Individual Response to Botulinum Toxin Therapy in Movement Disorders: A Time Series Analysis Approach
Abstract
:1. Introduction
2. Methods
3. Results
3.1. Clinical Characteristics
3.2. Mean-Based Analysis
3.3. Single-Case Analysis
3.4. Daily Symptom Severity Ratings: Responders vs. Non-Responders
3.5. Overestimation vs. Underestimation
4. Discussion
Author Contributions
Funding
Institutional Review Board Statement
Informed Consent Statement
Data Availability Statement
Acknowledgments
Conflicts of Interest
References
- Wöllner, J.; Weise, D.; Leplow, B. Subjective versus objective symptom intensities ratings in cervical dystonia and hemifacial spasm across botulinum neurotoxic cycle. Brain Behav. 2021, 11, e02023. [Google Scholar] [CrossRef] [PubMed]
- Ben-Shlomo, Y.; Camfield, L.; Warner, T.; ESDE collaborative group. What are the determinants of quality of life in people with cervical dystonia? J. Neurol. Neurosurg. Psychiatry 2002, 72, 608–614. [Google Scholar] [CrossRef] [PubMed]
- van den Dool, J.; Tijssen, M.A.J.; Koelman, J.H.T.M.; Engelbert, R.H.H.; Visser, B. Determinants of disability in cervical dystonia. Park. Relat. Disord. 2016, 32, 48–54. [Google Scholar] [CrossRef] [PubMed]
- Han, V.; Skorvanek, M.; Smit, M.; Koprusakova, M.T.; Hoekstra, T.; van Dijk, J.P.; Tijssen, M.A.J.; Gdovinova, Z.; Reijneveld, S.A. Prevalence of non-motor symptoms and their association with quality of life in cervical dystonia. Acta Neurol. Scand. 2020, 142, 613–622. [Google Scholar] [CrossRef]
- Klingelhoerfer, L.; Kaiser, M.; Sauerbier, A.; Untucht, R.; Wienecke, M.; Mammadova, K.; Falkenburger, B.; Gregor, O.; Chaudhuri, K.R.; Reichmann, H. Emotional well-being and pain could be greater determinants of quality of life compared to motor severity in cervical dystonia. J. Neural Transm. 2021, 128, 305–314. [Google Scholar] [CrossRef]
- Leplow, B.; Eggebrecht, A.; Pohl, J. Treatment satisfaction with botulinum toxin: A comparison between blepharospasm and cervical dystonia. Patient Prefer. Adherence 2017, 11, 1555–1563. [Google Scholar] [CrossRef]
