Genomic Analysis of Shiga Toxin-Producing E. coli O157 Cattle and Clinical Isolates from Alberta, Canada
Abstract
:1. Introduction
2. Results
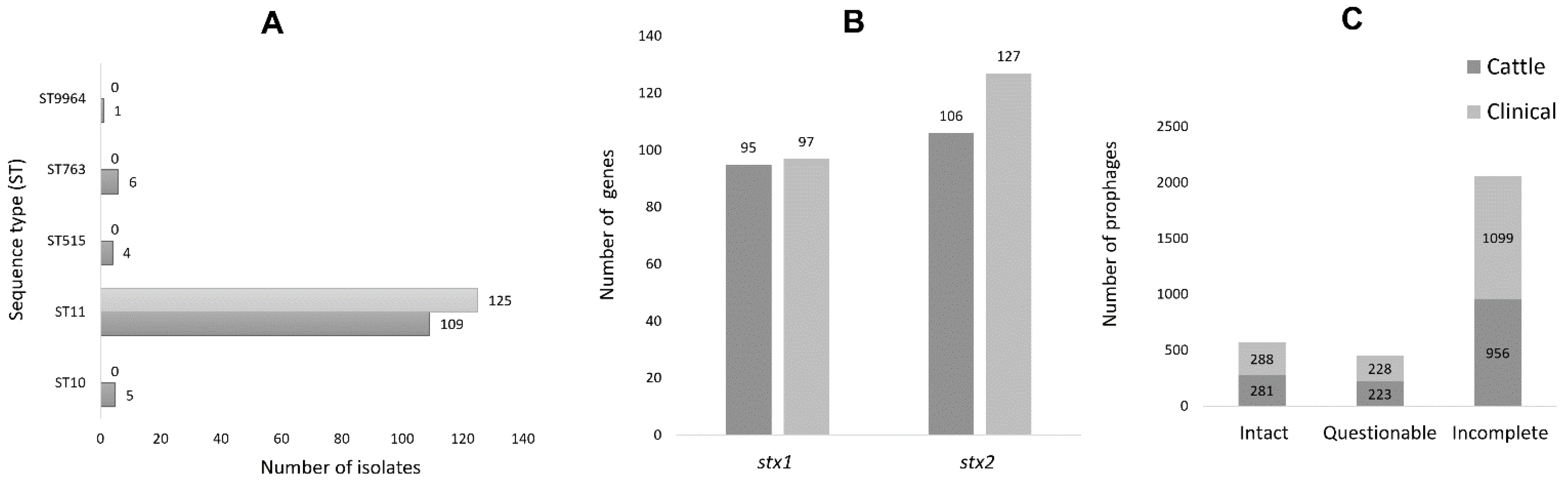
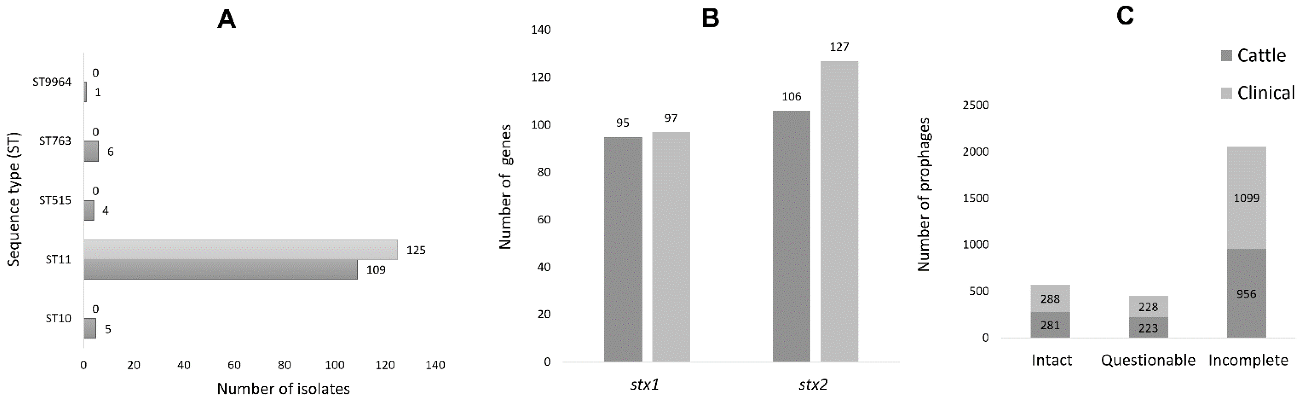
2.1. In Silico Serotyping and Multi-Locus Sequence Typing (MLST) Analysis
2.2. Distribution of Stx Genes, Prophages, and Stx-Phage Insertion Sites
2.3. Additional Identified Virulence Factors
2.4. Predicted Antimicrobial Resistance/Resistance Cassette Genes and Plasmids
3. Discussion
4. Conclusions
5. Materials and Methods
5.1. Sample Collection and Bacterial Isolation
5.2. Bacterial Whole Genome Sequencing and Data Analysis
5.3. In Silico Serotyping and Multi-Locus Sequence Typing (MLST) Analysis
5.4. Identification of Stx Genes, Prophages, and Stx-Carrying Phage and Associated-Insertion Sites
5.5. In Silico Determination of Virulence Factors, Antimicrobial Resistance, and Mobile Element Genes
Supplementary Materials
Author Contributions
Funding
Institutional Review Board Statement
Informed Consent Statement
Data Availability Statement
Acknowledgments
Conflicts of Interest
References
- Currie, A.; Honish, L.; Cutler, J.; Locas, A.; Lavoie, M.-C.; Gaulin, C.; Galanis, E.; Tschetter, L.; Chui, L.; Taylor, M. Outbreak of Escherichia coli O157: H7 infections linked to mechanically tenderized beef and the largest beef recall in Canada, 2012. J. Food Prot. 2019, 82, 1532–1538. [Google Scholar] [CrossRef] [PubMed]
- Honish, L.; Punja, N.; Nunn, S.; Nelson, D.; Hislop, N.; Gosselin, G.; Stashko, N.; Dittrich, D. Enteric Disease Outbreaks: Escherichia coli O157: H7 Infections associated with contaminated pork products—Alberta, Canada, July–October 2014. Can. Commun. Dis. Rep. 2017, 43, 21. [Google Scholar] [CrossRef] [PubMed]
- Elson, R.; Grace, K.; Vivancos, R.; Jenkins, C.; Adak, G.K.; O’Brien, S.J.; Lake, I.R. A spatial and temporal analysis of risk factors associated with sporadic Shiga toxin-producing Escherichia coli O157 infection in England between 2009 and 2015. Epidemiol. Infect. 2018, 146, 1928–1939. [Google Scholar] [CrossRef] [PubMed]
- Mulder, A.; Van de Kassteele, J.; Heederik, D.; Pijnacker, R.; Mughini-Gras, L.; Franz, E. Spatial effects of livestock farming on human infections with shiga toxin-producing Escherichia coli o157 in small but densely populated regions: The case of the netherlands. GeoHealth 2020, 4, e2020GH000276. [Google Scholar] [CrossRef] [PubMed]
- Hayashi, T.; Makino, K.; Ohnishi, M.; Kurokawa, K.; Ishii, K.; Yokoyama, K.; Han, C.-G.; Ohtsubo, E.; Nakayama, K.; Murata, T. Complete genome sequence of enterohemorrhagic Eschelichia coli O157: H7 and genomic comparison with a laboratory strain K-12. DNA Res. 2001, 8, 11–22. [Google Scholar] [CrossRef]
