura, A.; Iguchi, R.; Miura, Y.; Uchida, K.; Sakuraba, Y. Seebeck-driven transverse thermoelectric generation. Nat. Mater. 2021, 20, 463–467. [Google Scholar] [CrossRef]
- Scudder, M.R.; He, B.; Wang, Y.X.; Rai, A.; Cahill, D.G.; Windl, W.; Heremans, J.P.; Goldberger, J.E. Highly efficient transverse thermoelectric devices with Re4Si7 crystals. Energy Environ. Sci. 2021, 14, 4009–4017. [Google Scholar] [CrossRef]
- Sakai, A.; Minami, S.; Koretsune, T.; Chen, T.; Higo, T.; Wang, Y.M.; Nomoto, T.; Hirayama, M.; Miwa, S.; Nishio-Hamane, D.; et al. Iron-based binary ferromagnets for transverse thermoelectric conversion. Nature 2020, 581, 53–57. [Google Scholar] [CrossRef]
- Reimann, T.; Bochmann, A.; Vogel, A.; Capraro, B.; Teichert, S.; Töpfer, J. Fabrication of a transversal multilayer thermoelectric generator with substituted calcium manganite. J. Am. Ceram. Soc. 2017, 100, 5700–5708. [Google Scholar] [CrossRef]
- Li, Y.Z.; Wei, P.; Zhou, H.Y.; Mu, X.; Zhu, W.T.; Nie, X.L.; Sang, X.H.; Zhao, W.Y. Geometrical structure optimization design of high-performance Bi2Te3-based artificially tilted multilayer thermoelectric devices. J. Electron. Mater. 2020, 49, 5980–5988. [Google Scholar] [CrossRef]
- Yu, W.Y.; Yan, G.Y.; Xue, Y.L.; Zhang, Y.J.; Wang, J.L.; Fu, G.S.; Wang, A.F. Enhanced light-induced transverse thermoelectric effect in tilted BiCuSeO film via the ultra-thin AuNPs layer. Nanoscale Res. Lett. 2019, 14, 1–6. [Google Scholar] [CrossRef] [PubMed] [Green Version]
- Razeghi, M. InAs/GaSb Type II Superlattices: A Developing Material System for Third Generation of IR Imaging: Mid-Infrared Optoelectronics; Woodhead Publishing: Cambridge, MA, USA, 2020; pp. 379–413. [Google Scholar] [CrossRef]
- Gamino, M.; Santos, J.G.S.; Souza, A.L.R.; Melo, A.S.; Della Pace, R.D.; Silva, E.F.; Oliveira, A.B.; Rodríguez-Suárez, R.L.; Bohn, F.; Correa, M.A. Longitudinal spin Seebeck effect and anomalous Nernst effect in CoFeB/non-magnetic metal bilayers. J. Magn. Magn. Mater. 2021, 527, 167778. [Google Scholar] [CrossRef]
- Mu, X.; Zhu, W.T.; Zhao, W.Y.; Zhou, H.Y.; Sun, Z.G.; Li, C.C.; Ma, S.F.; Wei, P.; Nie, X.L.; Yang, J.H.; et al. Excellent transverse power generation and cooling performances of artificially tilted thermoelectric film devices. Nano Energy 2019, 66, 104145. [Google Scholar] [CrossRef]
- Goldsmid, H.J. Porous materials in synthetic transverse thermoelements. J. Electron. Mater. 2010, 39, 1987–1989. [Google Scholar] [CrossRef]
- Tang, Y.; Cui, B.Y.; Zhou, C.L.; Grayson, M. p × n-type transverse thermoelectrics: A novel type of thermal management material. J. Electron. Mater. 2015, 44, 2095–2104. [Google Scholar] [CrossRef]
- Qian, B.; Ren, F. Cooling performance of transverse thermoelectric devices. Int. J. Heat Mass Tran. 2016, 95, 787–794. [Google Scholar] [CrossRef]
- Kyarad, A.; Lengfellner, H. Al-Si multilayers: A synthetic material with large thermoelectric anisotropy. Appl. Phys. Lett. 2004, 85, 5613–5615. [Google Scholar] [CrossRef]
- Kanno, T.; Yotsuhashi, S.; Sakai, A.; Takahashi, K.; Adachi, H. Enhancement of transverse thermoelectric power factor in tilted Bi/Cu multilayer. Appl. Phys. Lett. 2009, 94, 061917. [Google Scholar] [CrossRef]
- Reitmaier, C.; Walther, F.; Lengfellner, H. Power generation by the transverse Seebeck effect in Pb-Bi2Te3 multilayers. Appl. Phys. A 2011, 105, 347–349. [Google Scholar] [CrossRef]
