Conductance Tunable Suspended Graphene Nanomesh by Helium Ion Beam Milling
Abstract
1. Introduction
2. Device Fabrication and Methods
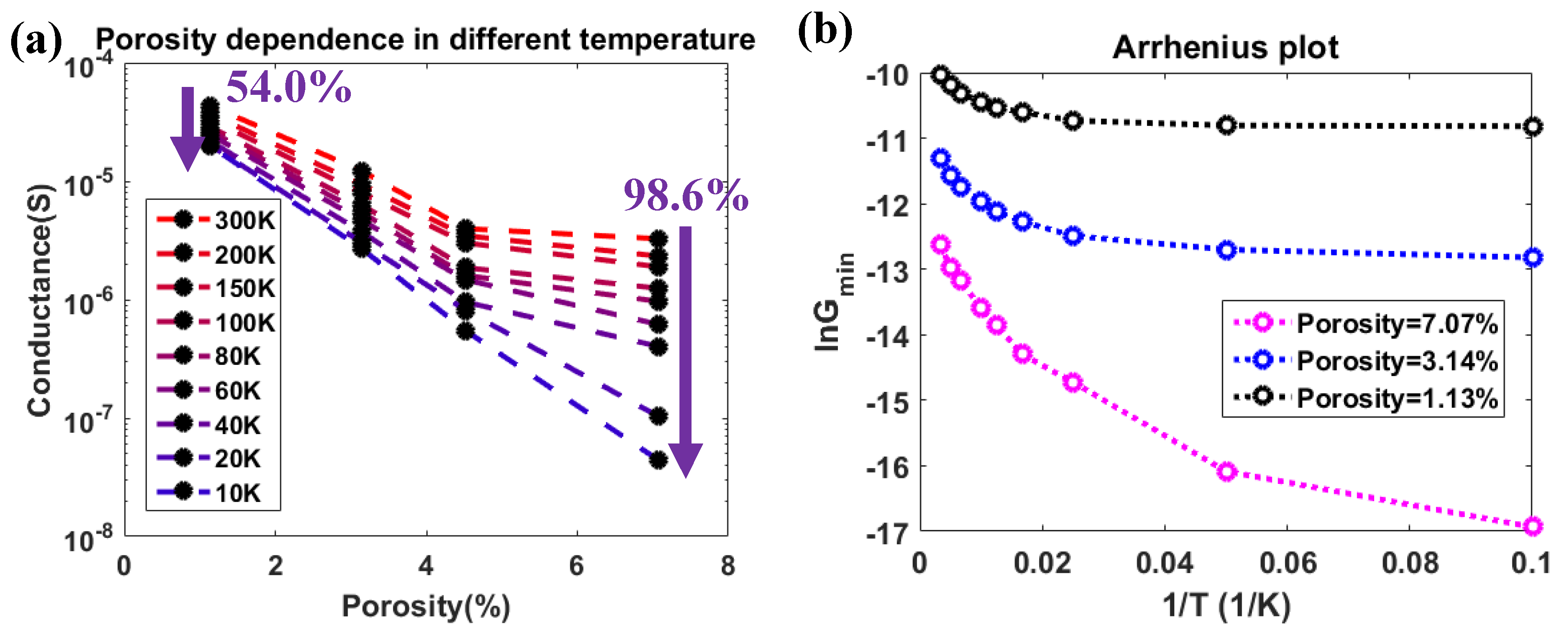
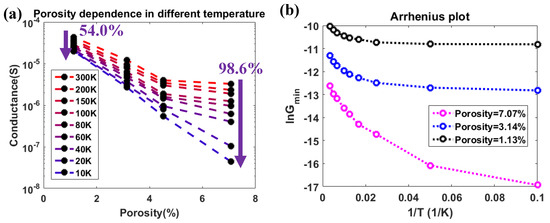
3. Measurement Results and Discussion
4. Conclusions
Author Contributions
Funding
Acknowledgments
Conflicts of Interest
References
- Novoselov, K.S.; Geim, A.K.; Morozov, S.V.; Jiang, D.; Katsnelson, M.I.; Grigorieva, I.V.; Dubonos, S.V.; Firsov, A.A. Two-dimensional gas of massless Dirac fermions in graphene. Nature 2005, 438, 197–200. [Google Scholar] [CrossRef] [PubMed]
- Zhang, Y.; Tan, Y.W.; Stormer, H.L.; Kim, P. Experimental observation of the quantum Hall effect and Berry’s phase in graphene. Nature 2005, 438, 201–204. [Google Scholar] [CrossRef] [PubMed]
- Novoselov, K.S.; Geim, A.K. The rise of graphene. Nat. Mater. 2007, 6, 183–191. [Google Scholar] [CrossRef]
- Lucot, D.; Gierak, J.; Ouerghi, A.; Bourhis, E.; Faini, G.; Mailly, D. Deposition and FIB direct patterning of nanowires and nanorings into suspended sheets of graphene. Microelectron. Eng. 2009, 86, 882–884. [Google Scholar] [CrossRef]
- Chaste, J.; Missaoui, A.; Huang, S.; Henck, H.; Aziza, Z.B.; Ferlazzo, L.; Naylor, C.; Balan, A.; Johnson, A.T.C.; Braive, R.; et al. Intrinsic Properties of Suspended MoS2 on SiO2/Si Pillar Arrays for Nanomechanics and Optics. ACS Nano 2018, 12, 3235–3242. [Google Scholar] [CrossRef]
- Meyer, J.C.; Geim, A.K.; Katsnelson, M.I.; Novoselov, K.S.; Booth, T.J.; Roth, S. The structure of suspended graphene sheets. Nature 2007, 446, 60–63. [Google Scholar] [CrossRef]
- Du, D.; Skachko, I.; Barker, A.; Andrei, E.Y. Approaching ballistic transport in suspended graphene. Nature Nanotech. 2008, 3, 491–495. [Google Scholar] [CrossRef]
- Sabio, J.; Seoánez, C.; Fratini, S.; Guinea, F.; Castro Neto, A.H.; Sols, F. Electrostatic interactions between graphene layers and their environment. Phys. Rev. 2008, 77, 195409. [Google Scholar] [CrossRef]
- Morozov, S.V.; Novoselov, K.S.; Katsnelson, M.I.; Schedin, F.; Elias, D.C.; Jaszczak, J.A.; Geim, A.K. Giant intrinsic carrier mobilities in graphene and its bilayer. Phys. Rev. Lett. 2008, 100, 016602. [Google Scholar] [CrossRef]
- Sun, J.; Wang, W.; Muruganathan, M.; Mizuta, H. Low pull-in voltage graphene electromechanical switch fabricated with a polymer sacrificial spacer. Appl. Phys. Lett. 2014, 105, 033103. [Google Scholar] [CrossRef]
