Toxicity Assessment of (4Z)-Lachnophyllum and (4Z,8Z)-Matricaria Lactones: Implications for Environmental Safety of Bioherbicides
Abstract
1. Introduction
2. Results
2.1. Stability of MAT and LAC
2.2. Acute Toxicity of MAT and LAC
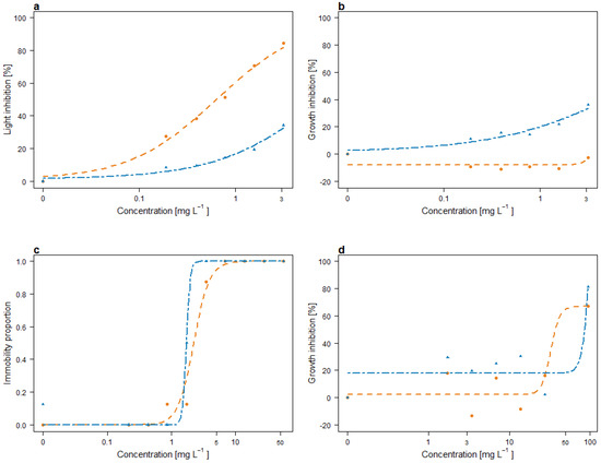
2.2.1. Light Inhibition of A. fischeri
2.2.2. Growth Inhibition of R. subcapitata
2.2.3. Immobility of D. magna
2.2.4. Mortality of C. elegans
2.2.5. Germination and Growth of L. sativum
2.3. Acute Toxicity of Commonly Used Herbicides
3. Discussion
4. Conclusions
5. Materials and Methods
5.1. General Experimental Procedures
5.2. Isolation and Identification of MAT and LAC
5.3. Stability Studies
5.4. Ecotoxicity Analysis
5.4.1. Luminescence Bacteria Inhibition
5.4.2. Algal Growth Inhibition
5.4.3. Crustacean Immobility
5.4.4. Nematodes Survival
5.4.5. Plant Growth and Germination
5.5. Data Analysis
Supplementary Materials
Author Contributions
Funding
Institutional Review Board Statement
Informed Consent Statement
Data Availability Statement
Acknowledgments
Conflicts of Interest
References
- Oerke, E.-C. Crop losses to pests. J. Agric. Sci. 2006, 144, 31–43. [Google Scholar]
- Chauhan, B.S. Grand challenges in weed management. Front. Agron. 2020, 1, 3. [Google Scholar]
- Macias, F.A.; Garcia-Diaz, M.D.; Perez-de-Luque, A.; Rubiales, D.; Galindo, J.C. New chemical clues for broomrape-sunflower host− parasite interactions: Synthesis of guaianestrigolactones. J. Agric. Food Chem. 2009, 57, 5853–5864. [Google Scholar]
- Dhanapal, G.; Struik, P.; Udayakumar, M.; Timmermans, P. Management of broomrape (Orobanche spp.)—A review. J. Agron. Crop Sci. 1996, 176, 335–359. [Google Scholar]
- Cardoso, C.; Ruyter-Spira, C.; Bouwmeester, H.J. Strigolactones and root infestation by plant-parasitic Striga, Orobanche and Phelipanche spp. Plant Sci. 2011, 180, 414–420. [Google Scholar] [CrossRef]
- Soto-Cruz, F.J.; Zorrilla, J.G.; Rial, C.; Varela, R.M.; Molinillo, J.M.; Igartuburu, J.M.; Macías, F.A. Allelopathic activity of strigolactones on the germination of parasitic plants and arbuscular mycorrhizal fungi growth. Agronomy 2021, 11, 2174. [Google Scholar] [CrossRef]
- Rubiales, D.; Fernández-Aparicio, M. Innovations in parasitic weeds management in legume crops. A review. Agron. Sustain. Dev. 2012, 32, 433–449. [Google Scholar]
- Fernández-Aparicio, M.; Delavault, P.; Timko, M.P. Management of infection by parasitic weeds: A review. Plants 2020, 9, 1184. [Google Scholar] [CrossRef]
- Harrington, K.C.; Ghanizadeh, H. Comparing herbicide resistance in New Zealand and Australia. N. Z. J. Agric. Res. 2024, 67, 4–16. [Google Scholar]
- Nath, C.P.; Singh, R.G.; Choudhary, V.K.; Datta, D.; Nandan, R.; Singh, S.S. Challenges and alternatives of herbicide-based weed management. Agronomy 2024, 14, 126. [Google Scholar] [CrossRef]
