Sustained Efficacy, Safety and High Adherence Rate of Onabotulinum Toxin Type A in Chronic Migraine Patients: A Multicentric Prospective Real-Life Study
Abstract
1. Introduction
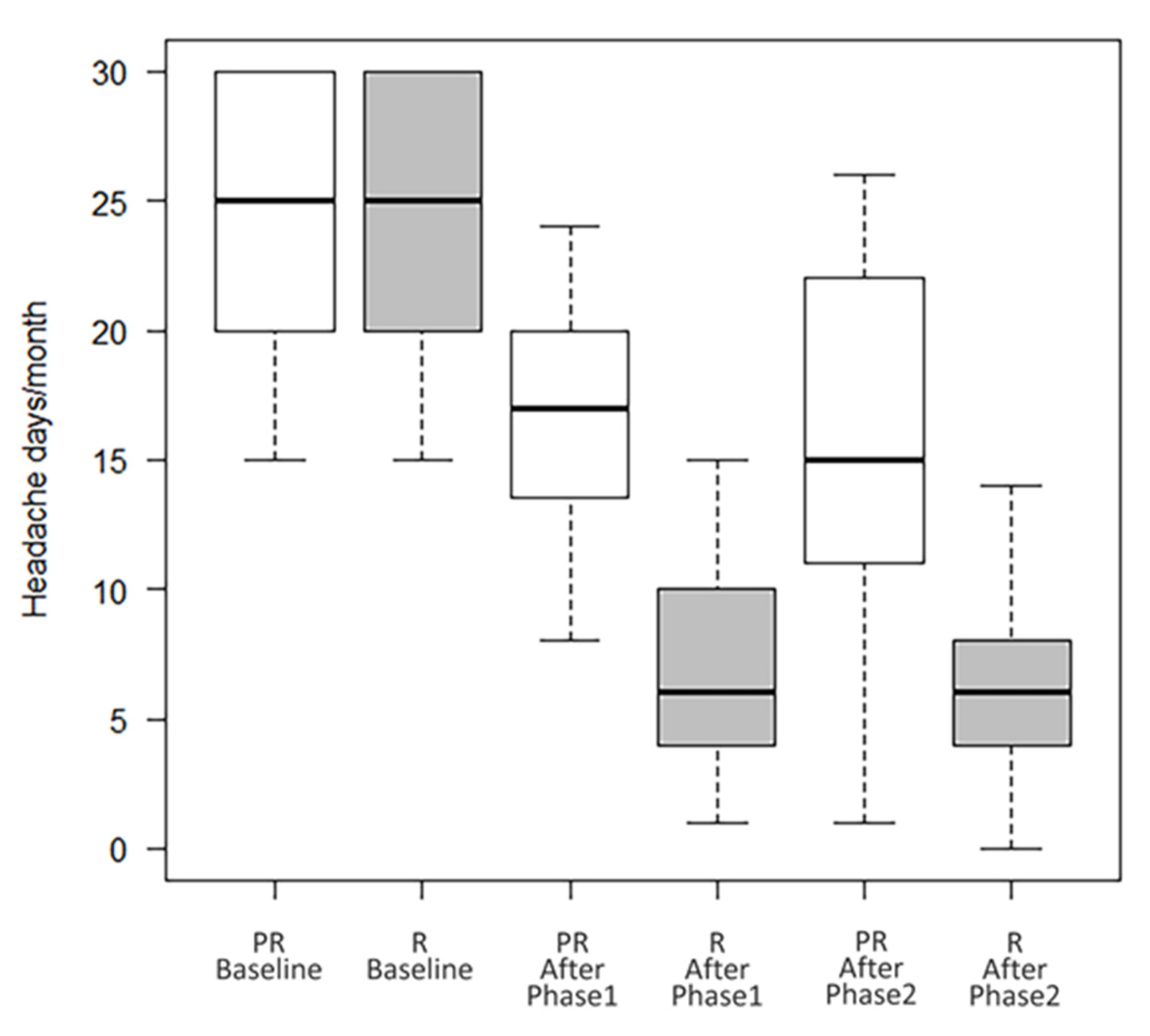
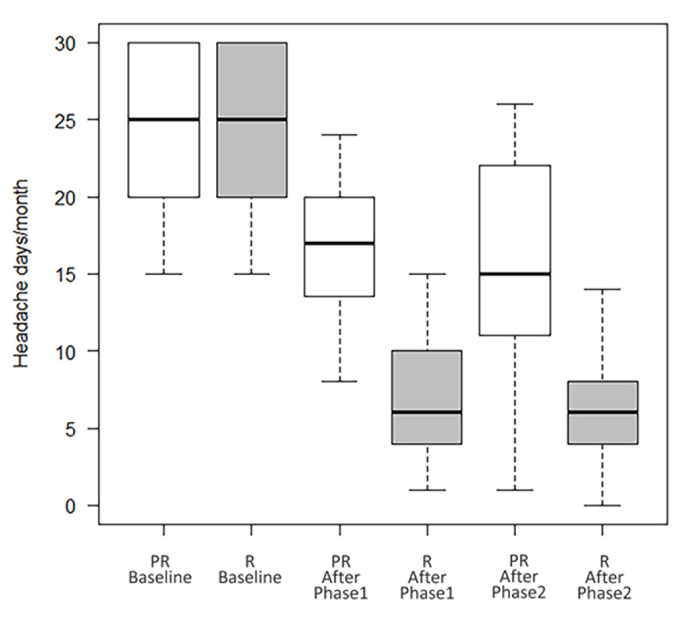
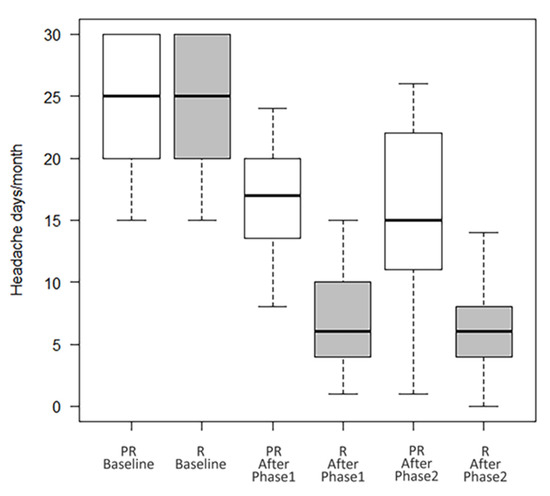
2. Results
3. Discussion
4. Conclusions
5. Materials and Methods
Statistical Analysis
Author Contributions
Funding
Institutional Review Board Statement
Informed Consent Statement
Data Availability Statement
Conflicts of Interest
References
- Headache Classification Committee of the International Headache Society (IHS). The international classification of headache disorders, 3rd edition. Cephalalgia 2018, 38, 1–211. [Google Scholar] [CrossRef] [PubMed]
- Adams, A.M.; Serrano, D.; Buse, D.C.; Reed, M.L.; Marske, V.; Fanning, K.M.; Lipton, R.B. The impact of chronic migraine: The Chronic Migraine Epidemiology and Outcomes (CaMEO) Study methods and baseline results. Cephalalgia 2015, 35, 563–578. [Google Scholar] [CrossRef] [PubMed]
- Diener, H.C.; Holle, D.; Solbach, K.; Gaul, C. Medication-overuse headache: Risk factors, pathophysiology and management. Nat. Rev. Neurol. 2016, 12, 575–583. [Google Scholar] [CrossRef] [PubMed]
- Lipton, R.B.; Silberstein, S.D. Episodic and chronic migraine headache: Breaking down barriers to optimal treatment and prevention. Headache 2015, 55 (Suppl. 2), 103–122; [Google Scholar] [CrossRef] [PubMed]
- Evers, S.; Jensen, R. Treatment of medication overuse headache-guideline of the EFNS headache panel. Eur. J. Neurol. 2011, 18, 1115–1121. [Google Scholar] [CrossRef]
- Schwedt, T.J. Chronic migraine. BMJ 2014, 348, g1416. [Google Scholar] [CrossRef]
- Hepp, Z.; Dodick, D.W.; Varon, S.F.; Chia, J.; Matthew, N.; Gillard, P.; Hansen, R.N.; Devine, E.B. Persistence and switching patterns of oral migraine prophylactic medications among patients with chronic migraine: A retrospective claims analysis. Cephalalgia 2017, 37, 470–485. [Google Scholar] [CrossRef]
- Spindler, B.L.; Ryan, M. Medications Approved for Preventing Migraine Headaches. Am. J. Med. 2020, 133, 664–667. [Google Scholar] [CrossRef]