- Taur, Y.; Ning, T.H. Fundamentals of Modern VLSI Devices; Cambridge University Press: Cambridge, UK, 2009. [Google Scholar]
- Cresti, A.; Nemec, N.; Biel, B.; Niebler, G.; Triozon, F.; Cuniberti, G.; Roche, S. Charge Transport in Disordered Graphene-Based Low Dimensional Materials. Nano Res. 2008, 1, 361–394. [Google Scholar] [CrossRef]
- Meric, I.; Han, M.Y.; Young, A.F.; Ozyilmaz, B.; Kim, P.; Shepard, K.L. Current saturation in zero-bandgap, topgated graphene field-effect transistors. Nat. Nanotechnol. 2008, 3, 654–659. [Google Scholar] [CrossRef]
- Schwierz, F. Graphene Transistors. Nat. Nanotechnol. 2010, 5, 487–496. [Google Scholar] [CrossRef] [PubMed]
- Nakada, K.; Fujita, M.; Dresselhaus, G.; Dresselhaus, M.S. Edge state in graphene ribbons: Nanometer size effect and edge shape dependence. Phys. Rev. B 1996, 54, 17954–17961. [Google Scholar] [CrossRef] [PubMed]
- Barone, V.; Hod, O.; Scuseria, G.E. Electronic structure and stability of semiconducting graphene nanoribbons. Nano Lett. 2006, 6, 2748–2754. [Google Scholar] [CrossRef] [PubMed]
- Han, M.Y.; Ozyilmaz, B.; Zhang, Y.; Kim, P. Energy band-gap engineering of graphene nanoribbons. Phys. Rev. Lett. 2007, 98, 206805. [Google Scholar] [CrossRef] [PubMed]
- Li, X.L.; Wang, X.R.; Zhang, L.; Lee, S.; Dai, H.J. Chemically derived, ultrasmooth graphene nanoribbon semiconductors. Science 2008, 319, 1229–1232. [Google Scholar] [CrossRef]
- Banhart, F.; Kotakoski, J.; Krasheninnikov, A.V. Structural Defects in Graphene. ACS Nano 2011, 5, 26–41. [Google Scholar] [CrossRef]
- Ugeda, M.M.; Brihuega, I.; Hiebel, F.; Mallet, P.; Veuillen, J.Y.; Gómez-Rodríguez, J.M.; Ynduráin, F. Electronic and Structural Characterization of Divacancies in Irradiated Graphene. Phys. Rev. B 2012, 85, 121402. [Google Scholar] [CrossRef]
- Nakaharai, S.; Iijima, T.; Ogawa, S.; Suzuki, S.; Li, S.-L.; Tsukagoshi, K.; Sato, S.; Yokoyama, N. Conduction Tuning of Graphene Based on Defect-Induced Localization. ACS Nano 2013, 7, 5694–5700. [Google Scholar] [CrossRef]
- Bai, J.; Duan, X.; Huang, Y. Rational fabrication of graphene nanoribbons using a nanowire etch mask. Nano Lett. 2009, 9, 2083–2087. [Google Scholar] [CrossRef] [PubMed]