- Bamal, D.; Duhan, A.; Pal, A.; Beniwal, R.K.; Kumawat, P.; Dhanda, S.; Goyat, A.; Hooda, V.S.; Yadav, R. Herbicide risks to non-target species and the environment: A review. Environ. Chem. Lett. 2024, 22, 2977–3032. [Google Scholar]
- Sauerborn, J.; Müller-Stöver, D.; Hershenhorn, J. The role of biological control in managing parasitic weeds. Crop Prot. 2007, 26, 246–254. [Google Scholar]
- Joel, D.M.; Chaudhuri, S.K.; Plakhine, D.; Ziadna, H.; Steffens, J.C. Dehydrocostus lactone is exuded from sunflower roots and stimulates germination of the root parasite Orobanche cumana. Phytochemistry 2011, 72, 624–634. [Google Scholar]
- Okazawa, A.; Noda, S.; Mimura, Y.; Fujino, K.; Wakabayashi, T.; Ohta, D.; Sugimoto, Y.; Sonoda, M. The structure-activity relationship of aryloxyacetylthioureas for the inhibition of Orobanche minor radicle elongation. J. Pestic. Sci. 2023, 48, 149–155. [Google Scholar] [CrossRef] [PubMed]
- Zorrilla, J.G.; Innangi, M.; Cala Peralta, A.; Soriano, G.; Russo, M.T.; Masi, M.; Fernández-Aparicio, M.; Cimmino, A. Sesquiterpene Lactones Isolated from Centaurea cineraria L. subsp. cineraria Inhibit the Radicle Growth of Broomrape Weeds. Plants 2024, 13, 178. [Google Scholar] [CrossRef] [PubMed]
- Ge, Y.; Chen, X.; Khan, S.N.; Jia, S.; Chen, G. Synthesis and germination activity study of novel strigolactam/strigolactone analogues. Tetrahedron Lett. 2023, 115, 154315. [Google Scholar] [CrossRef]
- Qu, R.Y.; He, B.; Yang, J.F.; Lin, H.Y.; Yang, W.C.; Wu, Q.Y.; Li, Q.X.; Yang, G.F. Where are the new herbicides? Pest Manag. Sci. 2021, 77, 2620–2625. [Google Scholar]
- Macías, F.A.; Molinillo, J.M.; Galindo, J.C.; Varela, R.M.; Simonet, A.M.; Castellano, D. The use of allelopathic studies in the search for natural herbicides. J. Crop Prod. 2001, 4, 237–255. [Google Scholar]
- Soriano, G.; Siciliano, A.; Fernández-Aparicio, M.; Cala Peralta, A.; Masi, M.; Moreno-Robles, A.; Guida, M.; Cimmino, A. Iridoid glycosides isolated from Bellardia trixago identified as inhibitors of Orobanche cumana radicle growth. Toxins 2022, 14, 559. [Google Scholar] [CrossRef]
- Mordi, R.C. Mechanism of beta-carotene degradation. Biochem. J. 1993, 292 Pt 1, 310–312. [Google Scholar] [CrossRef]
- Metwally, M.A.; Dawidar, A.A.M. Constituents of Conyza aegyptiaca L. Pharmazie 1984, 39, 575–576. [Google Scholar]
- Hrutfiord, B.F.; Hatheway, W.H.; Smith, D.B. Essential oil of Conyza canadensis. Phytochemistry 1988, 27, 1858–1860. [Google Scholar]
- Barbosa, L.C.; Paula, V.F.; Azevedo, A.S.; Silva, E.A.; Nascimento, E.A. Essential oil composition from some plant parts of Conyza bonariensis (L.) Cronquist. Flavour Fragr. J. 2005, 20, 39–41. [Google Scholar]
- Csupor-Löffler, B.; Hajdú, Z.; Zupkó, I.; Molnár, J.; Forgo, P.; Vasas, A.; Kele, Z.; Hohmann, J. Antiproliferative constituents of the roots of Conyza canadensis. Planta Med. 2011, 77, 1183–1188. [Google Scholar] [PubMed]