- Aurora, S.K.; Dodick, D.W.; Turkel, C.C.; DeGryse, R.E.; Silberstein, S.D.; Lipton, R.B.; Diener, H.C.; Brin, M.F.; PREEMPT 1 Chronic Migraine Study Group. Onabotulinumtoxin a for treatment of chronic migraine: Results from the double-blind, randomized placebo-controlled phase of the PREEMPT 1 trial. Cephalalgia 2010, 30, 793–803. [Google Scholar] [CrossRef]
- Diener, H.C.; Dodick, D.W.; Aurora, S.K.; Turkel, C.C.; DeGryse, R.E.; Lipton, R.B.; Silberstein, S.D.; Brin, M.F.; PREEMPT 2 Chronic Migraine Study Group. Onabotulinumtoxin a for treatment of chronic migraine: Results from the double-blind, randomized, placebo-controlled phase of the PREEMPT 2 trial. Cephalalgia 2010, 30, 804–814. [Google Scholar] [CrossRef]
- Herd, C.P.; Tomlinson, C.L.; Rick, C.; Scotton, W.J.; Edwards, J.; Ives, N.; Clarke, C.E.; Sinclair, A. Botulinum toxins for the prevention of migraine in adults. Cochrane Database Syst. Rev. 2018, 25, CD011616. [Google Scholar] [CrossRef]
- Blumenfeld, A.M.; Stark, R.J.; Freeman, M.C.; Orejudos, A.; Manack Adams, A. Long-term study of the efficacy and safety of Onabotulinumtoxin a for the prevention of chronic migraine: COMPEL study. J. Headache Pain 2018, 19, 13. [Google Scholar] [CrossRef]
- Ahmed, F.; Gaul, C.; García-Moncó, J.C.; Sommer, K.; Martelletti, P.; REPOSE Principal Investigators. An open-label prospective study of the real-life use of onabotulinumtoxinA for the treatment of chronic migraine: The REPOSE study. J. Headache Pain 2019, 20, 26. [Google Scholar] [CrossRef]
- Andreou, A.P.; Trimboli, M.; Al-Kaisy, A.; Murphy, M.; Palmisani, S.; Fenech, C.; Smith, T.; Lambru, G. Prospective real-world analysis of OnabotulinumtoxinA in chronic migraine post-National Institute for Health and Care Excellence UK technology appraisal. Eur. J. Neurol. 2018, 25, 1069-e83. [Google Scholar] [CrossRef]
- Schiano di Cola, F.; Pari, E.; Caratozzolo, S.; Mancinelli, C.; Liberini, P.; Rao, R.; Padovani, A. OnabotulinumtoxinA in chronic migraine: Long-term efficacy in a prophylactic medication free cohort. Neurol. Sci. 2018, 39 (Suppl. 1), 159–160. [Google Scholar] [CrossRef]
- Vikelis, M.; Argyriou, A.A.; Dermitzakis, E.; Spingos, K.C.; Makris, N.; Kararizou, E. Sustained onabotulinumtoxinA therapeutic benefits in patients with chronic migraine over 3 years of treatment. J. Headache Pain. 2018, 19, 87. [Google Scholar] [CrossRef]