- Skogseid, I.M.; Malt, U.F.; Røislien, J.; Kerty, E. Determinants and status of quality of life after long-term botulinum toxin therapy for cervical dystonia. Eur. J. Neurol. 2007, 14, 1129–1137. [Google Scholar] [CrossRef]
- Mueller, J.; Wissel, J.; Kemmler, G.; Voller, B.; Bodner, T.; Schneider, A.; Wenning, G.K.; Poewe, W. Craniocervical dystonia questionnaire (CDQ-24): Development and validation of a disease-specific quality of life instrument. J. Neurol. 2004, 75, 749–753. [Google Scholar] [CrossRef]
- Thelin, E.P.; Raj, R.; Bellander, B.-M.; Nelson, D.; Piippo-Karjalainen, A.; Siironen, J.; Tanskanen, P.; Hawryluk, G.; Hasen, M.; Unger, B.; et al. Comparison of high versus low frequency cerebral physiology for cerebrovascular reactivity assessment in traumatic brain injury: A multi-center pilot study. Multicent. Study 2020, 34, 971–994. [Google Scholar] [CrossRef]
- Schubert, C.; Seizer, L.; Chamson, E.; König, P.; Sepp, N.; Ocaña-Peinado, F.M.; Schnapka-Köpf, M.; Fuchs, D. Real-Life Cause-Effect Relations Between Urinary IL-6 Levels and Specific and NonSpecific Symptoms in a Patient With Mild SLE Disease Activity. Front. Immunol. 2021, 17, 718838. [Google Scholar] [CrossRef]
- Tabachnick, B.G.; Fidell, L.S. Using Multivariate Statistics; Time-Series Analysis; Pearson Education: Boston, MA, USA, 2007; Chapter 18. [Google Scholar]
- Pankrantz, A. Forecasting with Univariate Box-Jenkins Models: Concepts and Cases; Wiley: New York, NY, USA, 1983. [Google Scholar]
- Holmes, E.A.; Bonsall, M.B.; Hales, S.A.; Mitchell, H.; Renner, F.; Blackwell, S.; Watson, P.; Goodwin, G.M.; Di Simplicio, M. Application of time-series analysis to mood fluctuation in bipolar disorder to promote treatment innovation: A case series. Transl. Psychiatry 2016, 6, e720. [Google Scholar] [CrossRef]
- Lohaus, A.; Schmitt, G.M. Fragebogen zur Erhebung von Kontrollüberzeugungen zu Krankheit und Gesundheit (KKG); Hogrefe: Göttingen, Germany, 1989. [Google Scholar]