- Jiao, L.Y.; Zhang, L.; Wang, X.R.; Diankov, G.; Dai, H.J. Narrow graphene nanoribbons from carbon nanotubes. Nature 2009, 458, 877–880. [Google Scholar] [CrossRef] [PubMed]
- Emmrich, D.; Beyer, A.; Nadzeyka, A.; Bauerdick, S.; Meyer, J.C.; Kotakoski, J.; Gölzhäuser, A. Nanopore Fabrication and Characterization by Helium Ion Microscopy. Appl. Phys. Lett. 2016, 108, 163103. [Google Scholar] [CrossRef]
- Bai, J.; Zhong, X.; Jiang, S.; Huang, Y.; Duan, X. Graphene nanomesh. Nat. Nanotechnol. 2010, 5, 190–194. [Google Scholar] [CrossRef]
- Liu, L.; Zhang, Y.; Wang, W.; Gu, C.; Bai, X.; Wang, E. Nanosphere Lithography for the Fabrication of Ultranarrow Graphene Nanoribbons and On-Chip Bandgap Tuning of Graphene. Adv. Mater. 2011, 23, 1246–1251. [Google Scholar] [CrossRef]
- Berrada, S.; Nguyen, V.H.; Querlioz, D.; Saint-Martin, J.; Alarcón, A.; Chassat, C.; Bournel, A.; Dollfus, P. Graphene nanomesh transistor with high on/off ratio and good saturation behavior. Appl. Phys. Lett. 2013, 103, 183509. [Google Scholar] [CrossRef]
- Ouyang, F.; Peng, S.; Liu, Z.; Liu, Z. Bandgap Opening in Graphene Antidot Lattices: The Missing Half. ACS Nano 2011, 5, 4023–4030. [Google Scholar] [CrossRef]
- Nguyen, V.H.; Nguyen, M.C.; Nguyen, H.-V.; Dollfus, P. Disorder effects on electronic bandgap and transport in graphene-nanomesh-based structures. J. Appl. Phys. 2013, 113, 013702. [Google Scholar] [CrossRef]
- Oswald, W.; Wu, Z. Energy gaps in graphene nanomeshes. Phys. Rev. B 2012, 85, 115431. [Google Scholar] [CrossRef]
- Liang, X.; Jung, Y.-S.; Wu, S.; Ismach, A.; Olynick, D.L.; Cabrini, S.; Bokor, J. Formation of Bandgap and Subbands in Graphene Nanomeshes with Sub-10 Nm Ribbon Width Fabricated via Nanoimprint Lithography. Nano Lett. 2010, 10, 2454–2460. [Google Scholar] [CrossRef]
- Schmidt, M.E.; Iwasaki, T.; Muruganathan, M.; Haque, M.; Ngoc, H.V.; Ogawa, S.; Mizuta, H. Structurally Controlled Large-Area 10 nm Pitch Graphene Nanomesh by Focused Helium Ion Beam Milling. ACS Appl. Mater. Interfaces 2018, 10, 10362–10368. [Google Scholar] [CrossRef] [PubMed]
- Paul, R.K.; Badhulika, S.; Saucedo, N.M.; Mulchandani, A. Graphene Nanomesh As Highly Sensitive Chemiresistor Gas Sensor. Anal. Chem. 2012, 84, 8171–8178. [Google Scholar] [CrossRef] [PubMed]
- Cagliani, A.; Mackenzie, D.M.A.; Tschammer, L.K.; Pizzocchero, F.; Almdal, K.; Bøggild, P. Large-Area Nanopatterned Graphene for Ultrasensitive Gas Sensing. Nano Res. 2014, 7, 743–754. [Google Scholar] [CrossRef]
