Analytical Solution of Time-Periodic Electroosmotic Flow through Cylindrical Microchannel with Non-Uniform Surface Potential
Abstract
1. Introduction
2. Mathematical Model
2.1. Governing Equations for Time-Periodic EOF in a Cylindrical Microchannel
2.2. Analysis of Time-Periodic EOF in a Cylindrical Microchannel
3. Results and Discussion
3.1. Velocity Profiles at Various Nondimensional Times
3.2. Effect of Nondimensional Frequency
3.3. Effect of Surface Potential
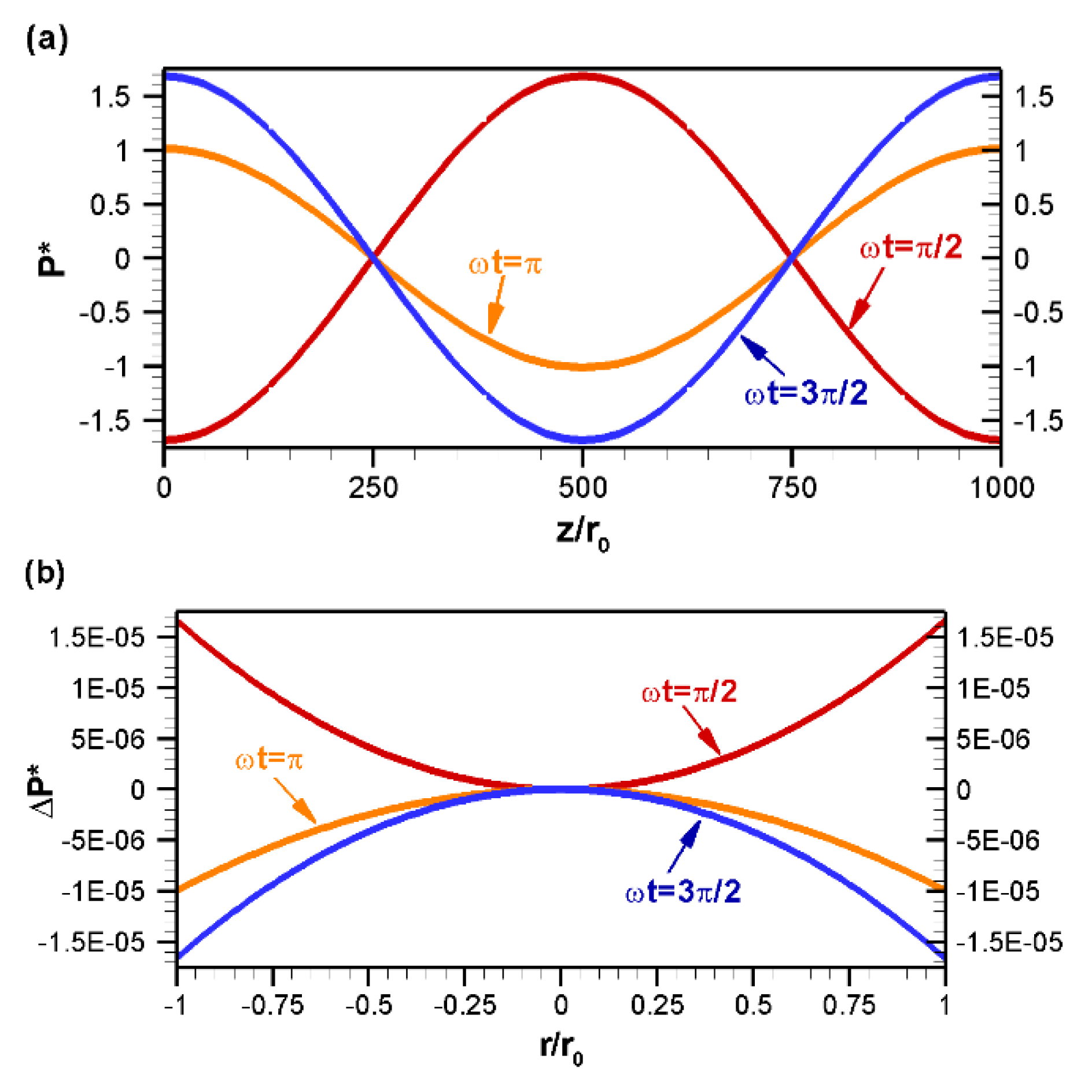
3.4. Pressure Distribution
4. Conclusions
Author Contributions
Funding
Acknowledgments
Conflicts of Interest
References
- Hossan, M.R.; Dutta, D.; Islam, N.; Dutta, P. Review: Electric field driven pumping in microfluidic device. Electrophoresis 2018, 39, 702–731. [Google Scholar] [CrossRef] [PubMed]
- Capretto, L.; Cheng, W.; Hill, M.; Zhang, X.L. Micromixing Within Microfluidic Devices. Microfluid. Technol. Appl. 2011, 304, 27–68. [Google Scholar]
- Kim, H.; Khan, A.I.; Dutta, P. Time-Periodic Electro-Osmotic Flow with Nonuniform Surface Charges. J. Fluids Eng. 2019, 141, 081201. [Google Scholar] [CrossRef]
- Biddiss, E.; Erickson, D.; Li, D.Q. Heterogeneous surface charge enhanced micromixing for electrokinetic flows. Anal. Chem. 2004, 76, 3208–3213. [Google Scholar] [CrossRef] [PubMed]
- Cai, G.Z.; Xue, L.; Zhang, H.L.; Lin, J.H. A Review on Micromixers. Micromachines 2017, 8, 274. [Google Scholar] [CrossRef] [PubMed]
- Nguyen, N.T.; Wu, Z.G. Micromixers—A review. J. Micromech. Microeng. 2005, 15, R1–R16. [Google Scholar] [CrossRef]
- Lee, C.Y.; Chang, C.L.; Wang, Y.N.; Fu, L.M. Microfluidic Mixing: A Review. Int. J. Mol. Sci. 2011, 12, 3263–3287. [Google Scholar] [CrossRef]
- Wang, Y.; Zhe, J.; Dutta, P.; Chung, B.T. A microfluidic mixer utilizing electrokinetic relay switching and asymmetric flow geometries. J. Fluids Eng. 2007, 129, 395–403. [Google Scholar] [CrossRef]
- Green, J.; Holdø, A.; Khan, A. A review of passive and active mixing systems in microfluidic devices. Int. J. Multiphys. 2007, 1, 1–32. [Google Scholar] [CrossRef]
- Dutta, P.; Beskok, A. Analytical solution of time periodic electroosmotic flows: Analogies to Stokes’ second problem. Anal. Chem. 2001, 73, 5097–5102. [Google Scholar] [CrossRef]
- Kang, Y.J.; Yang, C.; Huang, X.Y. Dynamic aspects of electroosmotic flow in a cylindrical microcapillary. Int. J. Eng. Sci. 2002, 40, 2203–2221. [Google Scholar] [CrossRef]
- Erickson, D.; Li, D.Q. Analysis of alternating current electroosmotic flows in a rectangular microchannel. Langmuir 2003, 19, 5421–5430. [Google Scholar] [CrossRef]
- Jian, Y.J.; Yang, L.G.; Liu, Q.S. Time periodic electro-osmotic flow through a microannulus. Phys. Fluids 2010, 22, 042001. [Google Scholar] [CrossRef]