- Queiroz, S.C.; Cantrell, C.L.; Duke, S.O.; Wedge, D.E.; Nandula, V.K.; Moraes, R.M.; Cerdeira, A.L. Bioassay-directed isolation and identification of phytotoxic and fungitoxic acetylenes from Conyza canadensis. J. Agric. Food Chem. 2012, 60, 5893–5898. [Google Scholar] [PubMed]
- Sorensen, J.; Sorensen, N. Studies related to naturally occurring acetylene compounds. XXXV. Investigation of Erigeron spp. from the Australian mountains and Tasmania. Aust. J. Chem. 1969, 22, 751–760. [Google Scholar]
- Vidari, G.; Abdo, S.; Gilardoni, G.; Ciapessoni, A.; Gusmeroli, M.; Zanoni, G. Fungitoxic metabolites from Erigeron apiculatus. Fitoterapia 2006, 77, 318–320. [Google Scholar] [PubMed]
- Nazaruk, J.; Kalemba, D. Chemical composition of the essential oils from the roots of Erigeron acris L. and Erigeron annuus (L.) Pers. Molecules 2009, 14, 2458–2465. [Google Scholar] [CrossRef]
- Lam, J. Polyacetylenes of Solidago virgaurea: Their seasonal variation and NMR long-range spin coupling constants. Phytochemistry 1971, 10, 647–653. [Google Scholar]
- Peralta, A.C.; Soriano, G.; Zorrilla, J.G.; Masi, M.; Cimmino, A.; Fernández-Aparicio, M. Characterization of Conyza bonariensis allelochemicals against broomrape weeds. Molecules 2022, 27, 7421. [Google Scholar] [CrossRef]
- Terao, D.; Queiroz, S.C.N.; Maia, A.D.H.N. Bioactive compound isolated from Conyza canadensis combined with physical treatments for the control of green mould in Orange. J. Phytopathol. 2022, 170, 158–166. [Google Scholar] [CrossRef]
- Fernández-Aparicio, M.; Soriano, G.; Masi, M.; Carretero, P.; Vilariño-Rodríguez, S.; Cimmino, A. (4Z)-Lachnophyllum lactone, an acetylenic furanone from Conyza bonariensis, identified for the first time with allelopathic activity against Cuscuta campestris. Agriculture 2022, 12, 790. [Google Scholar] [CrossRef]
- Soriano, G.; Arnodo, D.; Masi, M.; Fernández-Aparicio, M.; Landa, B.B.; Olivares-García, C.; Cimmino, A.; Prandi, C. (4Z)-Lachnophyllum Lactone, a Metabolite with Phytotoxic and Antifungal Activity against Pests Affecting Mediterranean Agriculture: A New Versatile and Easy Scalable Parallel Synthesis. J. Agric. Food Chem. 2024, 72, 4737–4746. [Google Scholar] [CrossRef]
- Gopi, R.; Ayyappan, S.; Chandrasehar, G.; Krishna, V.; Goparaju, A. Effect of potassium dichromate on the survival and reproduction of Daphnia magna. Bull. Environ. Pharmacol. Life Sci. 2012, 1, 89–94. [Google Scholar]
- Sudha, V.; Baskar, K.; Tamilselvan, C. Immobilization effect of Potassium dichromate on Daphnia magna (Straus). Eur. J. Environ. Ecol. 2016, 3, 38–41. [Google Scholar]
- Kikuchi, M.; Syudo, A.; Hukumori, M.; Naito, C.; Sawai, J. Changes in aquatic toxicity of potassium dichromate as a function of water quality parameters. Chemosphere 2017, 170, 113–117. [Google Scholar] [CrossRef]