- Feng, T.; Ruan, X. Ultra-Low Thermal Conductivity in Graphene Nanomesh. Carbon 2016, 101, 107–113. [Google Scholar] [CrossRef]
- Nobakht, A.Y.; Shin, S.; Kihm, K.D.; Marable, D.C.; Lee, W. Heat Flow Diversion in Supported Graphene Nanomesh. Carbon 2017, 123, 45–53. [Google Scholar] [CrossRef]
- Zhu, X.; Song, X.; Ma, X.; Ning, G. Enhanced Electrode Performance of Fe2O3 Nanoparticle-Decorated Nanomesh Graphene As Anodes for Lithium-Ion Batteries. ACS Appl. Mater. Interfaces 2014, 6, 7189–7197. [Google Scholar] [CrossRef]
- Pedersen, T.G.; Flindt, C.; Pedersen, J.; Mortensen, N.A.; Jauho, A.P.; Pedersen, K. Graphene Antidot Lattices: Designed Defects and Spin Qubits. Phys. Rev. Lett. 2008, 100, 136804. [Google Scholar] [CrossRef]
- Fischbein, M.D.; Drndića, M. Electron beam nanosculpting of suspended graphene sheets. Appl. Phys. Lett. 2008, 93, 113107. [Google Scholar] [CrossRef]
- Malola, S.; Häkkinen, H.; Koskinen, P. Structural, chemical, and dynamical trends in graphene grain boundaries. Phys. Rev. B 2010, 81, 165447. [Google Scholar] [CrossRef]
- Kim, K.; Lee, Z.; Regan, W.; Kisielowski, C.; Crommie, M.F.; Zettl, A. Grain Boundary Mapping in Polycrystalline Graphene. ACS Nano 2011, 5, 2142–2146. [Google Scholar] [CrossRef]
- Araujo, P.T.; Terrones, M.; Dresselhaus, M.S. Defects and impurities in graphene-like materials. Mater. Today 2012, 15, 98–109. [Google Scholar] [CrossRef]
- Brito, W.H.; Kagimura, R.; Miwa, R.H. B and N doping in graphene ruled by grain boundary defects. Phys. Rev. B 2012, 85, 035404. [Google Scholar] [CrossRef]
- Yarifarda, M.; Davoodi, J.; Rafii-Tabar, H. In-plane thermal conductivity of graphene nanomesh: A molecular dynamics study. Comput. Mater. Sci. 2016, 111, 247–251. [Google Scholar] [CrossRef]
- Boden, S.A.; Moktadir, Z.; Alkhalil, F.M.; Mizuta, H.; Rutt, H.N.; Bagnall, D.M. Nanofabrication with the Helium Ion Microscope. Proc. MRS 2012, 1412, mrsf11-1412-ff08-08. [Google Scholar] [CrossRef]
- Yiğen, S.; Tayari, V.; Island, J.O.; Porter, J.M.; Champagne, A.R. Electronic thermal conductivity measurements in intrinsic graphene. Phys. Rev. B 2013, 87, 241411(R). [Google Scholar] [CrossRef]
- Lu, Y.; Guo, J. Band gap of strained graphene nanoribbons. Nano Res. 2010, 3, 189–199. [Google Scholar] [CrossRef]
