Compact Elliptical UWB Antenna for Underwater Wireless Communications
Abstract
1. Introduction
2. Design and Characterization of the Proposed Antenna
3. Results and Discussion
3.1. Antenna’s Radiation Characteristics
3.2. Antenna Characteristics in Air and Water
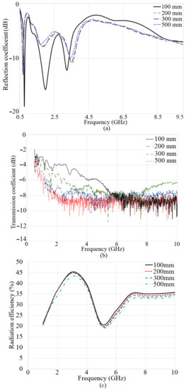
3.3. Antenna Characteristics in Different Distances and Positions
3.4. Communication Performance of the Antenna System
4. Conclusions
Author Contributions
Funding
Institutional Review Board Statement
Informed Consent Statement
Data Availability Statement
Acknowledgments
Conflicts of Interest
References
- Krstevski, D.; Mancheski, G. Costing Systems in the Telecommunications Industry. Econ. Dev. 2017, 3, 209–219. [Google Scholar]
- Don, M.L.; Arce, G.R. Antenna Radiation Pattern Compressive Sensing. In Proceedings of the MILCOM 2018–2018 IEEE Military Communications Conference (MILCOM), Los Angeles, CA, USA, 29–31 October 2018. [Google Scholar]
- Jagannath, M.; Amalendu, P.; Kartikeyan, M.V. Compact Antennas for High Data Rate Communication, 1st ed.; Springer Topics in Signal Processing: Berlin/Heidelberg, Germany, 2018; Volume 14. [Google Scholar] [CrossRef]
- Andújar, A.; Huynh, M.; Orlenius, C.; Picher, C.; Puente, C. Advances in Antenna Technology for Wireless Handheld Devices. Int. J. Antennas Propag. 2013, 2013. [Google Scholar] [CrossRef]
- Headrick, R. Growth of underwater communication technology in the U.S. Navy. IEEE Commun. Mag. 2009, 47, 80–82. [Google Scholar]
- Di Schino, A. Manufacturing and applications of stainless steels. Metals 2020, 10, 327. [Google Scholar] [CrossRef]
- Nagothu, K.; Joordens, M.; Jamshidi, M. Communications for underwater robotics research platforms. In Proceedings of the 2nd Annual IEEE Systems Conference, Montreal, QC, Canada, 7–10 April 2008. [Google Scholar]
- Yusof, M.A.B.; Kabir, S. An overview of sonar and electromagnetic waves for underwater communication. IETE Tech. Rev. 2012, 29, 307–317. [Google Scholar] [CrossRef]
- Sangdon, L.; Eun, S.; Jung, J.J.; Song, H. Application of Sensor Technology for the Efficient Positioning and Assembling of Ship Blocks. Int. J. Nav. Archit. Ocean Eng. 2010, 2, 171–176. [Google Scholar]
- Paik, B.; Cho, S.; Park, B.; Lee, D.; Bae, B. Development of real-time monitoring system using wired and wireless networks in full-scale ship. Int. J. Nav. Archit. Ocean Eng. 2010, 2, 132–138. [Google Scholar]
- Dargie, C.P. Fundamentals of Wireless Sensor Networks: Theory and Practice; John Wiley & Sons Ltd.: Hoboken, NJ, USA, 2010. [Google Scholar]
- Jiang, S.; Georgakopoulos, S. Electromagnetic wave propagation into fresh water. J. Electromagnet Anal. Appl. 2011, 3, 26–261. [Google Scholar] [CrossRef]
- The Underwater Propagation of Sound and its Applications. Available online: https://sites.dartmouth.edu/dujs/2012/03/11/the-underwater-propagation-of-sound-and-its-applications/ (accessed on 11 March 2021).
