Miniature Autonomous Robot Based on Legged In-Plane Piezoelectric Resonators with Onboard Power and Control
Abstract
1. Introduction
2. Materials and Methods
2.1. Device Design
2.2. Robot Fabrication
2.3. Device Characterization
3. Results
3.1. Electric Characterization
3.2. Kinectic Characterization
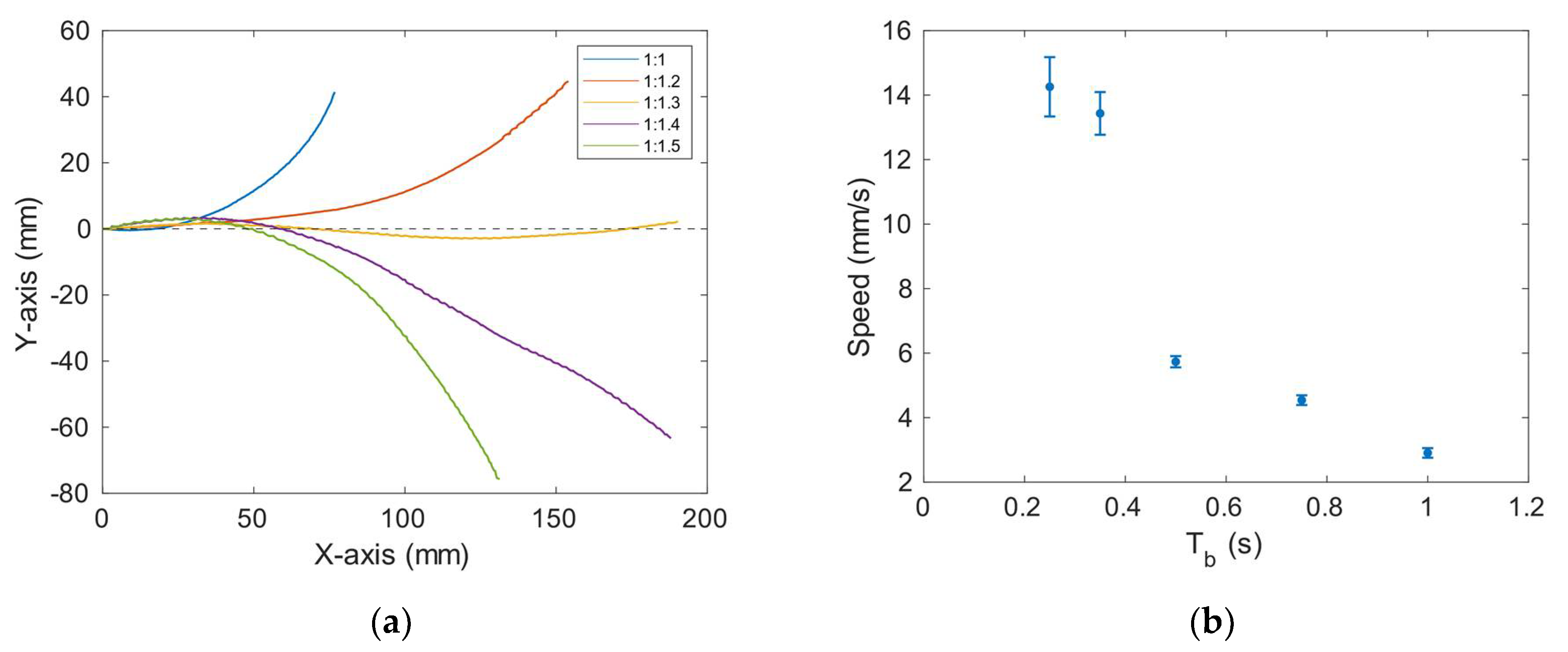
3.2.1. Speed
3.2.2. Pulling Mass and Surface Roughness
3.2.3. Path Manipulation
4. Conclusions
Supplementary Materials
Author Contributions
Funding
Data Availability Statement
Acknowledgments
Conflicts of Interest
References
- St. Pierre, R.; Bergbreiter, S. Toward Autonomy in Sub-Gram Terrestrial Robots. Annu. Rev. Control Robot. Auton. Syst. 2019, 2, 231–252. [Google Scholar] [CrossRef]
 - Jayaram, K.; Shum, J.; Castellanos, S.; Helbling, E.F.; Wood, R.J. Scaling down an Insect-Size Microrobot, HAMR-VI into HAMR-Jr. In Proceedings of the 2020 IEEE International Conference on Robotics and Automation (ICRA), Paris, France, 31 May–31 August 2020; pp. 10305–10311. [Google Scholar]
 - Rios, S.A.; Fleming, A.J.; Yong, Y.K. Miniature Resonant Ambulatory Robot. IEEE Robot. Autom. Lett. 2017, 2, 337–343. [Google Scholar] [CrossRef]
 - Vartholomeos, P.; Papadopoulos, E. Dynamics, Design and Simulation of a Novel Microrobotic Platform Employing Vibration Microactuators. J. Dyn. Syst. Meas. Control. 2005, 128, 122–133. [Google Scholar] [CrossRef]
 - Hariri, H.H.; Soh, G.S.; Foong, S.; Wood, K. Locomotion Study of a Standing Wave Driven Piezoelectric Miniature Robot for Bi-Directional Motion. IEEE Trans. Robot. 2017, 33, 742–747. [Google Scholar] [CrossRef]
 - Son, K.J.; Kartik, V.; Wickert, J.A.; Sitti, M. An Ultrasonic Standing-Wave-Actuated Nano-Positioning Walking Robot: Piezoelectric-Metal Composite Beam Modeling. J. Vib. Control. 2006, 12, 1293–1309. [Google Scholar] [CrossRef]
 - Hernando-García, J.; García-Caraballo, J.L.; Ruiz-Díez, V.; Sánchez-Rojas, J.L. Comparative Study of Traveling and Standing Wave-Based Locomotion of Legged Bidirectional Miniature Piezoelectric Robots. Micromachines 2021, 12, 171. [Google Scholar] [CrossRef]
 - Hernando-García, J.; García-Caraballo, J.L.; Ruiz-Díez, V.; Sánchez-Rojas, J.L. Motion of a Legged Bidirectional Miniature Piezoelectric Robot Based on Traveling Wave Generation. Micromachines 2020, 11, 321. [Google Scholar] [CrossRef]
 - Giomi, L.; Hawley-Weld, N.; Mahadevan, L. Swarming, Swirling and Stasis in Sequestered Bristle-Bots. Proc. R. Soc. A Math. Phys. Eng. Sci. 2013, 469, 20120637. [Google Scholar] [CrossRef]
