The Effect of Geometric Parameters on Flow and Heat Transfer Characteristics of a Double-Layer Microchannel Heat Sink for High-Power Diode Laser
Abstract
1. Introduction
2. Numerical Model Construct
3. Research Methods
3.1. Governing Equations
- (1)
- This flow is laminar, incompressible, and steady.
- (2)
- The boundary conditions ensure that no slippage occurs.
- (3)
- The radiation heat transfer is negligible, as is gravity.
- (4)
- The solids and liquids have constant properties with the exception of the viscosity of coolant water (the viscosity of water varies with its temperature).
- (5)
- The viscosity dissipation of the water flow is negligible.
3.2. Boundary Conditions
3.3. Numerical Methods and Validations
3.4. Performance Evaluation Parameters
4. Result and Discussion
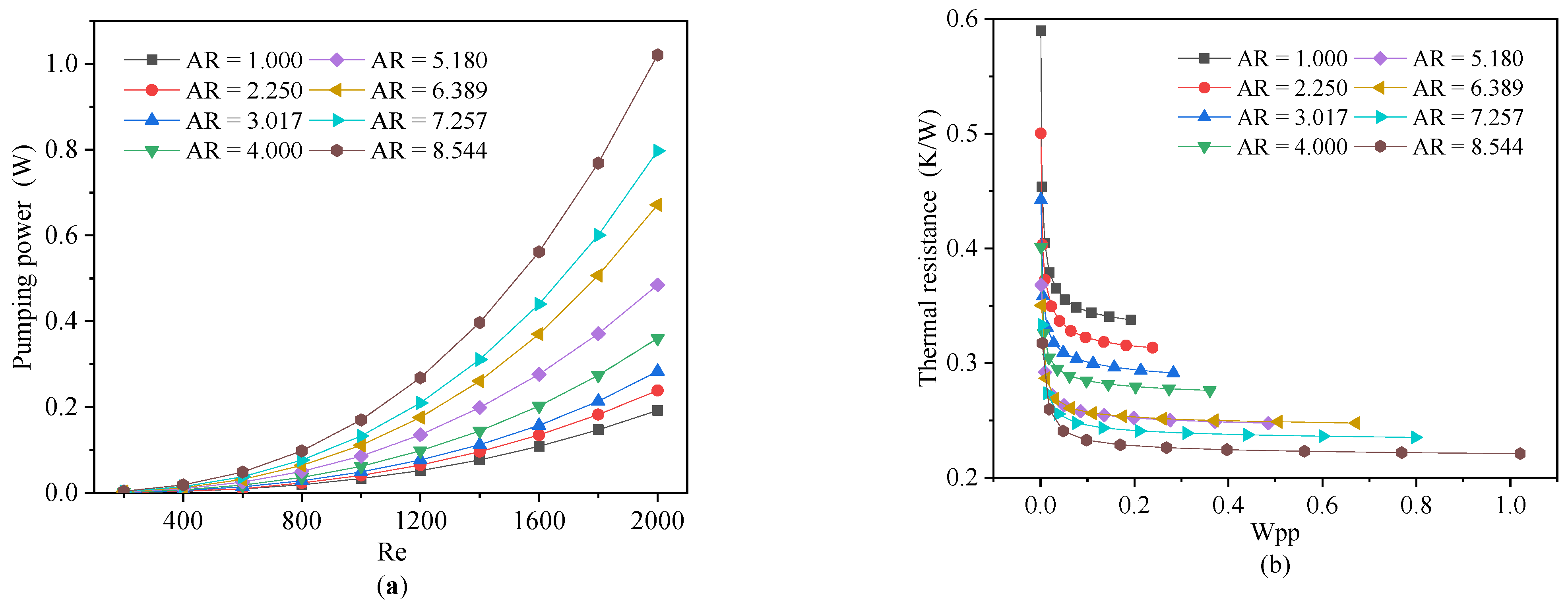
4.1. The Influence of Aspect Ratio on Rectangular Microchannel Heat Sinks
4.2. Flow and Heat Transfer Characteristics of Triangular and Trapezoidal Microchannels
4.3. Comparison of the Flow and Heat Transfer Characteristics of Triangular, Trapezoidal, and Rectangular MCHSs
4.4. The Effect of Channel Number on the Performance of Microchannel Heat Sinks
5. Conclusions
Author Contributions
Funding
Informed Consent Statement
Data Availability Statement
Conflicts of Interest
References
- Yan, Y.; Yan, H.; Zhang, L.; Li, L.; Zhu, J.; Zhang, Z. Numerical investigation on combustion characteristics of methane/air in a micro-combustor with a regular triangular pyramid bluff body. Int. J. Hydrogen Energy 2018, 43, 7581–7590. [Google Scholar] [CrossRef]
- Wang, X.; Parrish, K.D.; Malen, J.A.; Chan, P.K.L. Modifying the thermal conductivity of small molecule organic semiconductor thin films with metal nanoparticles. Sci. Rep. 2015, 5, 16095. [Google Scholar] [CrossRef] [PubMed]
- Yan, Y.; Feng, S.; Huang, Z.; Zhang, L.; Pan, W.; Li, L.; Yang, Z. Thermal management and catalytic combustion stability characteristics of premixed methane/air in heat recirculation meso-combustors. Int. J. Energy Res. 2018, 42, 999–1012. [Google Scholar] [CrossRef]
- Hall, D.W.; Jakobson, P.A.; Sharps, J.A.; Bartholomew, R.F. Packaging of High Power Semiconductor Lasers; Springer: New York, NY, USA, 1998. [Google Scholar]
- Lakshminarayanan, V.; Sriraam, N. The effect of temperature on the reliability of electronic components. In Proceedings of the 2014 IEEE International Conference on Electronics, Computing and Communication Technologies (CONECCT), Bangalore, India, 6–7 January 2014; pp. 1–6. [Google Scholar]
