Machine Learning for Predicting Zearalenone Contamination Levels in Pet Food
Abstract
1. Introduction
2. Results
2.1. ZEN Analysis in Pet Food
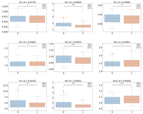
2.2. E-Nose Data Analysis
2.3. Classification Model
2.4. Feature Importance
2.5. Model Validation
3. Discussion
4. Conclusions
5. Methods
5.1. Sample Preparation and E-Nose Analysis
5.2. ZEN Analysis
5.3. Data Processing
5.4. Model Construction and Evaluation
Author Contributions
Funding
Institutional Review Board Statement
Informed Consent Statement
Data Availability Statement
Conflicts of Interest
References
- Rodriguez, K.E.; Herzog, H.; Gee, N.R. Variability in human-animal interaction research. Front. Vet. Sci. 2021, 7, 619600. [Google Scholar] [CrossRef] [PubMed]
- Levine, G.N.; Allen, K.; Braun, L.T.; Christian, H.E.; Friedmann, E.; Taubert, K.A.; Thomas, S.A.; Wells, D.L.; Lange, R.A. Pet ownership and cardiovascular risk: A scientific statement from the American Heart Association. Circulation 2013, 127, 2353–2363. [Google Scholar] [CrossRef] [PubMed]
- Endenburg, N.; van Lith, H.A. The influence of animals on the development of children. Vet. J. 2011, 190, 208–214. [Google Scholar] [CrossRef]
- Marroquín-Cardona, A.; Johnson, N.; Phillips, T.; Hayes, A. Mycotoxins in a changing global environment—A review. Food Chem. Toxicol. 2014, 69, 220–230. [Google Scholar] [CrossRef] [PubMed]
- Cano, P.; Puel, O.; Oswald, I.P. Mycotoxins: Fungal secondary metabolites with toxic properties. In Fungi; CRC Press: Boca Raton, FL, USA, 2018; pp. 318–371. [Google Scholar]
- Boermans, H.J.; Leung, M.C. Mycotoxins and the pet food industry: Toxicological evidence and risk assessment. Int. J. Food Microbiol. 2007, 119, 95–102. [Google Scholar] [CrossRef]
- Witaszak, N.; Waśkiewicz, A.; Bocianowski, J.; Stępień, Ł. Contamination of pet food with mycobiota and Fusarium mycotoxins—Focus on dogs and cats. Toxins 2020, 12, 130. [Google Scholar] [CrossRef] [PubMed]
- Rumbeiha, W.; Morrison, J. A review of class I and class II pet food recalls involving chemical contaminants from 1996 to 2008. J. Med. Toxicol. 2011, 7, 60–66. [Google Scholar] [CrossRef] [PubMed]
- Omotayo, O.P.; Omotayo, A.O.; Mwanza, M.; Babalola, O.O. Prevalence of mycotoxins and their consequences on human health. Toxicol. Res. 2019, 35, 1–7. [Google Scholar] [CrossRef]
- Castaldo, L.; Graziani, G.; Gaspari, A.; Izzo, L.; Tolosa, J.; Rodríguez-Carrasco, Y.; Ritieni, A. Target analysis and retrospective screening of multiple mycotoxins in pet food using UHPLC-Q-Orbitrap HRMS. Toxins 2019, 11, 434. [Google Scholar] [CrossRef]
- Shao, M.; Li, L.; Gu, Z.; Yao, M.; Xu, D.; Fan, W.; Yan, L.; Song, S. Mycotoxins in commercial dry pet food in China. Food Addit. Contam. Part B 2018, 11, 237–245. [Google Scholar] [CrossRef]
- Rai, A.; Das, M.; Tripathi, A. Occurrence and toxicity of a fusarium mycotoxin, zearalenone. Crit. Rev. Food Sci. Nutr. 2020, 60, 2710–2729. [Google Scholar] [CrossRef] [PubMed]
- Yu, J.; Pedroso, I.R. Mycotoxins in cereal-based products and their impacts on the health of humans, livestock animals and pets. Toxins 2023, 15, 480. [Google Scholar] [CrossRef] [PubMed]