- Girach, A.; Aragon, A.V.; Zis, P. Quality of life in idiopathic dystonia: A systematic review. J. Neurol. 2019, 266, 2897–2906. [Google Scholar] [CrossRef]
- Guendel, H.; Wolf, A.; Xidara, V.; Busch, R.; Ceballos-Baumann, A.O. Social phobia in spasmodic torticollis. J. Neurol. Neurosurg. Psychiatry 2011, 71, 499–504. [Google Scholar]
- Ozel-Kizil, E.T.; Akbostanci, M.C.; Ozguven, H.D.; Atbaoglu, E.C. Secondary social anxiety in hyperkinesias. Mov. Disord. 2008, 23, 641–645. [Google Scholar] [CrossRef]
- Ray, S.; Pal, P.K.; Yadav, R. Non-motor symptoms in cervical dystonia: A review. Ann. Indian Acad. Neurol. 2020, 23, 449–457. [Google Scholar]
- Smit, M.; Kuiper, A.; Han, V.; Jiawan, V.C.R.; Douma, G.; van Harten, B.; Oen, J.M.T.H.; Pouwels, M.E.; Dieks, H.J.G.; Bartels, A.L.; et al. Psychiatric co-morbidity is highly prevalent in idiopathic cervical dystonia and significantly influences health-related quality of life: Results of a controlled study. Park. Relat. Disord. 2016, 30, 7–12. [Google Scholar] [CrossRef]
- Werle, R.W.; Takeda, S.Y.; Zonta, M.B.; Guimaraes, A.Z.; Teive, H.A. The physical, social and emotional aspects are the most affected in the quality of life of the patients with cervical dystonia. Arq. Neuropsiquiatr. 2014, 72, 405–410. [Google Scholar]
- Ceylan, D.; Erer, S.; Zarifoglu, M.; Türkes, N.; Özkaya, G. Evaluation of anxiety and depression scales and quality of LIFE in cervical dystonia patients on botulinum toxin therapy and their relatives. Neurol. Sci. 2019, 40, 725–731. [Google Scholar] [CrossRef]
- Escobar, A.M.; Martino, D.; Goodarzi, Z. The prevalence of anxiety in adult-onset isolated dystonia: A systematic review and meta-analysis. Eur. J. Neurol. 2021, 28, 4238–4250. [Google Scholar] [CrossRef]
- Escobar, A.M.; Pringsheim, T.; Goodarzi, Z.; Martino, D. The prevalence of depression in adult-onset idiopathic dystonia: Systematic review and metaanalysis. Neurosci. Biobehav. Rec. 2021, 125, 221–230. [Google Scholar] [CrossRef]
- Papathansiou, I.; MacDonald, L.; Whurr, R.; Jahanshahi, M. Perceived stigma in spasmodic torticollis. Mov. Disord. 2001, 16, 280–285. [Google Scholar] [CrossRef]