- Epperlein, P.W. Semiconductor Laser Engineering, Reliability and Diagnostics: A Practical Approach to High Power and Single Mode Devices; Wiley: Hoboken, NJ, USA, 2013. [Google Scholar]
- Tuckerman, D.B.; Pease, R.F.W. High-performance heat sinking for VLSI. IEEE Electron Device Lett. 1981, 2, 126–129. [Google Scholar] [CrossRef]
- He, Z.; Yan, Y.; Zhang, Z. Thermal management and temperature uniformity enhancement of electronic devices by micro heat sinks: A review. Energy 2020, 216, 119223. [Google Scholar] [CrossRef]
- Adham, A.M.; Mohd-Ghazali, N.; Ahmad, R.B. Thermal and hydrodynamic analysis of microchannel heat sinks: A review. Renew. Sustain. Energy Rev. 2013, 21, 614–622. [Google Scholar] [CrossRef]
- Hung, T.-C.; Yan, W.M.; Wang, X.-D.; Yu-xian, H. Optimal design of geometric parameters of double-layered microchannel heat sinks. Int. J. Heat Mass Transf. 2012, 55, 3262–3272. [Google Scholar] [CrossRef]
- Naqiuddin, N.H.; Saw, L.H.; Yew, M.C.; Yusof, F.; Ng, T.C.; Yew, M.K. Overview of micro-channel design for high heat flux application. Renew. Sustain. Energy Rev. 2018, 82, 901–914. [Google Scholar] [CrossRef]
- Ambatipudi, K.K.; Rahman, M.M. Analysis of Conjugate Heat Transfer in Microchannel Heat Sinks. Numer. Heat Transf. Part A-Appl. 2000, 37, 711–731. [Google Scholar]
- Kim, S.J. Methods for Thermal Optimization of Microchannel Heat Sinks. Heat Transf. Eng. 2004, 25, 37–49. [Google Scholar] [CrossRef]
- Li, J.; Peterson, G.P. Geometric optimization of a micro heat sink with liquid flow. IEEE Trans. Compon. Packag. Technol. 2006, 29, 145–154. [Google Scholar] [CrossRef]
- Al-Bakhit, H.; Fakheri, A. Numerical simulation of heat transfer in simultaneously developing flows in parallel rectangular ducts. Appl. Therm. Eng. 2006, 26, 596–603. [Google Scholar] [CrossRef]
- Li, J.; Peterson, G.P. 3-Dimensional numerical optimization of silicon-based high performance parallel microchannel heat sink with liquid flow. Int. J. Heat Mass Transf. 2007, 50, 2895–2904. [Google Scholar] [CrossRef]
- Bello-Ochende, T.; Liebenberg, L.; Meyer, J.P. Constructal cooling channels for micro-channel heat sinks. Int. J. Heat Mass Transf. 2007, 50, 4141–4150. [Google Scholar] [CrossRef]
- Kou, H.-S.; Lee, J.-J.; Chen, C.-W. Optimum thermal performance of microchannel heat sink by adjusting channel width and height. Int. Commun. Heat Mass Transf. 2008, 35, 577–582. [Google Scholar] [CrossRef]