- Scheutz, F. Taxonomy meets public health: The case of Shiga toxin-producing Escherichia coli. In Enterohemorrhagic Escherichia coli and Other Shiga Toxin-Producing E. coli; American Society for Microbiology: Washington, DC, USA, 2015; pp. 15–36. [Google Scholar]
- Rodríguez-Rubio, L.; Haarmann, N.; Schwidder, M.; Muniesa, M.; Schmidt, H. Bacteriophages of Shiga toxin-producing Escherichia coli and their contribution to pathogenicity. Pathogens 2021, 10, 404. [Google Scholar] [CrossRef]
- Ohnishi, M.; Terajima, J.; Kurokawa, K.; Nakayama, K.; Murata, T.; Tamura, K.; Ogura, Y.; Watanabe, H.; Hayashi, T. Genomic diversity of enterohemorrhagic Escherichia coli O157 revealed by whole genome PCR scanning. Proc. Natl. Acad. Sci. USA 2002, 99, 17043–17048. [Google Scholar] [CrossRef]
- Shaikh, N.; Tarr, P.I. Escherichia coli O157: H7 Shiga toxin-encoding bacteriophages: Integrations, excisions, truncations, and evolutionary implications. J. Bacteriol. 2003, 185, 3596–3605. [Google Scholar] [CrossRef]
- Davies, E.V.; Winstanley, C.; Fothergill, J.L.; James, C.E. The role of temperate bacteriophages in bacterial infection. FEMS Microbiol. Lett. 2016, 363, fnw015. [Google Scholar] [CrossRef]
- Michino, H.; Araki, K.; Minami, S.; Takaya, S.; Sakai, N.; Miyazaki, M.; Ono, A.; Yanagawa, H. Massive outbreak of Escherichia coli O157: H7 infection in schoolchildren in Sakai City, Japan, associated with consumption of white radish sprouts. Am. J. Epidemiol. 1999, 150, 787–796. [Google Scholar] [CrossRef] [Green Version]
- Fogolari, M.; Mavian, C.; Angeletti, S.; Salemi, M.; Lampel, K.A.; Maurelli, A.T. Distribution and characterization of Shiga toxin converting temperate phages carried by Shigella flexneri in Hispaniola. Infect. Genet. Evol. 2018, 65, 321–328. [Google Scholar] [CrossRef] [PubMed]
- Zhi, S.; Parsons, B.D.; Szelewicki, J.; Yuen, Y.T.; Fach, P.; Delannoy, S.; Li, V.; Ferrato, C.; Freedman, S.B.; Lee, B.E. Identification of Shiga-Toxin-Producing Shigella Infections in Travel and Non-Travel Related Cases in Alberta, Canada. Toxins 2021, 13, 755. [Google Scholar] [CrossRef] [PubMed]
- Gray, M.D.; Leonard, S.R.; Lacher, D.W.; Lampel, K.A.; Alam, M.T.; Morris, J.G.; Ali, A.; LaBreck, P.T.; Maurelli, A.T. Stx-producing Shigella species from patients in Haiti: An emerging pathogen with the potential for global spread. Open Forum Infect. Dis. 2015, 2, 4. [Google Scholar] [CrossRef] [PubMed]
- Joseph, A.; Cointe, A.; Mariani Kurkdjian, P.; Rafat, C.; Hertig, A. Shiga toxin-associated hemolytic uremic syndrome: A narrative review. Toxins 2020, 12, 67. [Google Scholar] [CrossRef]