- Oddy, M.H.; Santiago, J.G.; Mikkelsen, J.C. Electrokinetic instability micromixing. Anal. Chem. 2001, 73, 5822–5832. [Google Scholar] [CrossRef] [PubMed]
- Glasgow, I.; Batton, J.; Aubry, N. Electroosmotic mixing in microchannels. Lab Chip 2004, 4, 558–562. [Google Scholar] [CrossRef] [PubMed]
- Lim, C.Y.; Lam, Y.C.; Yang, C. Mixing enhancement in microfluidic channel with a constriction under periodic electro-osmotic flow. Biomicrofluidics 2010, 4, 014101. [Google Scholar] [CrossRef] [PubMed]
- Ajdari, A. Electro-osmosis on inhomogeneously charged surfaces. Phys. Rev. Lett. 1995, 75, 755. [Google Scholar] [CrossRef] [PubMed]
- Horiuchi, K.; Dutta, P.; Ivory, C.F. Electroosmosis with step changes in zeta potential in microchannels. AIChE J. 2007, 53, 2521–2533. [Google Scholar] [CrossRef]
- Erickson, D.; Li, D.Q. Influence of surface heterogeneity on electrokinetically driven microfluidic mixing. Langmuir 2002, 18, 1883–1892. [Google Scholar] [CrossRef]
- Qian, S.Z.; Bau, H.H. A chaotic electroosmotic stirrer. Anal. Chem. 2002, 74, 3616–3625. [Google Scholar] [CrossRef] [PubMed]
- Stroock, A.D.; Weck, M.; Chiu, D.T.; Huck, W.T.S.; Kenis, P.J.A.; Ismagilov, R.F.; Whitesides, G.M. Patterning electro-osmotic flow with patterned surface charge. Phys. Rev. Lett. 2000, 84, 3314–3317. [Google Scholar] [CrossRef] [PubMed]
- Norde, W.; Rouwendal, E. Streaming potential measurements as a tool to study protein adsorption-kinetics. J. Colloid Interface Sci. 1990, 139, 169–176. [Google Scholar] [CrossRef]
- Wei, C.W.; Young, T.H.; Cheng, J.Y. Electroosmotic mixing induced by non-uniform zeta potential and application for dna microarray in microfluidic channel. Biomed. Eng.-Appl. Basis Commun. 2005, 17, 281–283. [Google Scholar] [CrossRef]
- Lee, J.S.H.; Ren, C.L.; Li, D.Q. Effects of surface heterogeneity on flow circulation in electroosmotic flow in microchannels. Anal. Chim. Acta 2005, 530, 273–282. [Google Scholar] [CrossRef]
- Luo, W.J. Transient electroosmotic flow induced by AC electric field in micro-channel with patchwise surface heterogeneities. J. Colloid Interface Sci. 2006, 295, 551–561. [Google Scholar] [CrossRef] [PubMed]
- Tang, G.H.; Li, Z.; Wang, J.K.; He, Y.L.; Tao, W.Q. Electroosmotic flow and mixing in microchannels with the lattice Boltzmann method. J. Appl. Phys. 2006, 100, 094908. [Google Scholar] [CrossRef]
- Green, N.G.; Ramos, A.; Gonzalez, A.; Morgan, H.; Castellanos, A. Fluid flow induced by nonuniform ac electric fields in electrolytes on microelectrodes. III. Observation of streamlines and numerical simulation. Phys. Rev. E 2002, 66, 026305. [Google Scholar] [CrossRef] [PubMed]