- Sahar, A.M.; Wissink, J.G.; Mahmoud, M.M.A.; Karayiannis, T.G.; Ishak, M.S.A. Effect of Hydraulic Diameter and Aspect Ratio on Single Phase Flow and Heat Transfer in a Rectangular Microchannel. Appl. Therm. Eng. 2017, 115, 793–814. [Google Scholar] [CrossRef]
- Wang, H.; Chen, Z.; Gao, J. Influence of geometric parameters on flow and heat transfer performance of micro-channel heat sinks. Appl. Therm. Eng. 2016, 107, 870–879. [Google Scholar] [CrossRef]
- Kewalramani, G.V.; Hedau, G.; Saha, S.K.; Agrawal, A. Empirical correlation of laminar forced convective flow in trapezoidal microchannel based on experimental and 3D numerical study. Int. J. Therm. Sci. 2019, 142, 422–433. [Google Scholar] [CrossRef]
- Si Salah, S.A.; Filali, E.G.; Djellouli, S. Numerical investigation of Reynolds number and scaling effects in microchannels flows. J. Hydrodyn. 2017, 29, 647–658. [Google Scholar] [CrossRef]
- Vafai, K.; Zhu, L. Analysis of two-layered micro-channel heat sink concept in electronic cooling. Int. J. Heat Mass Transf. 1999, 42, 2287–2297. [Google Scholar] [CrossRef]
- Hung, T.-C.; Yan, W.M.; Li, W.-P. Analysis of heat transfer characteristics of double-layered microchannel heat sink. Int. J. Heat Mass Transf. 2012, 55, 3090–3099. [Google Scholar] [CrossRef]
- Wong, K.C.; Muezzin, F. Heat transfer of a parallel flow two-layered microchannel heat sink. Int. Commun. Heat Mass Transf. 2013, 49, 136–140. [Google Scholar] [CrossRef]
- Chen, Y.; Zhang, C.; Shi, M.-h.; Wu, J. Three-dimensional numerical simulation of heat and fluid flow in noncircular microchannel heat sinks. Int. Commun. Heat Mass Transf. 2009, 36, 917–920. [Google Scholar] [CrossRef]
- Gunnasegaran, P.; Mohammed, H.A.; Shuaib, N.H.; Saidur, R. The effect of geometrical parameters on heat transfer characteristics of microchannels heat sink with different shapes. Int. Commun. Heat Mass Transf. 2010, 37, 1078–1086. [Google Scholar] [CrossRef]
- Wu, D.; Zah, C.-E.; Liu, X. Thermal hydraulic performance of a microchannel heat sink for cooling a high-power diode laser bar. Appl. Opt. 2019, 58, 1966–1977. [Google Scholar] [CrossRef]
- Mieczkowski, M.; Furmański, P.; Łapka, P. Optimization of a microchannel heat sink using entropy minimization and genetic aggregation algorithm. Appl. Therm. Eng. 2021, 191, 116840. [Google Scholar] [CrossRef]
- Alperen, Y.; Sertac, C. Multi objective optimization of a micro-channel heat sink through genetic algorithm. Int. J. Heat Mass Transf. 2020, 146, 118847. [Google Scholar] [CrossRef]
- Liu, F.; Jing, D. Hydrothermal performances of symmetric and asymmetric divergent-convergent microchannel heat sinks. Int. Commun. Heat Mass Transf. 2021, 127, 105566. [Google Scholar] [CrossRef]