- Lingwood, C.A. Shiga toxin receptor glycolipid binding. In Methods Molecular Medicine; Humana Press: Totowa, NJ, USA, 2003; pp. 165–186. [Google Scholar]
- Tarr, P.; Gordon, C.; Chandler, W. Shiga-toxin-producing Escherichia coli and haemolytic uraemic syndrome. Lancet 2005, 365, 1073–1086. [Google Scholar] [CrossRef]
- Brigotti, M.; Caprioli, A.; Tozzi, A.E.; Tazzari, P.L.; Ricci, F.; Conte, R.; Carnicelli, D.; Procaccino, M.A.; Minelli, F.; Ferretti, A.V. Shiga toxins present in the gut and in the polymorphonuclear leukocytes circulating in the blood of children with hemolytic-uremic syndrome. J. Clin. Microbiol. 2006, 44, 313–317. [Google Scholar] [CrossRef] [PubMed]
- Smith, K.E.; Wilker, P.R.; Reiter, P.L.; Hedican, E.B.; Bender, J.B.; Hedberg, C.W. Antibiotic treatment of Escherichia coli O157 infection and the risk of hemolytic uremic syndrome, Minnesota. Pediatr. Infect. Dis. J. 2012, 31, 37–41. [Google Scholar] [CrossRef]
- Freedman, S.B.; Xie, J.; Neufeld, M.S.; Hamilton, W.L.; Hartling, L.; Tarr, P.I.; Team, A.P.P.E.I.; Nettel-Aguirre, A.; Chuck, A.; Lee, B. Shiga toxin–producing Escherichia coli infection, antibiotics, and risk of developing hemolytic uremic syndrome: A meta-analysis. Clin. Infect. Dis. 2016, 62, 1251–1258. [Google Scholar] [CrossRef] [PubMed]
- Wong, C.S.; Mooney, J.C.; Brandt, J.R.; Staples, A.O.; Jelacic, S.; Boster, D.R.; Watkins, S.L.; Tarr, P.I. Risk factors for the hemolytic uremic syndrome in children infected with Escherichia coli O157: H7: A multivariable analysis. Clin. Infect. Dis. 2012, 55, 33–41. [Google Scholar]
- Rodrigues-Jesus, M.; Fotoran, W.; Cardoso, R.; Araki, K.; Wunderlich, G.; Ferreira, L. Nano-multilamellar lipid vesicles (NMVs) enhance protective antibody responses against Shiga toxin (Stx2a) produced by enterohemorrhagic Escherichia coli strains (EHEC). Braz. J. Microbiol. 2019, 50, 67–77. [Google Scholar] [CrossRef] [PubMed]
- Jeshvaghani, F.S.; Amani, J.; Kazemi, R.; Rahjerdi, A.K.; Jafari, M.; Abbasi, S.; Salmanian, A.H. Oral immunization with a plant-derived chimeric protein in mice: Toward the development of a multipotent edible vaccine against E. coli O157: H7 and ETEC. Immunobiology 2019, 224, 262–269. [Google Scholar] [CrossRef] [PubMed]
- Bumunang, E.W.; Ateba, C.N.; Stanford, K.; Niu, Y.D.; Wang, Y.; McAllister, T.A. Activity of bacteriophage and complex tannins against biofilm-forming shiga toxin-producing Escherichia coli from Canada and South Africa. Antibiotics 2020, 9, 257. [Google Scholar] [CrossRef] [PubMed]