- Kanno, T.; Sakai, A.; Takahashi, K.; Omote, A.; Adachi, H.; Yamada, Y. Tailoring effective thermoelectric tensors and high-density power generation in a tubular Bi0.5Sb1.5Te3/Ni composite with cylindrical anisotropy. Appl. Phys. Lett. 2012, 101, 011906. [Google Scholar] [CrossRef]
- Sakai, A.; Kanno, T.; Takahashi, K.; Tamaki, H.; Kusada, H.; Yamada, Y.; Abe, H. Breaking the trade-off between thermal and electrical conductivities in the thermoelectric material of an artificially tilted multilayer. Sci. Rep.-UK 2014, 4, 1–6. [Google Scholar] [CrossRef] [PubMed] [Green Version]
- Zhu, W.Y.; Guo, X.G.; Sang, X.H.; Wei, P.; Nie, X.L.; Zhao, W.Y.; Zhang, Q.J. Fabrication and performance prediction of Ni/Bi0.5Sb1.5Te3 artificially-tilted multilayer devices with transverse thermoelectric effect. J. Power Sources 2021, 512, 230471. [Google Scholar] [CrossRef]
- Mu, X.; Zhou, H.Y.; Zhao, W.Y.; He, D.Q.; Zhu, W.T.; Nie, X.L.; Sun, Z.G.; Zhang, Q.J. High-performance YbAl3/Bi0.5Sb1.5Te3 artificially tilted multilayer thermoelectric devices via material genome engineering method. J. Power Sources 2019, 430, 193–200. [Google Scholar] [CrossRef]
- Soleimani, Z.; Zoras, S.; Ceranic, D.B.; Shahzad, S.; Cui, Y.L. A review on recent developments of thermoelectric materials for room-temperature applications. Sustain. Energy. Technol. 2020, 37, 100604. [Google Scholar] [CrossRef]
- Goldsmid, H.J. Application of the transverse thermoelectric effects. J. Electron. Mater. 2011, 40, 1254–1259. [Google Scholar] [CrossRef]
- Da Rosa, A.V.; Ordonez, J.C. Fundamentals of Renewable Energy Processes, 4th ed.; Katey Birtcher: Cambridge, MA, USA, 2021; pp. 220–226. [Google Scholar] [CrossRef]








| Materials | σ (105 S·m−1) | S (μ·V·K−1) | κ (W·m−1·K−1) |
|---|---|---|---|
| Fe | 99 a | 15.0 b | 80.4 a |
| BTS | 1.4 a | −122.1 a | 1.3 a |
| Zones | Atomic Ratio (%) | Speculated Composition | |||
|---|---|---|---|---|---|
| Fe | Bi | Te | Se | ||
| Fe | 100 | 0 | 0 | 0 | Fe |
| 53.04 | 0 | 43.25 | 3.71 | FeTe, Fe(Se, Te) | |
| BTS | 0 | 40.95 | 55.01 | 4.04 | Bi2Te2.69Se0.20 |
Publisher’s Note: MDPI stays neutral with regard to jurisdictional claims in published maps and institutional affiliations. |
© 2022 by the authors. Licensee MDPI, Basel, Switzerland. This article is an open access article distributed under the terms and conditions of the Creative Commons Attribution (CC BY) license (https://creativecommons.org/licenses/by/4.0/).
Share and Cite
Zhou, H.; Liu, H.; Qian, G.; Yu, H.; Gong, X.; Li, X.; Zheng, J. Geometrical Optimization and Transverse Thermoelectric Performances of Fe/Bi2Te2.7Se0.3 Artificially Tilted Multilayer Thermoelectric Devices. Micromachines 2022, 13, 233. https://doi.org/10.3390/mi13020233
Zhou H, Liu H, Qian G, Yu H, Gong X, Li X, Zheng J. Geometrical Optimization and Transverse Thermoelectric Performances of Fe/Bi2Te2.7Se0.3 Artificially Tilted Multilayer Thermoelectric Devices. Micromachines. 2022; 13(2):233. https://doi.org/10.3390/mi13020233
Chicago/Turabian StyleZhou, Hongyu, Huang Liu, Guoping Qian, Huanan Yu, Xiangbing Gong, Xi Li, and Jianlong Zheng. 2022. "Geometrical Optimization and Transverse Thermoelectric Performances of Fe/Bi2Te2.7Se0.3 Artificially Tilted Multilayer Thermoelectric Devices" Micromachines 13, no. 2: 233. https://doi.org/10.3390/mi13020233
APA StyleZhou, H., Liu, H., Qian, G., Yu, H., Gong, X., Li, X., & Zheng, J. (2022). Geometrical Optimization and Transverse Thermoelectric Performances of Fe/Bi2Te2.7Se0.3 Artificially Tilted Multilayer Thermoelectric Devices. Micromachines, 13(2), 233. https://doi.org/10.3390/mi13020233