- Kestin, J.; Sokolov, M.; Wakeham, W.A. Viscosity of Liquid Water in the Range—8 C to 150 C. J. Phys. Chem. Ref. Data 1978, 7, 941–948. [Google Scholar] [CrossRef]
- Jia, G.; Qiu, Y.; Yan, A.; Yao, S.; Wang, Z. Laser three-dimensional printing microchannel heat sink for high-power diode laser array. Opt. Eng. 2016, 55, 96105. [Google Scholar] [CrossRef]
- Li, Y.; Zhang, F.; Sundén, B.; Xie, G. Laminar thermal performance of microchannel heat sinks with constructal vertical Y-shaped bifurcation plates. Appl. Therm. Eng. 2014, 73, 185–195. [Google Scholar] [CrossRef]
- Xia, G.; Chai, L.; Wang, H.; Zhou, M.; Cui, Z.-Z. Optimum thermal design of microchannel heat sink with triangular reentrant cavities. Appl. Therm. Eng. 2011, 31, 1208–1219. [Google Scholar] [CrossRef]
- Ma, H.; Duan, Z.; Ning, X.; Su, L. Numerical investigation on heat transfer behavior of thermally developing flow inside rectangular microchannels. Case Stud. Therm. Eng. 2021, 24, 100856. [Google Scholar]
- Ma, Y.; Liu, C.; E, J.; Mao, X.; Yu, Z. Research on modeling and parameter sensitivity of flow and heat transfer process in typical rectangular microchannels: From a data-driven perspective. Int. J. Therm. Sci. 2022, 172, 107356. [Google Scholar] [CrossRef]
- Wildgoose, A.; Thole, K.A.; Sanders, P.A.; Wang, L. Impact of Additive Manufacturing on Internal Cooling Channels with Varying Diameters and Build Directions. J. Turbomach. 2020, 143, 1–52. [Google Scholar]
- Pakkanen, J.; Calignano, F.; Trevisan, F.; Lorusso, M.; Ambrosio, E.P.; Manfredi, D.; Fino, P. Study of Internal Channel Surface Roughnesses Manufactured by Selective Laser Melting in Aluminum and Titanium Alloys. Metall. Mater. Trans. A 2016, 47, 3837–3844. [Google Scholar] [CrossRef]
- Solyaev, Y.O.; Rabinskiy, L.; Tokmakov, D. Overmelting and closing of thin horizontal channels in AlSi10Mg samples obtained by selective laser melting. Addit. Manuf. 2019, 30, 100847. [Google Scholar] [CrossRef]















| Materials | Density (kg·m−3) | Thermal Conductivity (W·m−1·K−1) | Specific Heat (J·kg−1·K−1) |
|---|---|---|---|
| water | 1000 | 0.6 | 4178 |
| copper | 8933 | 401 | 385 |
| Ly | Ha | Lx | WC | HC | Ww | Htop | Hb | Lq |
|---|---|---|---|---|---|---|---|---|
| 10 | 0.6 | 6.5 | 0.6 | 0.6 | 0.4 | 0.15 | 0.15 | 3 |
| No | WC | HC | Dh | α = HC/WC | Ph |
|---|---|---|---|---|---|
| Case1 | 0.205 | 1.754 | 0.368 | 8.544 | 3.713 |
| Case2 | 0.223 | 1.616 | 0.392 | 7.257 | 3.455 |