- Dey, D.K.; Kang, S.C. Weissella confusa DD_A7 pre-treatment to zebrafish larvae ameliorates the inflammation response against Escherichia coli O157: H7. Microbiol. Res. 2020, 237, 126489. [Google Scholar] [CrossRef] [PubMed]
- Cheng, L.W.; Henderson, T.D.; Patfield, S.; Stanker, L.H.; He, X. Mouse in vivo neutralization of Escherichia coli Shiga toxin 2 with monoclonal antibodies. Toxins 2013, 5, 1845–1858. [Google Scholar] [CrossRef] [PubMed]
- Wirth, T.; Falush, D.; Lan, R.; Colles, F.; Mensa, P.; Wieler, L.H.; Karch, H.; Reeves, P.R.; Maiden, M.C.; Ochman, H. Sex and virulence in Escherichia coli: An evolutionary perspective. Mol. Microbiol. 2006, 60, 1136–1151. [Google Scholar] [CrossRef] [PubMed]
- Barth, S.A.; Menge, C.; Eichhorn, I.; Semmler, T.; Wieler, L.H.; Pickard, D.; Belka, A.; Berens, C.; Geue, L. The accessory genome of Shiga toxin-producing Escherichia coli defines a persistent colonization type in cattle. Appl. Environ. Microbiol. 2016, 82, 5455–5464. [Google Scholar] [CrossRef] [PubMed]
- Chui, L.; Li, V.; Fach, P.; Delannoy, S.; Malejczyk, K.; Patterson-Fortin, L.; Poon, A.; King, R.; Simmonds, K.; Scott, A.N. Molecular profiling of Escherichia coli O157: H7 and non-O157 strains isolated from humans and cattle in Alberta, Canada. J. Clin. Microbiol. 2015, 53, 986–990. [Google Scholar] [CrossRef] [PubMed]
- Castro, V.S.; Ortega Polo, R.; Figueiredo, E.E.d.S.; Bumunange, E.W.; McAllister, T.; King, R.; Conte-Junior, C.A.; Stanford, K. Inconsistent PCR detection of Shiga toxin-producing Escherichia coli: Insights from whole genome sequence analyses. PLoS ONE 2021, 16, e0257168. [Google Scholar] [CrossRef] [PubMed]
- Zhang, P.; Essendoubi, S.; Keenliside, J.; Reuter, T.; Stanford, K.; King, R.; Lu, P.; Yang, X. Genomic analysis of Shiga toxin-producing Escherichia coli O157: H7 from cattle and pork-production related environments. NPJ Sci. Food 2021, 5, 1–12. [Google Scholar] [CrossRef] [PubMed]
- Lisboa, L.F.; Szelewicki, J.; Lin, A.; Latonas, S.; Li, V.; Zhi, S.; Parsons, B.D.; Berenger, B.; Fathima, S.; Chui, L. Epidemiology of Shiga Toxin-Producing Escherichia coli O157 in the Province of Alberta, Canada, 2009–2016. Toxins 2019, 11, 613. [Google Scholar] [CrossRef] [PubMed]
- Abu-Ali, G.S.; Ouellette, L.M.; Henderson, S.T.; Lacher, D.W.; Riordan, J.T.; Whittam, T.S.; Manning, S.D. Increased adherence and expression of virulence genes in a lineage of Escherichia coli O157: H7 commonly associated with human infections. PLoS ONE 2010, 5, e10167. [Google Scholar] [CrossRef] [PubMed]
- WHO. Global Antimicrobial Resistance Surveillance System ( GLASS) Report: Early Implementation 2017–2018. Available online: https://apps.who.int/iris/bitstream/handle/10665/279656/9789241515061-eng.pdf (accessed on 3 April 2022).