- Walree, P.A. Propagation and Scattering Effects in Underwater Acoustic Communication Channels. IEEE J. Ocean. Eng. 2013, 38, 614–631. [Google Scholar] [CrossRef]
- Hunt, A.K.; Niemeier, K.J. RF communications in underwater wireless sensor networks. In Proceedings of the IEEE International Conference Electronic/Information Technology (EIT), Normal, IL, USA, 20–22 May 2010. [Google Scholar]
- Stuntebeck, T.M.; Pompili, E.D. Wireless under-ground sensor networks using commodity terrestrial motes. In Proceedings of the 2nd IEEE Work Wireless Mesh Networks, Reston, VA, USA, 25–28 September 2006. [Google Scholar]
- Che, X.I.; Wells, M.R.; Kear, P.; Dickers, G.; Gong, X. A static multi-hop underwater wireless sensor network using RF electromagnetic communications. In Proceedings of the 29th IEEE International Conference Distribution Computer System, Montreal, QC, Canada, 22–26 June 2009. [Google Scholar]
- Karagianni, E.A. Electromagnetic Waves under Sea: Bow-Tie Antenna Design for Wi-Fi Underwater Communications. Prog. Electromagn. Res. M 2015, 41, 189–198. [Google Scholar] [CrossRef]
- Kumar, K.Y.; Singh, S. A modified bow tie antenna with U-shape slot for wireless applications. Int. J. Emerg. Technol. Adv. Eng. 2012, 2, 10. [Google Scholar]
- Liu, L.; Zhou, S.; Cui, J. Prospects and problems of wireless communication for underwater communication, Special issue: Underwater Sensor Networks architecture and protocol. Wirel. Commun. Mob. Comput. 2008, 8, 1–21. [Google Scholar]
- Chang, L.; Wang, H.; Zhang, Z.; Li, Y.; Feng, Z. A Dual-Environment Active RFID Tag Antenna Mountable on Metallic Objects. IEEE Antennas Wirel. Propag. Lett. 2016, 15, 1759–1762. [Google Scholar] [CrossRef]
- Kumar, A.; Yaduvanshi, R.S. Design and Analysis of Circularly Polarized Dielectric Resonator Antenna. Wirel. Pers. Commun. 2021, 59. [Google Scholar] [CrossRef]
- Firdaus, R.A.; Pramono, Y.H.; Yahya, E.; Gunawan, W.H. Design of a Compact Antenna with Stub using Stepped Impedance Resonator. In Proceedings of the 2015 International Conference on Radar, Antenna, Microwave, Electronics and Telecommunications (ICRAMET), Bandung, Indonesia, 5–7 October 2015. [Google Scholar]
- Sarma, A. Low Return Loss Slotted Rectangular Microstrip Patch Antenna at 2.4 GHz. In Proceedings of the IEEE SPIN Conference 2015, India, Noida, 19–20 February 2015. [Google Scholar]
- Sharma, A.K.; Mittal, A.; Reddy, B.V.R. Slot embedded dual-band patch antenna for WLAN and WiMAX applications. IET Electron. Lett. 2015, 51, 608–609. [Google Scholar] [CrossRef]
- Miquel, A.G. UWB Antenna Design for Underwater Communications. Ph.D. Thesis, Delf University of Technology, Delft, The Netherlands, 20 May 2009. [Google Scholar]
- Balanis, C.A. Antenna Theory: Analysis and Design, 3rd ed.; Wiley India Pvt. Limited: Hoboken, NJ, USA, 2009. [Google Scholar]
- Pozar, D.M. Microwave Engineering, 4th ed.; Wiley Global Education: Hoboken, NJ, USA, 2011. [Google Scholar]
- Ghazali, M.; Park, K.Y.; Byford, J.A.; Papapolymerou, J.; Chahal, P. 3D Printed Metalized-Polymer UWB High-Gain Vivaldi Antennas. In Proceedings of the 2016 IEEE MTT-S International Microwave Symposium (IMS), San Francisco, CA, USA, 22–27 May 2016. [Google Scholar]
- Shakib, M.N.; Moghavvemi, M.; Mahadi, W.N.L. Design of a Compact Planar Antenna for Ultra-wideband Operation. Aces J. 2015, 30, 2. [Google Scholar]
- Yahya, R.; Kamarudin, M.R.; Seman, N.; Iddi, H.U. Eye Shaped Fabric Antenna for UWB Application. In Proceedings of the 2013 IEEE Antennas and Propagation Society International Symposium (APSURSI), Orlando, FL, USA, 7–13 July 2013. [Google Scholar]