- De Tommaso, M.; Brighina, F.; Delussi, M. Effects of Botulinum Toxin A on Allodynia in Chronic Migraine: An Observational Open-Label Two-Year Study. Eur. Neurol. 2019, 81, 37–46. [Google Scholar] [CrossRef]
- Santoro, A.; Copetti, M.; Miscio, A.M.; Leone, M.A.; Fontana, A. Chronic migraine long-term regular treatment with onabotulinumtoxinA: A retrospective real-life observational study up to 4 years of therapy. Neurol. Sci. 2020, 41, 1809–1820. [Google Scholar] [CrossRef]
- Argyriou, A.A.; Dermitzakis, E.V.; Vlachos, G.S.; Vikelis, M. Long-term adherence, safety, and efficacy of repeated onabotulinumtoxinA over five years in chronic migraine prophylaxis. Acta Neurol. Scand. 2022, 145, 676–683. [Google Scholar] [CrossRef]
- Boudreau, G.; Finkelstein, I.; Graboski, C.; Ong, M.; Christie, S.; Sommer, K.; Bhogal, M.; Davidovic, G.; Becker, W.J. OnabotulinumtoxinA Improves Quality of Life in Chronic Migraine: The PREDICT Study. Can. J. Neurol. Sci. 2022, 49, 540–552. [Google Scholar] [CrossRef]
- Hepp, Z.; Bloudek, L.M.; Varon, S.F. Systematic review of migraine prophylaxis adherence and persistence. J. Manag. Care Pharm. 2014, 20, 22–33. [Google Scholar] [CrossRef] [PubMed]
- Loder, E.W.; Rizzoli, P. Tolerance and loss of beneficial effect during migraine prophylaxis: Clinical considerations. Headache 2011, 51, 1336–1345. [Google Scholar] [CrossRef] [PubMed]
- Hepp, Z.; Dodick, D.W.; Varon, S.F.; Gillard, P.; Hansen, R.N.; Devine, E.B. Adherence to oral migraine-preventive medications among patients with chronic migraine. Cephalalgia 2015, 35, 478–488. [Google Scholar] [CrossRef] [PubMed]
- Mathew, N.T.; Jaffri, S.F.A. A Double-Blind Comparison of OnabotulinumtoxinA (BOTOX) and Topiramate (TOPAMAX) for the Prophylactic Treatment of Chronic Migraine: A Pilot Study. Headache 2009, 49, 1466–1478. [Google Scholar] [CrossRef] [PubMed]
- Urits, I.; Jones, M.R.; Gress, K.; Charipova, K.; Fiocchi, J.; Kaye, A.D.; Viswanath, O. CGRP Antagonists for the Treatment of Chronic Migraines: A Comprehensive Review. Curr. Pain Headache Rep. 2019, 23, 29. [Google Scholar] [CrossRef]