- Santos, M.; Vicensotti, J.; Monteiro, R.T.R. Sensitivity of four test organisms (Chironomus xanthus, Daphnia magna, Hydra attenuata and Pseudokirchneriella subcapitata) to NaCl: An alternative reference toxicant. J. Braz. Soc. Ecotoxicol. 2007, 2, 229–236. [Google Scholar] [CrossRef]
- Wimmerova, L.; Solcova, O.; Spacilova, M.; Cehajic, N.; Krejcikova, S.; Marsik, P. Toxicity Assessment and Treatment Options of Diclofenac and Triclosan Dissolved in Water. Toxics 2022, 10, 422. [Google Scholar] [CrossRef]
- Cuhra, M.; Traavik, T.; Bøhn, T. Clone-and age-dependent toxicity of a glyphosate commercial formulation and its active ingredient in Daphnia magna. Ecotoxicology 2013, 22, 251–262. [Google Scholar] [CrossRef]
- Sihtmäe, M.; Blinova, I.; Künnis-Beres, K.; Kanarbik, L.; Heinlaan, M.; Kahru, A. Ecotoxicological effects of different glyphosate formulations. Appl. Soil Ecol. 2013, 72, 215–224. [Google Scholar] [CrossRef]
- Hansen, L.R.; Roslev, P. Behavioral responses of juvenile Daphnia magna after exposure to glyphosate and glyphosate-copper complexes. Aquat. Toxicol. 2016, 179, 36–43. [Google Scholar] [CrossRef] [PubMed]
- Gustinasari, K.; Sługocki, Ł.; Czerniawski, R.; Pandebesie, E.S.; Hermana, J. Acute toxicity and morphology alterations of glyphosate-based herbicides to Daphnia magna and Cyclops vicinus. Toxicol. Res. 2021, 37, 197–207. [Google Scholar] [CrossRef] [PubMed]
- Raipulis, J.; Toma, M.; Balode, M. Toxicity and genotoxicity testing of roundup. Proc. Latv. Acad. Sci. Sect. B Nat. Exact Appl. Sci. 2009, 63, 29–32. [Google Scholar] [CrossRef]
- Sarigül, Z.; Bekcan, S. Acute toxicity of the herbicide glyphosate on Daphnia magna. J. Agric. Sci. 2009, 15, 204–208. [Google Scholar]
- Demetrio, P.M.; Bonetto, C.; Ronco, A.E. The effect of cypermethrin, chlorpyrifos, and glyphosate active ingredients and formulations on Daphnia magna (Straus). Bull. Environ. Contam. Toxicol. 2014, 93, 268–273. [Google Scholar] [CrossRef]
- Reno, U.; Doyle, S.R.; Momo, F.R.; Regaldo, L.; Gagneten, A.M. Effects of glyphosate formulations on the population dynamics of two freshwater cladoceran species. Ecotoxicology 2018, 27, 784–793. [Google Scholar] [CrossRef]
- Ma, J.; Wang, S.; Wang, P.; Ma, L.; Chen, X.; Xu, R. Toxicity assessment of 40 herbicides to the green alga Raphidocelis subcapitata. Ecotoxicol. Environ. Saf. 2006, 63, 456–462. [Google Scholar] [CrossRef]
- Vurm, R.; Tajnaiová, L.; Kofroňová, J. The Influence of Herbicides to Marine Organisms Aliivibrio fischeri and Artemia salina. Toxics 2021, 9, 275. [Google Scholar] [CrossRef]
- Köck, M.; Farré, M.; Martínez, E.; Gajda-Schrantz, K.; Ginebreda, A.; Navarro, A.; de Alda, M.L.; Barceló, D. Integrated ecotoxicological and chemical approach for the assessment of pesticide pollution in the Ebro River delta (Spain). J. Hydrol. 2010, 383, 73–82. [Google Scholar] [CrossRef]