- Amit, S.V.; Pandey, M.K. Antenna Design for underwater Communication (Wide Band): A Review. Int. J. Control Theory Appl. 2017, 10, 33–41. [Google Scholar]
- Biancheri-Astier, M.; Diet, A.; Bihan, Y.; Grzeskowiak, M. UWB Vivaldi Antenna Array Lower Band Improvement for Ground Penetrating Radar Applications. Radioengineering 2019, 28, 92–98. [Google Scholar] [CrossRef]
- Saeidi, T.; Ismail, I.; Wen, W.P.; Alhawari, A.R.H.; Mohammadi, A. Ultra-Wideband Antennas for Wireless Communication Applications. Int. J. Antennas Propag. 2019, 4, 1–25. [Google Scholar] [CrossRef]
- Ryecroft, S.; Shaw, A.; Fergus, P.; Kot, P.; Hashim, K.; Moody, A.; Conway, L. A First Implementation of Underwater Communications in Raw Water Using the 433 MHz Frequency Combined with a Bowtie Antenna. Sensors 2019, 19, 1813. [Google Scholar] [CrossRef] [PubMed]
- Ganta, S.; Akhila, S. Underwater Antenna Design and Analysis at ISM Band Frequency. Int. J. Eng. Res. Technol. 2017, 6, 12. [Google Scholar]
- Soothar, P.; Wang, H.; Muneer, B.; Dayo, Z.A.; Chowdhry, B.S. A Broadband High Gain Tapered Slot Antenna for Underwater Communication in Microwave Band. Wirel. Pers. Commun. 2019, 116. [Google Scholar] [CrossRef]
- Wiesbeck, W.; Adamiuk, G.; Sturm, C. Basic Properties and Design Principles of UWB Antennas. Proc. IEEE 2009, 97, 2. [Google Scholar] [CrossRef]
- Saeidi, T.; Ismail, I.; Wen, W.P.; Alhawari, A.R.H. Near-field and far-field investigation of miniaturized UWB antenna for imaging of wood. AIP Adv. 2019, 9, 3. [Google Scholar] [CrossRef]
- Kumar, R.; Virendra; Saxena, A. Elliptical Micro-strip Patch Antenna for Circular Polarization Design Using HFSS. Int. Res. J. Eng. Technol. 2016, 3, 12. [Google Scholar]
- Tilanthe, P.; Sharma, P.C.; Bandopadhyay, T.K. A Compact UWB Antenna with Dual Band. Pier B 2011, 35, 389–405. [Google Scholar] [CrossRef][Green Version]
- Singh, K.J.; Mishra, R. Design of A Circular Microstrip Patch Antenna with Single Band Notch Characteristic for UWB Applications. In Proceedings of the 2017 IEEE International WIE Conference on Electrical and Computer Engineering (WIECON-ECE), WIT, Dehradun, India, 18–19 December 2017. [Google Scholar]
- Ahire, D.D.; Kharate, G.K. Defective Ground Corner Rounded Ultra-wideband Microstrip Patch Antenna for Bio-medical Applications. Ictact J. Microelectron. 2018, 3, 4. [Google Scholar]
- Prombutr, N.; Kirawanich, P.; Akkaraekthalin, P. Bandwidth Enhancement of UWB Microstrip Antenna with a Modified Ground Plane. Int. J. Microw. Sci. Technol. 2009, 2009, 7. [Google Scholar]
- Raj, K.; Rajoriya, S.; Singhal, P.K. Monopole Antenna with Modify Ground Plane. Int. J. Eng. Technol. 2012, 1, 266–270. [Google Scholar]
- Majeed, S.F.; Ismail, A.; Sali, A.; Raja Abdullah, R.S.A. High Performances Stack Microstrip Antenna for Under Water Communications at 2.4 GHz. In Proceedings of the 2016 IEEE Asia-Pacific Conference on Applied Electromagnetics (APACE), Kedah, Malaysia, 11–13 December 2016. [Google Scholar]
- Salman, K.N.; Ismail, A.; Raja Abdullah, R.S.; Saeidi, T. Coplanar UHF RFID tag antenna with U-shaped inductively coupled feed for metallic applications. PLoS ONE 2017, 12, e0178388. [Google Scholar] [CrossRef] [PubMed]
- Moeikham, P.; Mahatthanajatuphat, C.; Akkaraekthalin, P. A compact UWB antenna with a quarter-wavelength strip in a rectangular slot for 5.5 GHz band notch. Int. J. Antennas Propag. 2013, 2013. [Google Scholar] [CrossRef]
- Xu, D.; Wang, Z.; Wang, Y.; Wu, J. A high performance ultra-wideband low cost SMA-to-GCPW transition. IEICE Electron. Express 2016, 13, 20160290. [Google Scholar]