 - Becker, F.; Boerner, S.; Lysenko, V.; Zeidis, I.; Zimmermann, K. On the Mechanics of Bristle-Bots—Modeling, Simulation and Experiments. In Proceedings of the ISR/Robotik 2014; 41st International Symposium on Robotics, Munich, Germany, 2–3 June 2014; pp. 1–6. [Google Scholar]
 - Kim, D.; Hao, Z.; Mohazab, A.R.; Ansari, A. On the Forward and Backward Motion of Milli-Bristlebots. Int. J. Non-Linear Mech. 2020, 127, 103551. [Google Scholar] [CrossRef]
 - Aoshima, S.; Tsujimura, T.; Yabuta, T. A Miniature Mobile Robot Using Piezo Vibration for Mobility in a Thin Tube. J. Dyn. Sys. Meas. Control 1993, 115, 270–278. [Google Scholar] [CrossRef]
 - Baisch, A.T.; Ozcan, O.; Goldberg, B.; Ithier, D.; Wood, R.J. High Speed Locomotion for a Quadrupedal Microrobot. Int. J. Robot. Res. 2014, 33, 1063–1082. [Google Scholar] [CrossRef]
 - Hoover, A.M.; Steltz, E.; Fearing, R.S. RoACH: An Autonomous 2.4 g Crawling Hexapod Robot. In Proceedings of the 2008 IEEE/RSJ International Conference on Intelligent Robots and Systems, Nice, France, 22–26 September 2008; pp. 26–33. [Google Scholar]
 - Dharmawan, A.G.; Hariri, H.H.; Foong, S.; Soh, G.S.; Wood, K.L. Steerable Miniature Legged Robot Driven by a Single Piezoelectric Bending Unimorph Actuator. In Proceedings of the 2017 IEEE International Conference on Robotics and Automation (ICRA), Singapore, 29 May–3 June 2017; pp. 6008–6013. [Google Scholar]
 - Hao, Z.; Kim, D.; Mohazab, A.R.; Ansari, A. Maneuver at Micro Scale: Steering by Actuation Frequency Control in Micro Bristle Robots*. In Proceedings of the 2020 IEEE International Conference on Robotics and Automation (ICRA), Paris, France, 31 May–31 August May 2020; pp. 10299–10304. [Google Scholar]
 - Ioi, K. A Mobile Micro-Robot Using Centrifugal Forces. In Proceedings of the 1999 IEEE/ASME International Conference on Advanced Intelligent Mechatronics (Cat. No.99TH8399), Atlanta, GA, USA, 19–23 September 1999; pp. 736–741. [Google Scholar]
 - Fischer, G.; Gogola, M.; Goldfarb, M.; Garcia, E. Development of a Piezoelectrically-Actuated Mesoscale Robot Quadruped. J. Micromechatronics 2001, 1, 205–219. [Google Scholar] [CrossRef]
 - Karpelson, M.; Wei, G.-Y.; Wood, R.J. Driving High Voltage Piezoelectric Actuators in Microrobotic Applications. Sens. Actuators A Phys. 2012, 176, 78–89. [Google Scholar] [CrossRef]
 - Kim, M.-S.; Lee, H.-T.; Ahn, S.-H. Laser Controlled 65 Micrometer Long Microrobot Made of Ni-Ti Shape Memory Alloy. Adv. Mater. Technol. 2019, 4, 1900583. [Google Scholar] [CrossRef]