- Rinnerhaler, M.; Mueller, J.; Weichbold, V.; Wenning, G.K.; Poewe, W. Social stigmatization in patients with cranial and cervical dystonia. Mov. Disord. 2006, 21, 1636–1640. [Google Scholar] [CrossRef]
- Junker, J.; Oberwittler, C.; Jackson, D.; Berger, K. Utilization and perceived effectiveness of complementary and alternative medicine in patients with dystonia. Mov. Disord. 2004, 19, 158–161. [Google Scholar] [CrossRef]
- Leplow, B.; Boettcher, M.; Schoenfeld, R. Botulinum-toxin therapy for spasmodic torticollis: Medical and nonmedical adjunct treatments. Nervenarzt 2013, 84, 493–497. [Google Scholar] [CrossRef]
- Viehmann, M.; Weise, D.; Brähler, E.; Reichel, G.; Classen, J.; Baum, P. Complementary/ alternative medicine and physiotherapy usage in German cervical dystonia patients. Basal Ganglia 2014, 2, 55–59. [Google Scholar] [CrossRef]
- Klingelhoefer, L.; Chaudhuri, K.R.; Kamm, C.; Martinez-Martin, P.; Bhatia, K.; Sauerbier, A.; Kaiser, M.; Rodriguez-Blazquez, C.; Balint, B.; Untucht, R.; et al. Validation of a self-completed Dystonia Non-Motor Symptoms Questionnaire. Ann. Clin. Transl. Neurol. 2019, 6, 2054–2065. [Google Scholar] [CrossRef]
- Ghaddaf, A.A.; Alsharef, J.F.; Alomari, M.S.; Al Qurashi, A.A.; Abdulhamid, A.S.; Alshehri, M.S.; Alosaimi, M. Botulinum toxin type A for lower limb lengthening and deformity correction: A systematic review and meta-anaysis. J. Orthop. Sci. 2022. [Google Scholar] [CrossRef]
- Trompetto, C.; Marinelli, L.; Mori, L.; Puce, L.; Avanti, C.; Saretti, E.; Biasotti, G.; Amella, R.; Cotellessa, F.; Restivo, D.A.; et al. Effectiveness of botulinum toxin in stroke patients suffering from upper limb spastic dystonia. Toxins 2022, 14, 39. [Google Scholar] [CrossRef]
- Wong, C.; Westphal, I.; Michelsen, J.S. Measuring effects on pain and quality of life after abobotulinum toxin A injections in children with cerebral palsy. Toxins 2022, 14, 43. [Google Scholar] [CrossRef]