- Mitsuhashi, K.; Wang, K.; Anastasio, M.A. Investigation of the far-field approximation for modeling a transducer’s spatial impulse response in photoacoustic computed tomography. Photoacoustics 2013, 2, 21–32. [Google Scholar] [CrossRef] [PubMed]
- Lamensdorf, D.; Susman, L. Baseband-pulse-antenna techniques. IEEE Antennas Propag. Mag. 1994, 36, 20–30. [Google Scholar] [CrossRef]
- Hraga, H.I.; See, C.H.; Abd-Alhameed, R.A.; Jones, S.M.R.; Child, M.B.; Elfergani, I.T.E.; Excell, P.S. Design of a planar inverted F-L antenna (PIFLA) for lower-band UWB applications. In Proceedings of the Antennas and Propagation Conference (LAPC), Loughborough, UK, 8–9 November 2010; pp. 485–488. [Google Scholar]
- Medina, P.F.; Lucibello, A.; Granse, G.; Brinciotti, E.; Kasper, M.; Oladipo, A.O.; Feger, R.; Stelzer, A.; Tanbakuchi, H.; Stancliff, R.; et al. Transmission and reflection mode scanning microwave microscopy (SMM): Experiments, calibration, and simulations. In Proceedings of the 45th European Microwave Conference, Paris, France, 7–10 September 2015. [Google Scholar]
- Shannon, C.E. A mathematical theory of communication. Bell Syst. Tech. J. 1948, 27, 379–423. [Google Scholar] [CrossRef]
- Shannon, C.E. Communication in the presence of noise. Proc. Inst. Radio Eng. 1949, 37, 10–21. [Google Scholar] [CrossRef]
- Rioul, O.; Magossi, J.C. On Shannon’s Formula and Hartley’s Rule: Beyond the Mathematical Coincidence. Entropy 2014, 16, 4892–4910. [Google Scholar] [CrossRef]
- Shen, C.; Guo, Y.; Oubei, H.M.; Ng, T.K.; Liu, G.; Park, K.; Ho, K.; Alouini, M.; Ooi, B.S. 20-meter underwater wireless optical communication link with 1.5 Gbps data rate. Opt. Express 2016, 24, 22. [Google Scholar]


















| Parameters | Values (mm) | Parameters | Values (mm) |
|---|---|---|---|
| Ls | 45.00 | L2 | 5.90 |
| Ws | 38.00 | L3 | 3.40 |
| a | 12.00 | L4 | 6.50 |
| b | 13.00 | L5 | 4.62 |
| Lg | 29.00 | L6 | 3.48 |
| t1 | 1.43 | L7 | 12.30 |
| t2 | 1.00 | L8 | 8.60 |
| Lf | 16.00 | L9 | 27.50 |
| Wf | 2.35 | L10 | 20.00 |
| L1 | 17.00 | L11 | 7.10 |
Publisher’s Note: MDPI stays neutral with regard to jurisdictional claims in published maps and institutional affiliations. |
© 2021 by the authors. Licensee MDPI, Basel, Switzerland. This article is an open access article distributed under the terms and conditions of the Creative Commons Attribution (CC BY) license (https://creativecommons.org/licenses/by/4.0/).
Share and Cite
Alhawari, A.R.H.; Majeed, S.F.; Saeidi, T.; Mumtaz, S.; Alghamdi, H.; Hindi, A.T.; Almawgani, A.H.M.; Imran, M.A.; Abbasi, Q.H. Compact Elliptical UWB Antenna for Underwater Wireless Communications. Micromachines 2021, 12, 411. https://doi.org/10.3390/mi12040411
Alhawari ARH, Majeed SF, Saeidi T, Mumtaz S, Alghamdi H, Hindi AT, Almawgani AHM, Imran MA, Abbasi QH. Compact Elliptical UWB Antenna for Underwater Wireless Communications. Micromachines. 2021; 12(4):411. https://doi.org/10.3390/mi12040411
Chicago/Turabian StyleAlhawari, Adam R. H., Sama F. Majeed, Tale Saeidi, Sajid Mumtaz, Hisham Alghamdi, Ayman Taher Hindi, Abdulkarem H. M. Almawgani, Muhammad Ali Imran, and Qammer H. Abbasi. 2021. "Compact Elliptical UWB Antenna for Underwater Wireless Communications" Micromachines 12, no. 4: 411. https://doi.org/10.3390/mi12040411
APA StyleAlhawari, A. R. H., Majeed, S. F., Saeidi, T., Mumtaz, S., Alghamdi, H., Hindi, A. T., Almawgani, A. H. M., Imran, M. A., & Abbasi, Q. H. (2021). Compact Elliptical UWB Antenna for Underwater Wireless Communications. Micromachines, 12(4), 411. https://doi.org/10.3390/mi12040411