- Tóth, G.; Háhn, J.; Kriszt, B.; Szoboszlay, S. Acute and chronic toxicity of herbicides and their mixtures measured by Aliivibrio fischeri ecotoxicological assay. Ecotoxicol. Environ. Saf. 2019, 185, 109702. [Google Scholar] [CrossRef]
- Osano, O.; Admiraal, W.; Klamer, H.J.C.; Pastor, D.; Bleeker, E.A.J. Comparative toxic and genotoxic effects of chloroacetanilides, formamidines and their degradation products on Vibrio fischeri and Chironomus riparius. Environ. Pollut. 2002, 119, 195–202. [Google Scholar] [CrossRef]
- Liu, Z.; Zhang, P.; Yang, J.; Gao, Y.; Fan, J.; Fan, R. Effects of Imidacloprid Applied Alone or in Combination with Organosilicone Surfactants on Biological Traits and Predatory Feeding of Chrysoperla nipponensis (Neuroptera: Chrysopidae). J. Econ. Entomol. 2021, 114, 2069–2075. [Google Scholar] [CrossRef]
- Annett, R.; Habibi, H.R.; Hontela, A. Impact of glyphosate and glyphosate-based herbicides on the freshwater environment. J. Appl. Toxicol. 2014, 34, 458–479. [Google Scholar] [CrossRef] [PubMed]
- Authority, E.F.S.; Agency, E.C. Technical and scientific assistance on the internal review under Regulation (EC) No 1367/2006 of Commission Implementing Regulation (EU) 2023/2660 renewing the approval of the active substance glyphosate in accordance with Regulation (EC) No 1107/2009. EFSA Support. Publ. 2024, 21, en-8737. [Google Scholar]
- Mesnage, R.; Defarge, N.; Spiroux de Vendômois, J.; Séralini, G.E. Potential toxic effects of glyphosate and its commercial formulations below regulatory limits. Food Chem. Toxicol. 2015, 84, 133–153. [Google Scholar] [CrossRef] [PubMed]
- Gupta, P.K. Chapter 44—Toxicity of Herbicides. In Veterinary Toxicology, 3rd ed.; Gupta, R.C., Ed.; Academic Press: Cambridge, MA, USA, 2018; pp. 553–567. [Google Scholar]
- Heydens, W.F.; Lamb, I.C.; Wilson, A.G.E. Chapter 82—Chloracetanilides. In Hayes’ Handbook of Pesticide Toxicology, 3rd ed.; Krieger, R., Ed.; Academic Press: Cambridge, MA, USA, 2010; pp. 1753–1769. [Google Scholar]
- ISO 8692:2012; Water Quality—Fresh Water Algal Growth Inhibition Test with Unicellular Green Algae. ISO: Geneva, Switzerland, 2012.
- ISO 11348-3; Water Quality—Determination of the Inhibitory Effect of Water Samples on the Light Emission of Vibrio fischeri (Luminescent Bacteria Test)—Part 3: Method Using Freeze-Dried Bacteria. International Organization for Standardization: London, UK, 2007.
- ISO 6341; Water Quality—Determination of the Inhibition of the Mobility of Daphnia magna Straus (Cladocera, Crustacea)—Acute Toxicity Test. ISO: Geneva, Switzerland, 2012.
- ASTM E2172-01(2014); Standard Guide for Conducting Laboratory Soil Toxicity Tests with the Nematode Caenorhabditis elegans. ASTM: West Conshohocken, PA, USA, 2022. [CrossRef]
- ISO 29200; Soil Quality—Assessment of Genotoxic Effects on Higher Plants—Vicia faba Micronucleus Test. ISO: Geneva, Switzerland, 2013.