| Case3 | 0.237 | 1.517 | 0.410 | 6.389 | 3.271 |
| Case4 | 0.264 | 1.366 | 0.442 | 5.180 | 2.996 |
| Case5 | 0.300 | 1.200 | 0.480 | 4.000 | 2.7 |
| Case6 | 0.345 | 1.042 | 0.519 | 3.017 | 2.429 |
| Case7 | 0.400 | 0.900 | 0.554 | 2.250 | 2.2 |
| Case8 | 0.600 | 0.600 | 0.600 | 1.000 | 1.8 |
| No | Wt | Wb | HC | Dh |
|---|---|---|---|---|
| Case1 | 0.142 | 0.342 | 1.487 | 0.416 |
| Case2 | 0.300 | 0.500 | 0.900 | 0.551 |
| Case3 | 0.489 | 0.974 | 0.492 | 0.563 |
| No | WC | HC | Dh |
|---|---|---|---|
| Case1 | 0.297 | 2.428 | 0.279 |
| Case2 | 0.362 | 1.989 | 0.331 |
| Case3 | 0.493 | 1.460 | 0.417 |
| Case4 | 0.821 | 0.877 | 0.522 |
| No | Number of Nodes | V (ms−1) | P (pa) | Rth (kw−1) |
|---|---|---|---|---|
| Case1 | 177,314 | 1.6747 | 5500.557 | 0.3652 |
| Case2 | 246,074 | 1.6747 | 5926.285 | 0.3133 |
| Case3 | 300,641 | 1.6747 | 6089.236 | 0.3083 |
| Case4 | 350,236 | 1.6747 | 6109.457 | 0.3014 |
Publisher’s Note: MDPI stays neutral with regard to jurisdictional claims in published maps and institutional affiliations. |
© 2022 by the authors. Licensee MDPI, Basel, Switzerland. This article is an open access article distributed under the terms and conditions of the Creative Commons Attribution (CC BY) license (https://creativecommons.org/licenses/by/4.0/).
Share and Cite
Gao, Y.; Wang, J.; Cao, M.; Zang, L.; Liu, H.; Yuen, M.M.F.; Bai, X.; Wang, Y. The Effect of Geometric Parameters on Flow and Heat Transfer Characteristics of a Double-Layer Microchannel Heat Sink for High-Power Diode Laser. Micromachines 2022, 13, 2072. https://doi.org/10.3390/mi13122072
Gao Y, Wang J, Cao M, Zang L, Liu H, Yuen MMF, Bai X, Wang Y. The Effect of Geometric Parameters on Flow and Heat Transfer Characteristics of a Double-Layer Microchannel Heat Sink for High-Power Diode Laser. Micromachines. 2022; 13(12):2072. https://doi.org/10.3390/mi13122072
Chicago/Turabian StyleGao, Yiwei, Junchao Wang, Mingxuan Cao, Luhao Zang, Hao Liu, Matthew M. F. Yuen, Xiaolei Bai, and Ying Wang. 2022. "The Effect of Geometric Parameters on Flow and Heat Transfer Characteristics of a Double-Layer Microchannel Heat Sink for High-Power Diode Laser" Micromachines 13, no. 12: 2072. https://doi.org/10.3390/mi13122072
APA StyleGao, Y., Wang, J., Cao, M., Zang, L., Liu, H., Yuen, M. M. F., Bai, X., & Wang, Y. (2022). The Effect of Geometric Parameters on Flow and Heat Transfer Characteristics of a Double-Layer Microchannel Heat Sink for High-Power Diode Laser. Micromachines, 13(12), 2072. https://doi.org/10.3390/mi13122072