- Chen, Y.Y.; Ye, X.Q.; Tang, T.C.; She, T.W.; Chen, M.; Zheng, H. Calcitonin Gene-Related Peptide Monoclonal Antibodies Versus Botulinum Neurotoxin a in the Preventive Treatment of Chronic Migraine: An Adjusted Indirect Treatment Comparison Meta-Analysis. Front. Pharmacol. 2021, 12, 671845. [Google Scholar] [CrossRef]
- Sacco, S.; Amin, F.M.; Ashina, M.; Bendtsen, L.; Deligianni, C.I.; Gil-Gouveia, R.; Katsarava, Z.; MaassenVanDenBrink, A.; Martelletti, P.; Mitsikostas, D.D.; et al. European Headache Federation guideline on the use of monoclonal antibodies targeting the calcitonin gene related peptide pathway for migraine prevention—2022 update. J. Headache Pain 2022, 23, 67. [Google Scholar] [CrossRef]
- Silberstein, S.D.; Dodick, D.W.; Aurora, S.K.; Diener, H.C.; DeGryse, R.E.; Lipton, R.B.; Turkel, C.C. Per cent of patients with chronic migraine who responded per onabotulinumtoxinA treatment cycle: PREEMPT. J. Neurol. Neurosurg. Psychiatry 2015, 86, 996–1001. [Google Scholar] [CrossRef]
- Loder, E.; Burch, R.; Rizzoli, P. The 2012 AHS/AAN guidelines for prevention of episodic migraine: A summary and comparison with other recent clinical practice guidelines. Headache 2012, 52, 930–945. [Google Scholar] [CrossRef]
- Sarchielli, P.; Romoli, M.; Corbelli, I.; Bernetti, L.; Verzina, A.; Brahimi, E.; Eusebi, P.; Caproni, S.; Calabresi, P. Stopping Onabotulinum Treatment after the First Two Cycles Might Not Be Justified: Results of a Real-life Monocentric Prospective Study in Chronic Migraine. Front. Neurol. 2017, 8, 655. [Google Scholar] [CrossRef]
- Cernuda-Morollón, E.; Ramón, C.; Larrosa, D.; Alvarez, R.; Riesco, N.; Pascual, J. Long-term experience with onabotulinumtoxinA in the treatment of chronic migraine: What happens after one year? Cephalalgia 2015, 35, 864–868. [Google Scholar] [CrossRef]
- Kollewe, K.; Escher, C.M.; Wulff, D.U.; Fathi, D.; Paracka, L.; Mohammadi, B.; Karst, M.; Dressler, D. Long-term treatment of chronic migraine with Onabotulinumtoxin A: Efficacy, quality of life and tolerability in a real-life setting. J. Neural. Transm. 2016, 123, 533–540. [Google Scholar] [CrossRef]
- Guerzoni, S.; Pellesi, L.; Beraldi, C.; Pini, L.A. Increased efficacy of regularly repeated cycles with Onabotulinumtoxin A in MOH patients beyond the first year of treatment. J. Headache Pain 2016, 17, 48. [Google Scholar] [CrossRef][Green Version]