- Gajęcka, M.; Zielonka, Ł.; Dąbrowski, M.; Mróz, M.; Gajęcki, M. The effect of low doses of zearalenone and its metabolites on progesterone and 17β-estradiol concentrations in peripheral blood and body weights of pre-pubertal female Beagle dogs. Toxicon 2013, 76, 260–269. [Google Scholar] [CrossRef] [PubMed]
- Yan, Z.; Wang, L.; Wang, J.; Tan, Y.; Yu, D.; Chang, X.; Fan, Y.; Zhao, D.; Wang, C.; De Boevre, M. A QuEChERS-based liquid chromatography-tandem mass spectrometry method for the simultaneous determination of nine zearalenone-like mycotoxins in pigs. Toxins 2018, 10, 129. [Google Scholar] [CrossRef] [PubMed]
- Wang, Y.; Wang, X.; Zhang, H.; Fotina, H.; Jiang, J. Preparation and characterization of monoclonal antibodies with high affinity and broad class specificity against zearalenone and its major metabolites. Toxins 2021, 13, 383. [Google Scholar] [CrossRef]
- Camardo Leggieri, M.; Mazzoni, M.; Bertuzzi, T.; Moschini, M.; Prandini, A.; Battilani, P. Electronic nose for the rapid detection of deoxynivalenol in wheat using classification and regression trees. Toxins 2022, 14, 617. [Google Scholar] [CrossRef] [PubMed]
- Leggieri, M.C.; Mazzoni, M.; Fodil, S.; Moschini, M.; Bertuzzi, T.; Prandini, A.; Battilani, P. An electronic nose supported by an artificial neural network for the rapid detection of aflatoxin B1 and fumonisins in maize. Food Control 2021, 123, 107722. [Google Scholar] [CrossRef]
- Agriopoulou, S.; Stamatelopoulou, E.; Varzakas, T. Advances in analysis and detection of major mycotoxins in foods. Foods 2020, 9, 518. [Google Scholar] [CrossRef] [PubMed]
- Maragos, C.; Busman, M. Rapid and advanced tools for mycotoxin analysis: A review. Food Addit. Contam. 2010, 27, 688–700. [Google Scholar] [CrossRef]
- Pinotti, L.; Ottoboni, M.; Giromini, C.; Dell’Orto, V.; Cheli, F. Mycotoxin contamination in the EU feed supply chain: A focus on cereal byproducts. Toxins 2016, 8, 45. [Google Scholar] [CrossRef] [PubMed]
- Cheli, F.; Ottoboni, M.; Fumagalli, F.; Mazzoleni, S.; Ferrari, L.; Pinotti, L. E-nose technology for mycotoxin detection in feed: Ready for a real context in field application or still an emerging technology? Toxins 2023, 15, 146. [Google Scholar] [CrossRef] [PubMed]
- Zheng, W.; Jin, M. The effects of class imbalance and training data size on classifier learning: An empirical study. SN Comput. Sci. 2020, 1, 71. [Google Scholar] [CrossRef]
- Al-Hagery, M.A. Extracting hidden patterns from dates’ product data using a machine learning technique. IAES Int. J. Artif. Intell. 2019, 8, 205. [Google Scholar] [CrossRef]
- Rocha, W.F.D.C.; Prado, C.B.D.; Blonder, N. Comparison of chemometric problems in food analysis using non-linear methods. Molecules 2020, 25, 3025. [Google Scholar] [CrossRef] [PubMed]
- Bi, Y.; Guan, J.; Bell, D. The combination of multiple classifiers using an evidential reasoning approach. Artif. Intell. 2008, 172, 1731–1751. [Google Scholar] [CrossRef]
- Mujahid, M.; Kına, E.; Rustam, F.; Villar, M.G.; Alvarado, E.S.; De La Torre Diez, I.; Ashraf, I. Data oversampling and imbalanced datasets: An investigation of performance for machine learning and feature engineering. J. Big Data 2024, 11, 87. [Google Scholar] [CrossRef]