 - Hollar, S.; Flynn, A.; Bellew, C.; Pister, K.S.J. Solar Powered 10 Mg Silicon Robot. In Proceedings of the IEEE The Sixteenth Annual International Conference on Micro Electro Mechanical Systems (MEMS-03), Kyoto, Japan, 19–23 January 2003; pp. 706–711. [Google Scholar]
 - Pawashe, C.; Floyd, S.; Sitti, M. Modeling and Experimental Characterization of an Untethered Magnetic Micro-Robot. Int. J. Robot. Res. 2009, 28, 1077–1094. [Google Scholar] [CrossRef]
 - Vollmers, K.; Frutiger, D.R.; Kratochvil, B.E.; Nelson, B.J. Wireless Resonant Magnetic Microactuator for Untethered Mobile Microrobots. Appl. Phys. Lett. 2008, 92, 144103. [Google Scholar] [CrossRef]
 - Yasuda, T.; Shimoyama, I.; Miura, H. Microrobot Actuated by a Vibration Energy Field. Sens. Actuators A Phys. 1994, 43, 366–370. [Google Scholar] [CrossRef]
 - Caprari, G.; Estier, T.; Siegwart, R. Fascination of down Scaling—Alice the Sugar Cube Robot. J. Micromechatron. 2001, 1, 177–189. [Google Scholar] [CrossRef]
 - Arvin, F.; Murray, J.; Zhang, C.; Yue, S. Colias: An Autonomous Micro Robot for Swarm Robotic Applications. Int. J. Adv. Robot. Syst. 2014, 11, 113. [Google Scholar] [CrossRef]
 - Rubenstein, M.; Ahler, C.; Nagpal, R. Kilobot: A Low Cost Scalable Robot System for Collective Behaviors. In Proceedings of the 2012 IEEE International Conference on Robotics and Automation, St Paul, MN, USA, 14–18 May 2012; pp. 3293–3298. [Google Scholar]
 - Ji, X.; Liu, X.; Cacucciolo, V.; Imboden, M.; Civet, Y.; El Haitami, A.; Cantin, S.; Perriard, Y.; Shea, H. An Autonomous Untethered Fast Soft Robotic Insect Driven by Low-Voltage Dielectric Elastomer Actuators. Sci. Robot. 2019, 4, eaaz6451. [Google Scholar] [CrossRef]
 - Goldberg, B.; Zufferey, R.; Doshi, N.; Helbling, E.F.; Whittredge, G.; Kovac, M.; Wood, R.J. Power and Control Autonomy for High-Speed Locomotion With an Insect-Scale Legged Robot. IEEE Robot. Autom. Lett. 2018, 3, 987–993. [Google Scholar] [CrossRef]
 - Ruiz-Díez, V.; Manzaneque, T.; Hernando-García, J.; Ababneh, A.; Kucera, M.; Schmid, U.; Seidel, H.; Sánchez-Rojas, J.L. Design and Characterization of AlN-Based in-Plane Microplate Resonators. J. Micromech. Microeng. 2013, 23, 074003. [Google Scholar] [CrossRef]
 - Yang, J. The Mechanics of Piezoelectric Structures; World Scientific: Singapore, 2006; ISBN 978-981-256-701-7. [Google Scholar]
 - Comsol. Available online: https://www.comsol.com/ (accessed on 27 September 2022).