- Team, P. RStudio: Integrated Development Environment for R [Computer Software]; Posit Software, PBC: Boston, MA, USA, 2024. [Google Scholar]
- Ritz, C.; Baty, F.; Streibig, J.C.; Gerhard, D. Dose-response analysis using R. PLoS ONE 2015, 10, e0146021. [Google Scholar] [CrossRef]
- Persoone, G.; Marsalek, B.; Blinova, I.; Törökne, A.; Zarina, D.; Manusadzianas, L.; Nalecz-Jawecki, G.; Tofan, L.; Stepanova, N.; Tothova, L. A practical and user-friendly toxicity classification system with microbiotests for natural waters and wastewaters. Environ. Toxicol. Int. J. 2003, 18, 395–402. [Google Scholar]
- Secretariat, U.E. Globally Harmonized System of Classification and Labelling of Chemicals (GHS); United Nations: New York, NY, USA, 2023. [Google Scholar]


| Compound | Exposition Time (Day) | Degraded Compound (%) |
|---|---|---|
| LAC | 1 | 8.50 |
| 2 | 19.23 | |
| 3 | 26.58 | |
| 6 | 28.24 | |
| 16 | 66.84 | |
| MAT | 1 | 89.74 |
| 2 | 90.06 | |
| 3 | 90.38 | |
| 6 | 94.55 | |
| 16 | 98.07 |
| Compound | Organism | Exposure Time | EC10 [mg L−1] | EC50 [mg L−1] | Test Score | Weight Score [%] |
|---|---|---|---|---|---|---|
| MAT | A. fischeri | 30 min | 0.063 (0.013) | 0.642 (0.052) | 2 | |
| R. subcapitata | 72 h | 3.417 (0.620) * | 4.52 (3.113) * | 0 | 46.66 | |
| D. magna | 24 h | 3.11 (1.894) | 3.56 (0.673) | NC | ||
| 48 h | 1.21 (0.294) | 2.23 (0.349) | 3 | |||
| C. elegans | 24 h | NC | NC | 0 | ||
| L. Sativum | 72 h | 38.48 (23.979) | 82.30 (15.421) | 2 | ||
| LAC | A. fischeri | 30 min | 0.524 (0.212) | 8.07 (2.052) * | 1 | |
| R. subcapitata | 72 h | 0.304 (0.125) | 9.88 (2.509) * | 1 | ||
| D. magna | 24 h | 1.67 (0.313) | 2.44 (0.322) | NC | 53.33 | |
| 48 h | 1.49 (1.063) | 1.72 (0.079) | 3 | |||
| C. elegans | 24 h | NC | NC | 0 | ||
| L. Sativum | 72 h | 70.87 (195.32) | 85.89 (75.69) | 3 |
| Chemical Group | Active Ingredient | Organism | Exposure Time | Endpoint | EC50 [mg L−1] | Hazard Ranking | Reference |
|---|---|---|---|---|---|---|---|
| Organophosphorus | Glyphosate | D. magna | 48 h | EC50 | 7.15 ° | *** | [39] |
| 48 h | EC50 | 4.30 °° | *** | [39] | |||
| 48 h | EC50 | 4.20 | *** | [40] | |||
| 48 h | EC50 | 8.90 | *** | [41] | |||
| 48 h | LC50 | 21.34 | ** | [42] | |||
| 48 h | LC50 | 190.0 | * | [43] | |||
| 48 h | LC50 | 0.012 | **** | [44] | |||
| 48 h | LC50 | 9.34 | *** | [45] | |||
| 48 h | LC50 | 11.68 | ** | [46] | |||
| R. subcapitata | 96 h | EC50 | 5.55 | *** | [47] | ||
| A. fischeri | 30 min | EC50 | 2.93 | *** | [48] | ||
| Chloroacetamide | Metolachlor | D. magna | 48 h | EC50 | 23.50 | ** | [49] |
| R. subcapitata | 96 h | EC50 | 5.51 | *** | [47] | ||
| 72 h | EC50 | 0.055 | **** | [49] | |||
| A. fischeri | 30 min | EC50 | 265.00 | * | [50] | ||
| 30 min | EC50 | 17.00 | ** | [49] | |||