- Zhang, D.; Gao, H.; Zhou, J.; Wang, J.; Guan, S.; An, G.; Dong, Z.; Fu, J.; Yang, L. Simultaneous determination of 18 kinds of mycotoxins in feed ingredients and feed products by ultra performance liquid chromatography-tandem mass spectrometry. J. Food Saf. Qual. 2018, 9, 10. [Google Scholar]
- Hao, J.; Ho, T.K. Machine learning made easy: A review of scikit-learn package in python programming language. J. Educ. Behav. Stat. 2019, 44, 348–361. [Google Scholar] [CrossRef]




| No. of Samples | No. of Samples > 250 μg/kg | No. of Samples ≤ 250 μg/kg | Min (μg/kg) | Max (μg/kg) | Median (μg/kg) | Mean (μg/kg) | SD (μg/kg) |
|---|---|---|---|---|---|---|---|
| 142 | 54 | 88 | 0 | 4133 | 177.5 | 392.1 | 626.8 |
| R1 | R2 | R3 | R4 | R5 | R6 | R7 | R8 | R9 | R10 | ZEN | |
|---|---|---|---|---|---|---|---|---|---|---|---|
| Count | 142 | 142 | 142 | 142 | 142 | 142 | 142 | 142 | 142 | 142 | 142 |
| Mean | 0.963 | 1.746 | 0.991 | 1.016 | 0.995 | 1.517 | 4.530 | 1.384 | 2.576 | 1.040 | 392.1 |
| Std | 0.020 | 0.424 | 0.010 | 0.034 | 0.007 | 0.279 | 1.904 | 0.161 | 0.761 | 0.076 | 626.8 |
| Min | 0.906 | 0.730 | 0.965 | 0.935 | 0.977 | 1.069 | 1.812 | 1.109 | 1.559 | 0.871 | 0.000 |
| 50% | 0.967 | 1.674 | 0.992 | 1.016 | 0.995 | 1.455 | 4.180 | 1.339 | 2.401 | 1.037 | 177.5 |
| Max | 1.005 | 3.921 | 1.010 | 1.101 | 1.009 | 2.362 | 10.917 | 1.841 | 5.526 | 1.245 | 4133.0 |
| Models | F1 Score | Recall | Precision | Accuracy |
|---|---|---|---|---|
| LR | 54.6% | 47.6% | 72.5% | 77.1% |
| SVM | 30.7% | 19.5% | 80.0% | 74.0% |
| KNN | 72.5% | 78.6% | 70.2% | 82.1% |
| RF | 75.6% | 74.0% | 79.2% | 84.8% |
| XGB | 74.5% | 74.4% | 75.9% | 84.3% |
| MLP | 79.8% | 83.8% | 77.9% | 86.6% |
| Model Ensemble | 84.6% | 79.7% | 92.3% | 90.1% |
Disclaimer/Publisher’s Note: The statements, opinions and data contained in all publications are solely those of the individual author(s) and contributor(s) and not of MDPI and/or the editor(s). MDPI and/or the editor(s) disclaim responsibility for any injury to people or property resulting from any ideas, methods, instructions or products referred to in the content. |
© 2024 by the authors. Licensee MDPI, Basel, Switzerland. This article is an open access article distributed under the terms and conditions of the Creative Commons Attribution (CC BY) license (https://creativecommons.org/licenses/by/4.0/).
Share and Cite
Wang, Z.; An, W.; Wang, J.; Tao, H.; Wang, X.; Han, B.; Wang, J. Machine Learning for Predicting Zearalenone Contamination Levels in Pet Food. Toxins 2024, 16, 553. https://doi.org/10.3390/toxins16120553
Wang Z, An W, Wang J, Tao H, Wang X, Han B, Wang J. Machine Learning for Predicting Zearalenone Contamination Levels in Pet Food. Toxins. 2024; 16(12):553. https://doi.org/10.3390/toxins16120553
Chicago/Turabian StyleWang, Zhenlong, Wei An, Jiaxue Wang, Hui Tao, Xiumin Wang, Bing Han, and Jinquan Wang. 2024. "Machine Learning for Predicting Zearalenone Contamination Levels in Pet Food" Toxins 16, no. 12: 553. https://doi.org/10.3390/toxins16120553
APA StyleWang, Z., An, W., Wang, J., Tao, H., Wang, X., Han, B., & Wang, J. (2024). Machine Learning for Predicting Zearalenone Contamination Levels in Pet Food. Toxins, 16(12), 553. https://doi.org/10.3390/toxins16120553