 - Increase Piezoelectric Transducer Acoustic Output with a Simple Circuit—EDN. Available online: https://www.edn.com/increase-piezoelectric-transducer-acoustic-output-with-a-simple-circuit/ (accessed on 22 July 2022).
 - PI Piezoelectric Ceramic Products Online. 2022. Available online: https://static.piceramic.com/fileadmin/user_upload/pi_ceramic/files/catalog_CAT/PI_CAT125E_R3_Piezoelectric_Ceramic_Products.pdf (accessed on 26 July 2022).
 - Loctite 438 Technical Data Sheet Online. 2022. Available online: http://tds.henkel.com/tds5/Studio/ShowPDF/438-EN?pid=438&format=MTR&subformat=REAC&language=EN&plant=WERCS (accessed on 26 July 2022).
 - Ruiz, V.; Hernando-García, J.; Ababneh, A.; Seidel, H.; Schmid, U.; Sánchez-Rojas, J.L. Modelling and Characterization of AlN-Actuated Microcantilevers Vibrating in the First in-Plane Mode. Microsyst. Technol. 2012, 18, 997–1001. [Google Scholar] [CrossRef]
 














| Component | Mass (mg) | 
|---|---|
| PZT plates | 100 × 2 = 200 | 
| Microcontroller | 1.123 | 
| PCB | 874 | 
| Battery | 3.270 | 
| Supporting platform | 1.601 | 
| Total Mass | 7.068 | 
| Conductance peak | ΔG (mS) | Q | 
|---|---|---|
| No legs | 17.28 | 69.15 | 
| Bottom legs (Peak 1) | 9.18 | 89.54 | 
| Bottom legs (Peak 2) | 10.82 | 87.59 | 
| Top and bottom legs | 19.54 | 89.39 | 
Publisher’s Note: MDPI stays neutral with regard to jurisdictional claims in published maps and institutional affiliations.  | 
© 2022 by the authors. Licensee MDPI, Basel, Switzerland. This article is an open access article distributed under the terms and conditions of the Creative Commons Attribution (CC BY) license (https://creativecommons.org/licenses/by/4.0/).
Share and Cite
Robles-Cuenca, D.; Ramírez-Palma, M.R.; Ruiz-Díez, V.; Hernando-García, J.; Sánchez-Rojas, J.L. Miniature Autonomous Robot Based on Legged In-Plane Piezoelectric Resonators with Onboard Power and Control. Micromachines 2022, 13, 1815. https://doi.org/10.3390/mi13111815
Robles-Cuenca D, Ramírez-Palma MR, Ruiz-Díez V, Hernando-García J, Sánchez-Rojas JL. Miniature Autonomous Robot Based on Legged In-Plane Piezoelectric Resonators with Onboard Power and Control. Micromachines. 2022; 13(11):1815. https://doi.org/10.3390/mi13111815
Chicago/Turabian StyleRobles-Cuenca, David, Mario Rodolfo Ramírez-Palma, Víctor Ruiz-Díez, Jorge Hernando-García, and José Luis Sánchez-Rojas. 2022. "Miniature Autonomous Robot Based on Legged In-Plane Piezoelectric Resonators with Onboard Power and Control" Micromachines 13, no. 11: 1815. https://doi.org/10.3390/mi13111815
APA StyleRobles-Cuenca, D., Ramírez-Palma, M. R., Ruiz-Díez, V., Hernando-García, J., & Sánchez-Rojas, J. L. (2022). Miniature Autonomous Robot Based on Legged In-Plane Piezoelectric Resonators with Onboard Power and Control. Micromachines, 13(11), 1815. https://doi.org/10.3390/mi13111815
        