- Negro, A.; Curto, M.; Lionetto, L.; Martelletti, P. A two years open-label prospective study of Onabotulinumtoxin A 195U in medication overuse headache: A real-world experience. J. Headache Pain 2015, 17, 1–9. [Google Scholar] [CrossRef]
- Lovati, C.; Giani, L. Action mechanisms of Onabotulinumtoxin-A: Hints for selection of eligible patients. Neurol. Sci. 2017, 38, S131–S140. [Google Scholar] [CrossRef]
- Burstein, R.; Blumenfeld, A.M.; Silberstein, S.D.; Adams, A.M.; Brin, M.F. Mechanism of Action of OnabotulinumtoxinA in Chronic Migraine: A Narrative Review. Headache 2020, 60, 1259–1272. [Google Scholar] [CrossRef]
- Santoro, A.; Delussi, M.; Leone, M.; Miscio, A.M.; De Rocco, L.; Leo, G.; De Tommaso, M. Effects of Botulinum Toxin on Migraine Attack Features in Chronic Migraine: A Six-Month Open-Label Observation Study through Electronic Diary Smartphone Application. Toxins 2019, 11, 668. [Google Scholar] [CrossRef]
- Woolf, C.J. Central sensitization: Implications for the diagnosis and treatment of pain. Pain 2011, 152 (Suppl. 3), S2–S15. [Google Scholar] [CrossRef]
- Khalil, M.; Zafar, H.W.; Quarshie, V.; Ahmed, F. Prospective analysis of the use of OnabotulinumtoxinA (BOTOX) in the treatment of chronic migraine; real-life data in 254 patients from Hull, U.K. J. Headache Pain 2014, 15, 54. [Google Scholar] [CrossRef]
- Silberstein, S.; Tfelt-Hansen, P.; Dodick, D.W.; Limmroth, V.; Lipton, R.B.; Pascual, J.; Wang, S.J. Task Force of the International Headache Society Clinical Trials Subcommittee. Guidelines for controlled trials of prophylactic treatment of chronic migraine in adults. Cephalalgia 2008, 28, 484–495. [Google Scholar] [CrossRef]
- Diener, H.C.; Dodick, D.W.; Turkel, C.C.; Demos, G.; DeGryse, R.E.; Earl, N.L.; Brinc, M.F. Pooled analysis of the safety and tolerability of onabotulinumtoxinA in the treatment of chronic migraine. Eur. J. Neurol. 2014, 21, 851–859. [Google Scholar] [CrossRef] [PubMed]
- R Core Team. R: A Language and Environment for Statistical Computing. R Foundation for Statistical Computing, Vienna, Austria. 2014. Available online: http://www.R-project.org/ (accessed on 11 November 2021).