- Junker, J.; Berman, B.D.; Hall, J.; Wahba, D.W.; Brandt, V.; Perlmutter, J.S.; Jankovic, J.; A Malaty, I.; Shukla, A.W.; Reich, S.G.; et al. Quality of life in isolated dystonia: Non-motor manifestations matter. J. Neurol. Neurosurg. Psychiatry 2021, 92, 622–628. [Google Scholar] [CrossRef] [PubMed]
- Kako, T.; Nokura, K.; Kaneko, H.; Izawa, H. Subjective assessment of effectiveness, quality of life, and psychosocial status of patients receiving botulinum toxin therapy for hemifacial spasm, blepharospasm, or cervical dystonia. Fujita Med. 2021, 7, 12–17. [Google Scholar]
- Monaghan, R.; Cogley, C.; Burke, T.; McCormack, D.; O’Riordan, S.; Ndukwe, I.; Hutchinson, M.; Pender, N.; O’Keeffe, F. Non-motor features of cervical dystonia: Cognition, social cognition, psychological distress and quality of life. Clin. Park. Relat. Disord. 2020, 4, 100084. [Google Scholar] [CrossRef] [PubMed]
- Ortiz, R.; Scheperjans, F.; Mertsalmi, T.; Pekkonen, E. Comorbidity and retirement in cervical dystonia. J. Neurol. 2019, 266, 2216–2223. [Google Scholar] [CrossRef] [PubMed]
- Tyslerowicz, M.; Kiedrzynska, W.; Adamkiewiecz, B.; Jost, W.H.; Slawek, J. Cervical dystonia–improving the effectiveness of botulinum toxin therapy. Neurol. Neurochir. Pol. 2020, 54, 232–242. [Google Scholar] [CrossRef]



| CD | HFS | ||
|---|---|---|---|
| n (%) | n (%) | ||
| d = 0 | no trend detectable | 9 (45.0) | 6 (40.0) |
| d = 1 | continously worsening | 1 (5.0) | 2 (13.3) |
| d = 1* | continously improving | 2 (10.0) | 2 (13.3) |
| d = 2 | expected U-shaped trend | 8 (40.0 | 5 (33.3) |
| Sum | 20 (100.0) | 15 (100.0) |
| CD | HFD | Test Statistic | |
|---|---|---|---|
| Age (years) | 57.5 (14.7) | 69.9 (13.5) | U = 78.0; p = 0.02 |
| Sex f/m (n) | 18/2 | 13/2 | Chi² = (1) = 0.09; p = 0.76 |
| Disease duration (years | 10.9 (9.2) | 7.8 (4.9) | U = 107.5; p = 0.63 |
| Injection intervals (weeks) | 11.1 (1.2) | 11.0 (1.8) | U = 115.5; p = 0.95 |
| Duration of BoNT therapy (years) | 8.4 (8.2) | 7.9 (6.2) | U = 134.5; p = 0.60 |
| HADS depression | 6.2 (3.8) | 5.9 (3.8) | U = 113.5; p = 0.31 |
| HADS anxiety | 6.7 (4.4) | 5.9 (3.6) | U = 131.0; p = 0.69 |