- Aslam, M.; Stanford, K.; McAllister, T.A. Characterization of antimicrobial resistance and seasonal prevalence of Escherichia coli O157: H7 recovered from commercial feedlots in Alberta, Canada. Lett. Appl. Microbiol. 2010, 50, 320–326. [Google Scholar] [CrossRef]
- Vidovic, S.; Tsoi, S.; Medihala, P.; Liu, J.; Wylie, J.L.; Levett, P.N.; Korber, D.R. Molecular and antimicrobial susceptibility analyses distinguish clinical from bovine Escherichia coli O157 strains. J. Clin. Microbiol. 2013, 51, 2082–2088. [Google Scholar] [CrossRef] [PubMed]
- Allen, K.J.; Laing, C.R.; Cancarevic, A.; Zhang, Y.; Mesak, L.R.; Xu, H.; Paccagnella, A.; Gannon, V.P.; Hoang, L. Characteristics of clinical Shiga toxin-producing Escherichia coli isolated from British Columbia. BioMed Res. Int. 2013, 2013, 878956. [Google Scholar] [CrossRef]
- Schroeder, C.M.; Zhao, C.; DebRoy, C.; Torcolini, J.; Zhao, S.; White, D.G.; Wagner, D.D.; McDermott, P.F.; Walker, R.D.; Meng, J. Antimicrobial resistance of Escherichia coli O157 isolated from humans, cattle, swine, and food. Appl. Environ. Microbiol. 2002, 68, 576–581. [Google Scholar] [CrossRef]
- Amézquita-López, B.A.; Quiñones, B.; Soto-Beltrán, M.; Lee, B.G.; Yambao, J.C.; Lugo-Melchor, O.Y.; Chaidez, C. Antimicrobial resistance profiles of Shiga toxin-producing Escherichia coli O157 and Non-O157 recovered from domestic farm animals in rural communities in Northwestern Mexico. Antimicrob. Resist. Infect. Control 2016, 5, 1. [Google Scholar] [CrossRef] [PubMed]
- Brown, E.; Dessai, U.; McGarry, S.; Gerner-Smidt, P. Use of whole-genome sequencing for food safety and public health in the United States. Foodborne Pathog. Dis. 2019, 16, 441–450. [Google Scholar] [CrossRef] [PubMed]
- Health Canada. Evaluation of the Public Health Agency of Canada’s Food-Borne and Water-Borne Enteric Illness Activities 2012–2017. Available online: https://www.canada.ca/en/public-health/corporate/transparency/corporate-management-reporting/evaluation/report-evaluation-food-borne-water-borne-enteric-illness-activities-2012-2017.html (accessed on 25 April 2022).
- Stanford, K.; Reuter, T.; Bach, S.J.; Chui, L.; Ma, A.; Conrad, C.C.; Tostes, R.; McAllister, T.A. Effect of severe weather events on the shedding of Shiga toxigenic Escherichia coli in slaughter cattle and phenotype of serogroup O157 isolates. FEMS Microbiol. Ecol. 2017, 93, fix098. [Google Scholar]
- Fratamico, P.M.; DebRoy, C.; Liu, Y.; Needleman, D.S.; Baranzoni, G.M.; Feng, P. Advances in molecular serotyping and subtyping of Escherichia coli. Front. Microbiol. 2016, 7, 644. [Google Scholar] [CrossRef]
- Snedeker, K.G.; Shaw, D.J.; Locking, M.E.; Prescott, R.J. Primary and secondary cases in Escherichia coliO157 outbreaks: A statistical analysis. BMC Infect. Dis. 2009, 9, 144. [Google Scholar] [CrossRef]
- Morita-Ishihara, T.; Iyoda, S.; Iguchi, A.; Ohnishi, M. Secondary Shiga Toxin–Producing Escherichia coli Infection, Japan, 2010–2012. Emerg. Infect. Dis. 2016, 22, 2181. [Google Scholar] [CrossRef]
- Perna, N.T.; Plunkett, G.; Burland, V.; Mau, B.; Glasner, J.D.; Rose, D.J.; Mayhew, G.F.; Evans, P.S.; Gregor, J.; Kirkpatrick, H.A. Genome sequence of enterohaemorrhagic Escherichia coli O157: H7. Nature 2001, 409, 529–533. [Google Scholar] [CrossRef] [PubMed] [Green Version]
- Scheutz, F.; Teel, L.; Beutin, L.; Piérard, D.; Buvens, G.; Karch, H.; Mellmann, A.; Caprioli, A.; Tozzoli, R.; Morabito, S. Multicenter evaluation of a sequence-based protocol for subtyping Shiga toxins and standardizing Stx nomenclature. J. Clin. Microbiol. 2012, 50, 2951–2963. [Google Scholar] [CrossRef] [PubMed]