- Zhang, Y.J.; Heiranian, M.; Janicek, B.; Budrikis, Z.; Zapperi, S.; Huang, P.Y.; Johnson, H.T.; Aluru, N.R.; Lyding, J.W.; Mason, N. Strain Modulation of Graphene by Nanoscale Substrate Curvatures: A Molecular View. Nano Lett. 2018, 18, 2098–2104. [Google Scholar] [CrossRef]
- Reserbat-Plantey, A.; Kalita, D.; Han, Z.; Ferlazzo, L.; Autier-Laurent, S.; Komatsu, K.; Li, C.; Weil, R.; Ralko, A.; Marty, L.; et al. Strain Superlattices and Macroscale Suspension of Graphene Induced by Corrugated Substrates. Nano Lett. 2014, 14, 5044–5051. [Google Scholar] [CrossRef]
- Han, M.Y.; Brant, J.C.; Kim, P. Electron Transport in Disordered Graphene Nanoribbons. Phys. Rev. Lett. 2010, 104, 056801. [Google Scholar] [CrossRef]
- Gunlycke, D.; Areshkin, D.A.; White, C.T. Semiconducting graphene nanostrips with edge disorder. Appl. Phys. Lett. 2007, 90, 142104. [Google Scholar] [CrossRef]
- Son, Y.W.; Cohen, M.L.; Louie, S.G. Energy Gaps in Graphene Nanoribbons. Phys. Rev. Lett. 2006, 97, 216803. [Google Scholar] [CrossRef] [PubMed]












© 2020 by the authors. Licensee MDPI, Basel, Switzerland. This article is an open access article distributed under the terms and conditions of the Creative Commons Attribution (CC BY) license (http://creativecommons.org/licenses/by/4.0/).
Share and Cite
Liu, F.; Wang, Z.; Nakanao, S.; Ogawa, S.; Morita, Y.; Schmidt, M.; Haque, M.; Muruganathan, M.; Mizuta, H. Conductance Tunable Suspended Graphene Nanomesh by Helium Ion Beam Milling. Micromachines 2020, 11, 387. https://doi.org/10.3390/mi11040387
Liu F, Wang Z, Nakanao S, Ogawa S, Morita Y, Schmidt M, Haque M, Muruganathan M, Mizuta H. Conductance Tunable Suspended Graphene Nanomesh by Helium Ion Beam Milling. Micromachines. 2020; 11(4):387. https://doi.org/10.3390/mi11040387
Chicago/Turabian StyleLiu, Fayong, Zhongwang Wang, Soya Nakanao, Shinichi Ogawa, Yukinori Morita, Marek Schmidt, Mayeesha Haque, Manoharan Muruganathan, and Hiroshi Mizuta. 2020. "Conductance Tunable Suspended Graphene Nanomesh by Helium Ion Beam Milling" Micromachines 11, no. 4: 387. https://doi.org/10.3390/mi11040387
APA StyleLiu, F., Wang, Z., Nakanao, S., Ogawa, S., Morita, Y., Schmidt, M., Haque, M., Muruganathan, M., & Mizuta, H. (2020). Conductance Tunable Suspended Graphene Nanomesh by Helium Ion Beam Milling. Micromachines, 11(4), 387. https://doi.org/10.3390/mi11040387