| Drop-Out Group | NR | PR | R | p-Value | ||
|---|---|---|---|---|---|---|
| N (%) Tot = 195 | 28 (14.4) | 30 (15.4) | 35 (17.9) | 102 (52.3) | - | |
| N (%) MOH at Baseline | 23 (82.1) | 25 (83.3) | 29 (82.9) | 87 (85.3) | - | |
| N (%) MOH at Phase 1 | - | 26 (86.7) | 17 (48.9) | 11 (10.8) | ||
| N (%) MOH at Phase 2 | - | - | 15 (42.9) | 9 (8.8) | ||
| Gender (F/M) | 26/2 | 24/6 | 21/14 | 89/13 | <0.001 | |
| Age | 49.5 ± 9.7 | 45.4 ± 13.7 | 47.0± 12.0 | 47.8 ± 14.2 | 0.679 | |
| Headache days/month | Baseline | 22.1 ± 6.6 | 23.7 ± 5.4 | 23.8 ± 5.8 | 24.2 ± 5.6 | 0.375 |
| Phase 1 | - | 22.7 ± 6.7 ϕϕϕ | 17.4 ± 5.3 §§§ | 7.0 ± 4.3 §§§ | <0.001 | |
| Phase 2 | - | - | 15.3 ± 7.6 *** | 6.9 ± 5.1 *** | <0.001 | |
| During Phase 1 N (%) | During Phase 2 N (%) | |
|---|---|---|
| Serious adverse events | 3 (9.4) | 0 |
| Lost to follow-up/transfer abroad | 4 (12.5) | 4 (12.5) |
| Autonomous decision of suspension due to ineffectiveness/discomfort for procedure | 21 (65.6) | 0 |
| N/29 | Correlation to Treatment | |
|---|---|---|
| Cervical-brachialgia | 6 | Probable |
| Flu-like syndrome | 4 | Improbable |
| Abdominal pain | 4 | Improbable |
| Diffuse muscles pain | 3 | Possible |
| Internal tremor | 2 | Improbable |
| Pain/paresthesia at the injection site | 2 | Probable |
| Pregnancy | 1 | Not related |
| Death | 1 | Not related |
| Hospitalization | 1 | Not related |
| Hypertensive crisis | 1 | Improbable |
| Allergic rhinitis | 1 | Improbable |
| Shingles | 1 | Improbable |
| Lower limb oedema | 1 | Improbable |
| Injection site dermatitis | 1 | Probable |
Disclaimer/Publisher’s Note: The statements, opinions and data contained in all publications are solely those of the individual author(s) and contributor(s) and not of MDPI and/or the editor(s). MDPI and/or the editor(s) disclaim responsibility for any injury to people or property resulting from any ideas, methods, instructions or products referred to in the content. |
© 2022 by the authors. Licensee MDPI, Basel, Switzerland. This article is an open access article distributed under the terms and conditions of the Creative Commons Attribution (CC BY) license (https://creativecommons.org/licenses/by/4.0/).
Share and Cite
Corbelli, I.; Verzina, A.; Leone De Magistris, I.; De Vanna, G.; Eusebi, P.; Mataluni, G.; Pisani, A.; Prudenzano, A.M.P.; Trojano, M.; Delussi, M.; et al. Sustained Efficacy, Safety and High Adherence Rate of Onabotulinum Toxin Type A in Chronic Migraine Patients: A Multicentric Prospective Real-Life Study. Toxins 2023, 15, 34. https://doi.org/10.3390/toxins15010034
Corbelli I, Verzina A, Leone De Magistris I, De Vanna G, Eusebi P, Mataluni G, Pisani A, Prudenzano AMP, Trojano M, Delussi M, et al. Sustained Efficacy, Safety and High Adherence Rate of Onabotulinum Toxin Type A in Chronic Migraine Patients: A Multicentric Prospective Real-Life Study. Toxins. 2023; 15(1):34. https://doi.org/10.3390/toxins15010034
Chicago/Turabian StyleCorbelli, Ilenia, Angela Verzina, Ilaria Leone De Magistris, Gioacchino De Vanna, Paolo Eusebi, Giorgia Mataluni, Antonio Pisani, Addolorata Maria Pia Prudenzano, Maria Trojano, Marianna Delussi, and et al. 2023. "Sustained Efficacy, Safety and High Adherence Rate of Onabotulinum Toxin Type A in Chronic Migraine Patients: A Multicentric Prospective Real-Life Study" Toxins 15, no. 1: 34. https://doi.org/10.3390/toxins15010034
APA StyleCorbelli, I., Verzina, A., Leone De Magistris, I., De Vanna, G., Eusebi, P., Mataluni, G., Pisani, A., Prudenzano, A. M. P., Trojano, M., Delussi, M., De Tommaso, M., Russo, A., Silvestro, M., Tedeschi, G., Calabresi, P., & Sarchielli, P. (2023). Sustained Efficacy, Safety and High Adherence Rate of Onabotulinum Toxin Type A in Chronic Migraine Patients: A Multicentric Prospective Real-Life Study. Toxins, 15(1), 34. https://doi.org/10.3390/toxins15010034