- Menge, C. Molecular biology of Escherichia coli Shiga toxins’ effects on mammalian cells. Toxins 2020, 12, 345. [Google Scholar] [CrossRef] [PubMed]
- Orth, D.; Grif, K.; Khan, A.B.; Naim, A.; Dierich, M.P.; Würzner, R. The Shiga toxin genotype rather than the amount of Shiga toxin or the cytotoxicity of Shiga toxin in vitro correlates with the appearance of the hemolytic uremic syndrome. Diagn. Microbiol. Infect. Dis. 2007, 59, 235–242. [Google Scholar] [CrossRef]
- Fuller, C.A.; Pellino, C.A.; Flagler, M.J.; Strasser, J.E.; Weiss, A.A. Shiga toxin subtypes display dramatic differences in potency. Infect. Immun. 2011, 79, 1329–1337. [Google Scholar] [CrossRef]
- Krüger, A.; Lucchesi, P.M. Shiga toxins and stx phages: Highly diverse entities. Microbiology 2015, 161, 451–462. [Google Scholar] [CrossRef]
- Fitzgerald, S.F.; Beckett, A.E.; Palarea-Albaladejo, J.; McAteer, S.; Shaaban, S.; Morgan, J.; Ahmad, N.I.; Young, R.; Mabbott, N.A.; Morrison, L. Shiga toxin sub-type 2a increases the efficiency of Escherichia coli O157 transmission between animals and restricts epithelial regeneration in bovine enteroids. PLoS Pathog. 2019, 15, e1008003. [Google Scholar] [CrossRef] [PubMed]
- Serra-Moreno, R.; Jofre, J.; Muniesa, M. Insertion site occupancy by stx 2 bacteriophages depends on the locus availability of the host strain chromosome. J. Bacteriol. 2007, 189, 6645–6654. [Google Scholar] [CrossRef]
- Yara, D.A.; Greig, D.R.; Gally, D.L.; Dallman, T.J.; Jenkins, C. Comparison of Shiga toxin-encoding bacteriophages in highly pathogenic strains of Shiga toxin-producing Escherichia coli O157: H7 in the UK. Microb. Genom. 2020, 6, e000334. [Google Scholar] [CrossRef]
- Stanford, K.; Reuter, T.; Hallewell, J.; Tostes, R.; Alexander, T.W.; McAllister, T.A. Variability in Characterizing Escherichia coli from Cattle Feces: A Cautionary Tale. Microorganisms 2018, 6, 74. [Google Scholar] [CrossRef] [PubMed]
- Senthakumaran, T.; Brandal, L.T.; Lindstedt, B.-A.; Jørgensen, S.B.; Charnock, C.; Tunsjø, H.S. Implications of stx loss for clinical diagnostics of Shiga toxin-producing Escherichia coli. Eur. J. Clin. Microbiol. Infect. Dis. 2018, 37, 2361–2370. [Google Scholar] [CrossRef] [PubMed] [Green Version]
- Asadulghani, M.; Ogura, Y.; Ooka, T.; Itoh, T.; Sawaguchi, A.; Iguchi, A.; Nakayama, K.; Hayashi, T. The defective prophage pool of Escherichia coli O157: Prophage–prophage interactions potentiate horizontal transfer of virulence determinants. PLoS Pathog. 2009, 5, e1000408. [Google Scholar] [CrossRef]
- LeBlanc, J.J. Implication of virulence factors in Escherichia coli O157: H7 pathogenesis. Crit. Rev. Microbiol. 2003, 29, 277–296. [Google Scholar] [CrossRef]
- Bai, X.; Zhang, J.; Hua, Y.; Jernberg, C.; Xiong, Y.; French, N.; Löfgren, S.; Hedenström, I.; Ambikan, A.; Mernelius, S. Genomic Insights Into Clinical Shiga Toxin-Producing Escherichia coli Strains: A 15-Year Period Survey in Jönköping, Sweden. Front. Microbiol. 2021, 12, 627861. [Google Scholar] [CrossRef]
- Health Canada. Categorization of Antimicrobial Drugs Based on Importance in Human Medicine. Available online: https://www.canada.ca/en/health-canada/services/drugs-health-products/veterinary-drugs/antimicrobial-resistance/categorization-antimicrobial-drugs-based-importance-human-medicine.html (accessed on 11 May 2022).