| Satisfaction with BoNT therapy | 2.6 (1.2) | 1.9 (0.5) | U = 97.0; p = 0.09 |
| Abobotulinumtoxin (n, %) | 14 (70) | 14 (93) | - |
| Incobotulinumtoxin (n, %) | 6 (30) | 0 | - |
| Onabotulinumtoxin (n, %) | 0 | 1 (7) | - |
| Responders | Non-Responders | |
|---|---|---|
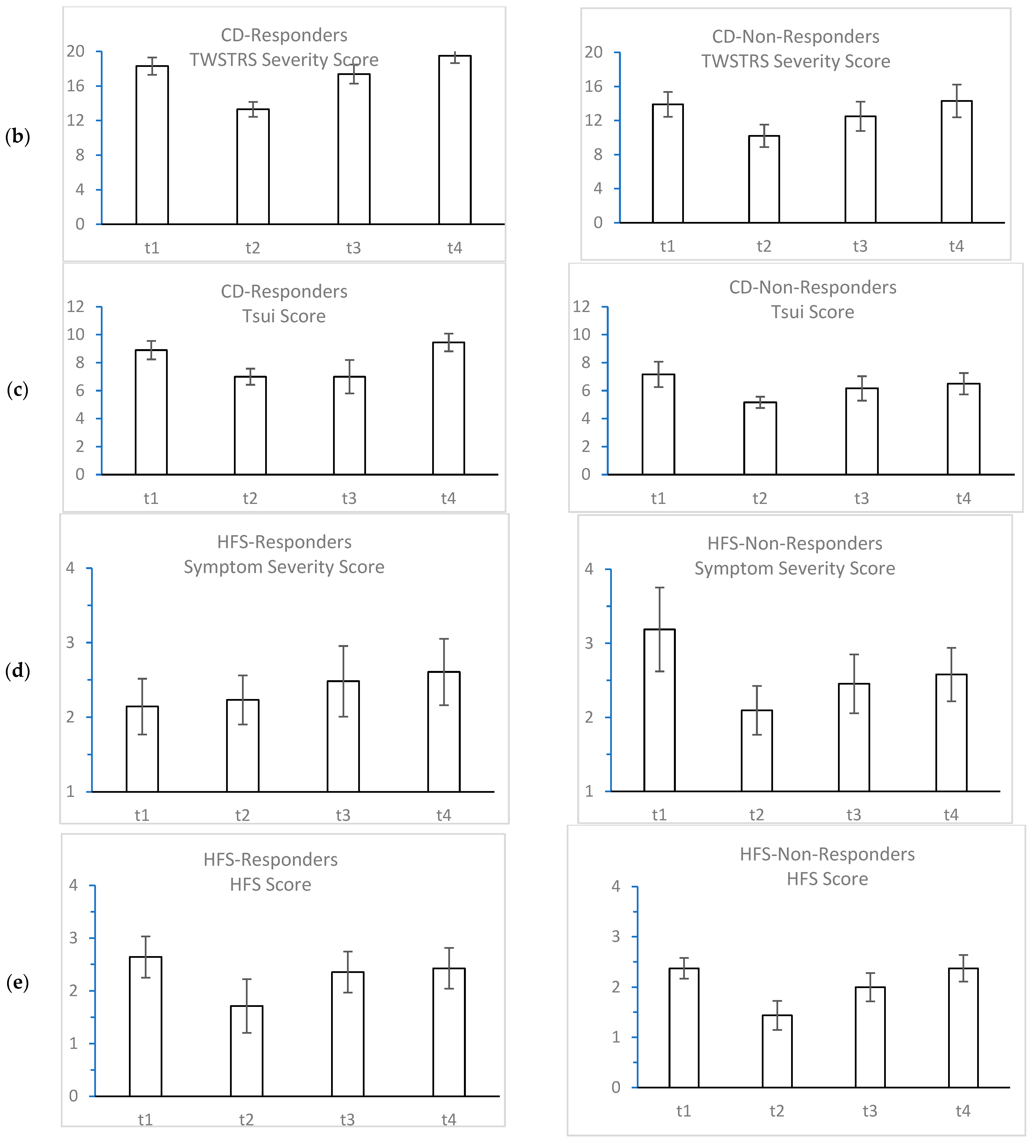
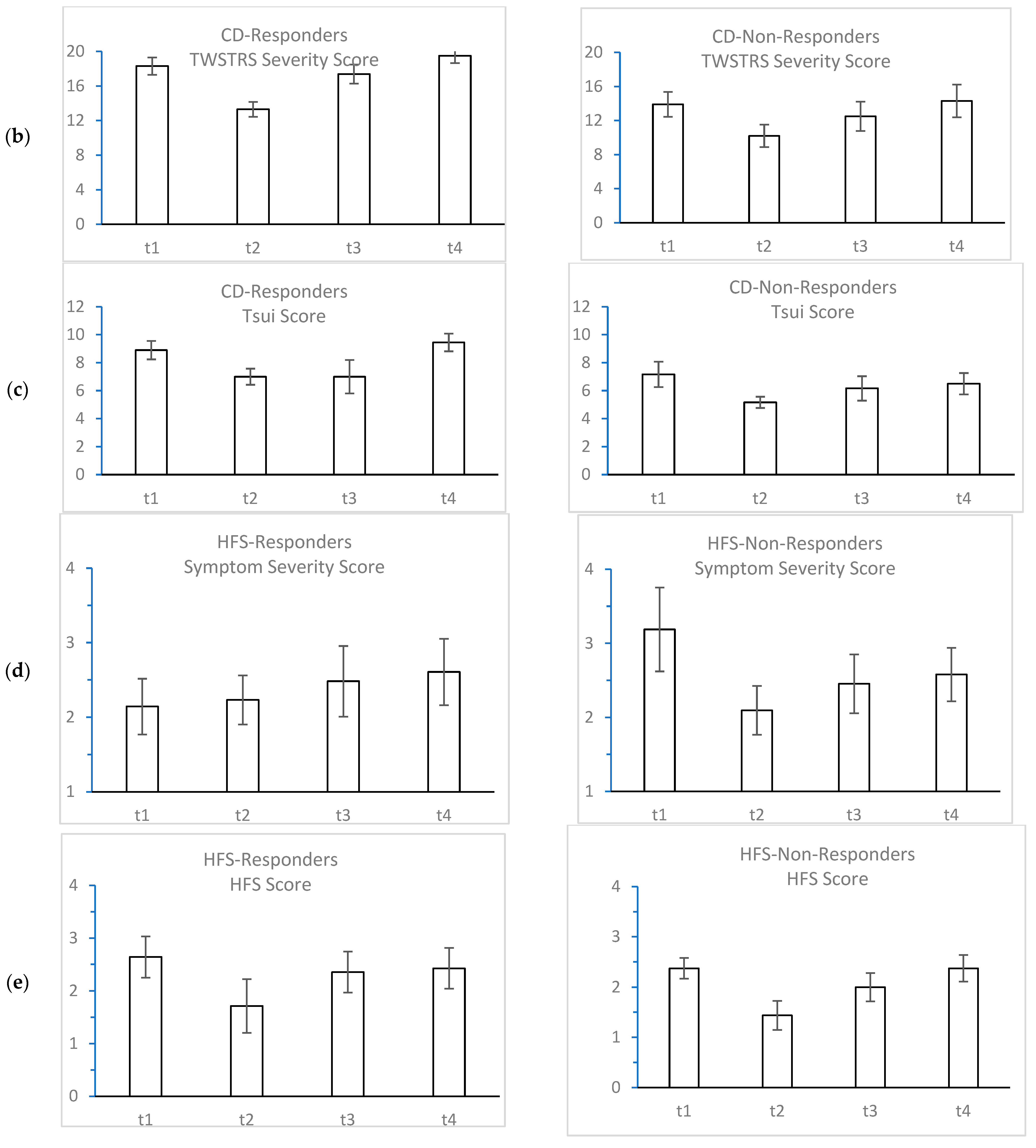
| CD Symptom Severity Score (Figure 2a) | 10.93 (3), p = 0.012 | 6.14 (3), p = 0.105 |
| HFS Symptom Severity Score (Figure 2d) | 2.03 (3), p = 0.566 | 7.99 (3), p = 0.046 |
| CD Tsui Score (Figure 2c) | 14.57 (3), p = 0.002 | 9.75 (3), p = 0.021 |
| CD TWSTRS (Figure 2b) | 18.04 (3), p < 0.0001 | 10.01 (3), p = 0.018 |
| HFS Score (Figure 2e) | 10.27 (3), p = 0.016 | 8.84 (3), p = 0.032 |
Publisher’s Note: MDPI stays neutral with regard to jurisdictional claims in published maps and institutional affiliations. |
© 2022 by the authors. Licensee MDPI, Basel, Switzerland. This article is an open access article distributed under the terms and conditions of the Creative Commons Attribution (CC BY) license (https://creativecommons.org/licenses/by/4.0/).
Share and Cite
Leplow, B.; Pohl, J.; Wöllner, J.; Weise, D. Individual Response to Botulinum Toxin Therapy in Movement Disorders: A Time Series Analysis Approach. Toxins 2022, 14, 508. https://doi.org/10.3390/toxins14080508
Leplow B, Pohl J, Wöllner J, Weise D. Individual Response to Botulinum Toxin Therapy in Movement Disorders: A Time Series Analysis Approach. Toxins. 2022; 14(8):508. https://doi.org/10.3390/toxins14080508
Chicago/Turabian StyleLeplow, Bernd, Johannes Pohl, Julia Wöllner, and David Weise. 2022. "Individual Response to Botulinum Toxin Therapy in Movement Disorders: A Time Series Analysis Approach" Toxins 14, no. 8: 508. https://doi.org/10.3390/toxins14080508
APA StyleLeplow, B., Pohl, J., Wöllner, J., & Weise, D. (2022). Individual Response to Botulinum Toxin Therapy in Movement Disorders: A Time Series Analysis Approach. Toxins, 14(8), 508. https://doi.org/10.3390/toxins14080508