| 30 min | EC50 | 214.85 | * | [51] | |||
| Anilide | Propanil | D. magna | 48 h | EC50 | 2.00 | *** | [49] |
| R. subcapitata | 72 h | EC50 | 0.05 | **** | [49] | ||
| Triazine | Atrazine | D. magna | 48 h | EC50 | 0.05 | **** | [49] |
| R. subcapitata | 72 h | EC50 | 0.02 | **** | [49] | ||
| A. fischeri | 30 min | EC50 | 39.80 | ** | [49] | ||
| MAT | A. fischeri | 30 min | EC50 | 0.642 | **** | This study | |
| R. subcapitata | 72 h | EC50 | 4.520 | *** | |||
| D. magna | 48 h | EC50 | 2.239 | *** | |||
| LAC | A. fischeri | 30 min | EC50 | 8.078 | *** | ||
| R. subcapitata | 72 h | EC50 | 9.880 | *** | |||
| D. magna | 48 h | EC50 | 1.728 | *** |
Disclaimer/Publisher’s Note: The statements, opinions and data contained in all publications are solely those of the individual author(s) and contributor(s) and not of MDPI and/or the editor(s). MDPI and/or the editor(s) disclaim responsibility for any injury to people or property resulting from any ideas, methods, instructions or products referred to in the content. |
© 2025 by the authors. Licensee MDPI, Basel, Switzerland. This article is an open access article distributed under the terms and conditions of the Creative Commons Attribution (CC BY) license (https://creativecommons.org/licenses/by/4.0/).
Share and Cite
Padilla Suarez, E.G.; Zorrilla, J.G.; Spampinato, M.; Pannullo, T.; Esposito, F.; Fernández-Aparicio, M.; Libralato, G.; Siciliano, A.; Masi, M.; Cimmino, A. Toxicity Assessment of (4Z)-Lachnophyllum and (4Z,8Z)-Matricaria Lactones: Implications for Environmental Safety of Bioherbicides. Toxins 2025, 17, 169. https://doi.org/10.3390/toxins17040169
Padilla Suarez EG, Zorrilla JG, Spampinato M, Pannullo T, Esposito F, Fernández-Aparicio M, Libralato G, Siciliano A, Masi M, Cimmino A. Toxicity Assessment of (4Z)-Lachnophyllum and (4Z,8Z)-Matricaria Lactones: Implications for Environmental Safety of Bioherbicides. Toxins. 2025; 17(4):169. https://doi.org/10.3390/toxins17040169
Chicago/Turabian StylePadilla Suarez, Edith Guadalupe, Jesús G. Zorrilla, Marisa Spampinato, Teresa Pannullo, Francesca Esposito, Mónica Fernández-Aparicio, Giovanni Libralato, Antonietta Siciliano, Marco Masi, and Alessio Cimmino. 2025. "Toxicity Assessment of (4Z)-Lachnophyllum and (4Z,8Z)-Matricaria Lactones: Implications for Environmental Safety of Bioherbicides" Toxins 17, no. 4: 169. https://doi.org/10.3390/toxins17040169
APA StylePadilla Suarez, E. G., Zorrilla, J. G., Spampinato, M., Pannullo, T., Esposito, F., Fernández-Aparicio, M., Libralato, G., Siciliano, A., Masi, M., & Cimmino, A. (2025). Toxicity Assessment of (4Z)-Lachnophyllum and (4Z,8Z)-Matricaria Lactones: Implications for Environmental Safety of Bioherbicides. Toxins, 17(4), 169. https://doi.org/10.3390/toxins17040169