- Brown, H.J.; Stokes, H.; Hall, R.M. The integrons In0, In2, and In5 are defective transposon derivatives. J. Bacteriol. 1996, 178, 4429–4437. [Google Scholar] [CrossRef] [PubMed]
- Zhang, X.; Li, X.; Wang, W.; Qi, J.; Wang, D.; Xu, L.; Liu, Y.; Zhang, Y.; Guo, K. Diverse Gene Cassette Arrays Prevail in Commensal Escherichia coli From Intensive Farming Swine in Four Provinces of China. Front. Microbiol. 2020, 11, 565349. [Google Scholar] [CrossRef] [PubMed]
- Benedict, K.M.; Gow, S.P.; McAllister, T.A.; Booker, C.W.; Hannon, S.J.; Checkley, S.L.; Noyes, N.R.; Morley, P.S. Antimicrobial resistance in Escherichia coli recovered from feedlot cattle and associations with antimicrobial use. PLoS ONE 2015, 10, e0143995. [Google Scholar]
- Li, X.-Z.; Mehrotra, M.; Ghimire, S.; Adewoye, L. β-Lactam resistance and β-lactamases in bacteria of animal origin. Vet. Microbiol. 2007, 121, 197–214. [Google Scholar] [CrossRef] [PubMed]
- Rozwandowicz, M.; Brouwer, M.; Fischer, J.; Wagenaar, J.; Gonzalez-Zorn, B.; Guerra, B.; Mevius, D.; Hordijk, J. Plasmids carrying antimicrobial resistance genes in Enterobacteriaceae. J. Antimicrob. Chemother. 2018, 73, 1121–1137. [Google Scholar] [CrossRef]
- Stanford, K.; Gibb, D.; McAllister, T. Evaluation of a shelf-stable direct-fed microbial for control of Escherichia coli O157 in commercial feedlot cattle. Can. J. Anim. Sci. 2013, 93, 535–542. [Google Scholar] [CrossRef]
- Stanford, K.; Johnson, R.P.; Alexander, T.W.; McAllister, T.A.; Reuter, T. Influence of season and feedlot location on prevalence and virulence factors of seven serogroups of Escherichia coli in feces of western-Canadian slaughter cattle. PLoS ONE 2016, 11, e0159866. [Google Scholar] [CrossRef] [PubMed]
- Conrad, C.C.; Stanford, K.; McAllister, T.A.; Thomas, J.; Reuter, T. Further development of sample preparation and detection methods for O157 and the top 6 non-O157 STEC serogroups in cattle feces. J. Microbiol. Methods 2014, 105, 22–30. [Google Scholar] [CrossRef] [PubMed]
- Couturier, M.R.; Lee, B.; Zelyas, N.; Chui, L. Shiga-toxigenic Escherichia coli detection in stool samples screened for viral gastroenteritis in Alberta, Canada. J. Clin. Microbiol. 2011, 49, 574–578. [Google Scholar] [CrossRef]
- Chui, L.; Lee, M.-C.; Malejczyk, K.; Lim, L.; Fok, D.; Kwong, P. Prevalence of Shiga toxin-producing Escherichia coli as detected by enzyme-linked immunoassays and real-time PCR during the summer months in northern Alberta, Canada. J. Clin. Microbiol. 2011, 49, 4307–4310. [Google Scholar] [CrossRef] [PubMed]
- Chui, L.; Lee, M.-C.; Allen, R.; Bryks, A.; Haines, L.; Boras, V. Comparison between ImmunoCard STAT!® and real-time PCR as screening tools for both O157: H7 and non-O157 Shiga toxin-producing Escherichia coli in Southern Alberta, Canada. Diagn. Microbiol. Infect. Dis. 2013, 77, 8–13. [Google Scholar]
- Wick, R.R.; Judd, L.M.; Gorrie, C.L.; Holt, K.E. Unicycler: Resolving bacterial genome assemblies from short and long sequencing reads. PLoS Comput. Biol. 2017, 13, e1005595. [Google Scholar] [CrossRef]
- Seemann, T. Prokka: Rapid prokaryotic genome annotation. Bioinformatics 2014, 30, 2068–2069. [Google Scholar] [CrossRef] [PubMed]
- Bessonov, K.; Laing, C.; Robertson, J.; Yong, I.; Ziebell, K.; Gannon, V.P.; Nichani, A.; Arya, G.; Nash, J.H.; Christianson, S. ECTyper: In silico Escherichia coli serotype and species prediction from raw and assembled whole-genome sequence data. Microb. Genom. 2021, 7, 000728. [Google Scholar] [CrossRef] [PubMed]