- Potoček, B.; Gaš, B.; Kenndler, E.; Štědrý, M. Electroosmosis in capillary zone electrophoresis with non-uniform zeta potential. J. Chromatogr. A 1995, 709, 51–62. [Google Scholar] [CrossRef]
- Chang, C.C.; Yang, R.J. A particle tracking method for analyzing chaotic electroosmotic flow mixing in 3D microchannels with patterned charged surfaces. J. Micromech. Microeng. 2006, 16, 1453–1462. [Google Scholar] [CrossRef]
- Ajdari, A. Generation of transverse fluid currents and forces by an electric field: Electro-osmosis on charge-modulated and undulated surfaces. Phys. Rev. E 1996, 53, 4996. [Google Scholar] [CrossRef]
- Yang, R.J.; Wu, C.H.; Tseng, T.I.; Huang, S.B.; Lee, G.B. Enhancement of electrokinetically-driven flow mixing in microchannel with added side channels. Jpn. J. Appl. Phys. 2005, 44, 7634–7642. [Google Scholar] [CrossRef]
- Tomotika, S. On the instability of a cylindrical thread of a viscous liquid surrounded by another viscous fluid. Proc. R. Soc. Lond. A 1935, 150, 322–337. [Google Scholar]
- Brenn, G. Analytical Solutions for Transport. Processes: Fluid Mechanics, Heat and Mass Transfer; Springer: Berlin/Heidelberg, Germany, 2017; pp. 1–300. [Google Scholar]
- Moghadam, A.J. An exact solution of AC electro-kinetic-driven flow in a circular micro-channel. Eur. J. Mech. B Fluids 2012, 34, 91–96. [Google Scholar] [CrossRef]
- Herr, A.; Molho, J.; Santiago, J.; Mungal, M.; Kenny, T.; Garguilo, M. Electroosmotic capillary flow with nonuniform zeta potential. Anal. Chem. 2000, 72, 1053–1057. [Google Scholar] [CrossRef] [PubMed]







© 2019 by the authors. Licensee MDPI, Basel, Switzerland. This article is an open access article distributed under the terms and conditions of the Creative Commons Attribution (CC BY) license (http://creativecommons.org/licenses/by/4.0/).
Share and Cite
Khan, A.I.; Dutta, P. Analytical Solution of Time-Periodic Electroosmotic Flow through Cylindrical Microchannel with Non-Uniform Surface Potential. Micromachines 2019, 10, 498. https://doi.org/10.3390/mi10080498
Khan AI, Dutta P. Analytical Solution of Time-Periodic Electroosmotic Flow through Cylindrical Microchannel with Non-Uniform Surface Potential. Micromachines. 2019; 10(8):498. https://doi.org/10.3390/mi10080498
Chicago/Turabian StyleKhan, Aminul Islam, and Prashanta Dutta. 2019. "Analytical Solution of Time-Periodic Electroosmotic Flow through Cylindrical Microchannel with Non-Uniform Surface Potential" Micromachines 10, no. 8: 498. https://doi.org/10.3390/mi10080498
APA StyleKhan, A. I., & Dutta, P. (2019). Analytical Solution of Time-Periodic Electroosmotic Flow through Cylindrical Microchannel with Non-Uniform Surface Potential. Micromachines, 10(8), 498. https://doi.org/10.3390/mi10080498