- He, X.; Quiñones, B.; McMahon, S.; Mandrell, R.E. A single-step purification and molecular characterization of functional Shiga toxin 2 variants from pathogenic Escherichia coli. Toxins 2012, 4, 487–504. [Google Scholar] [CrossRef]
- Arndt, D.; Grant, J.R.; Marcu, A.; Sajed, T.; Pon, A.; Liang, Y.; Wishart, D.S. PHASTER: A better, faster version of the PHAST phage search tool. Nucleic Acids Res. 2016, 44, W16–W21. [Google Scholar] [CrossRef] [PubMed]
- Madeira, F.; Park, Y.M.; Lee, J.; Buso, N.; Gur, T.; Madhusoodanan, N.; Basutkar, P.; Tivey, A.R.; Potter, S.C.; Finn, R.D. The EMBL-EBI search and sequence analysis tools APIs in 2022. Nucleic Acids Res. 2022, 47, W636–W641. [Google Scholar] [CrossRef] [PubMed]
- Malberg Tetzschner, A.M.; Johnson, J.R.; Johnston, B.D.; Lund, O.; Scheutz, F. In silico genotyping of Escherichia coli isolates for extraintestinal virulence genes by use of whole-genome sequencing data. J. Clin. Microbiol. 2020, 58, e01269-20. [Google Scholar] [CrossRef] [PubMed]





| Number of Isolates | Source | Year | stx1 | stx2 | Resistance Genotype |
|---|---|---|---|---|---|
| 4 | Cattle | 2014 | − | + | ant(3’’)-Ia, sul1, tet(A) |
| 1 | Clinical | 2009 | + | + | |
| 1 | Clinical | 2008 | + | + | blaTEM-1B |
| 3 | Clinical | 2014 | − | + | aph(6)-Id, aph(3’’)-Ib, sul2, tet(B) |
| 1 | Clinical | 2015 | + | + | blaTEM-1B, tet(A) |
| 1 | Clinical | 2007 | − | + | aadA1, aadA2, cmlA1, sul3 |
| 1 | Clinical | 2014 | − | + | aadA2, ant(3’’)-Ia, cmlA1, sul3, tet(A) |
| 1 | Clinical | 2009 | + | + | aph(3’’)-Ib, aph(6)-Id, blaTEM-1C, sul2 |
| 1 | Clinical | 2009 | + | + | aph(3’’)-Ib, aph(6)-Id, blaTEM-1B, sul2, tet(B) |
| 1 | Clinical | 2015 | − | + | aph(3’’)-Ib, aph(6)-Id, dfrA14, floR, sul2, tet(A) |
| 1 | Cattle | 2014 | − | − | aadA1, aadA2, aph(3’)-IIa, aph(6)-Ic, cmlA1, dfrA12, sul3, tet(A), tet(B), tet(M) |
| 1 | Cattle | 2013 | + | + | aph(3’’)-Ib, aph(6)-Id, floR, sul2, tet(A) |
| 1 | Cattle | 2009 | − | − | tet(M) |
| 3 | Cattle | 2015 | − | − | tet(A), tet(M) |
| 1 | Cattle | 2015 | − | − | tet(A) |
Publisher’s Note: MDPI stays neutral with regard to jurisdictional claims in published maps and institutional affiliations. |
© 2022 by the authors. Licensee MDPI, Basel, Switzerland. This article is an open access article distributed under the terms and conditions of the Creative Commons Attribution (CC BY) license (https://creativecommons.org/licenses/by/4.0/).
Share and Cite
Bumunang, E.W.; Zaheer, R.; Stanford, K.; Laing, C.; Niu, D.; Guan, L.L.; Chui, L.; Tarr, G.A.M.; McAllister, T.A. Genomic Analysis of Shiga Toxin-Producing E. coli O157 Cattle and Clinical Isolates from Alberta, Canada. Toxins 2022, 14, 603. https://doi.org/10.3390/toxins14090603
Bumunang EW, Zaheer R, Stanford K, Laing C, Niu D, Guan LL, Chui L, Tarr GAM, McAllister TA. Genomic Analysis of Shiga Toxin-Producing E. coli O157 Cattle and Clinical Isolates from Alberta, Canada. Toxins. 2022; 14(9):603. https://doi.org/10.3390/toxins14090603
Chicago/Turabian StyleBumunang, Emmanuel W., Rahat Zaheer, Kim Stanford, Chad Laing, Dongyan Niu, Le Luo Guan, Linda Chui, Gillian A. M. Tarr, and Tim A. McAllister. 2022. "Genomic Analysis of Shiga Toxin-Producing E. coli O157 Cattle and Clinical Isolates from Alberta, Canada" Toxins 14, no. 9: 603. https://doi.org/10.3390/toxins14090603
APA StyleBumunang, E. W., Zaheer, R., Stanford, K., Laing, C., Niu, D., Guan, L. L., Chui, L., Tarr, G. A. M., & McAllister, T. A. (2022). Genomic Analysis of Shiga Toxin-Producing E. coli O157 Cattle and Clinical Isolates from Alberta, Canada. Toxins, 14(9), 603. https://doi.org/10.3390/toxins14090603

