Effect of Selected Cooking Ingredients for Nixtamalization on the Reduction of Fusarium Mycotoxins in Maize and Sorghum
Abstract
1. Introduction
2. Results and Discussion
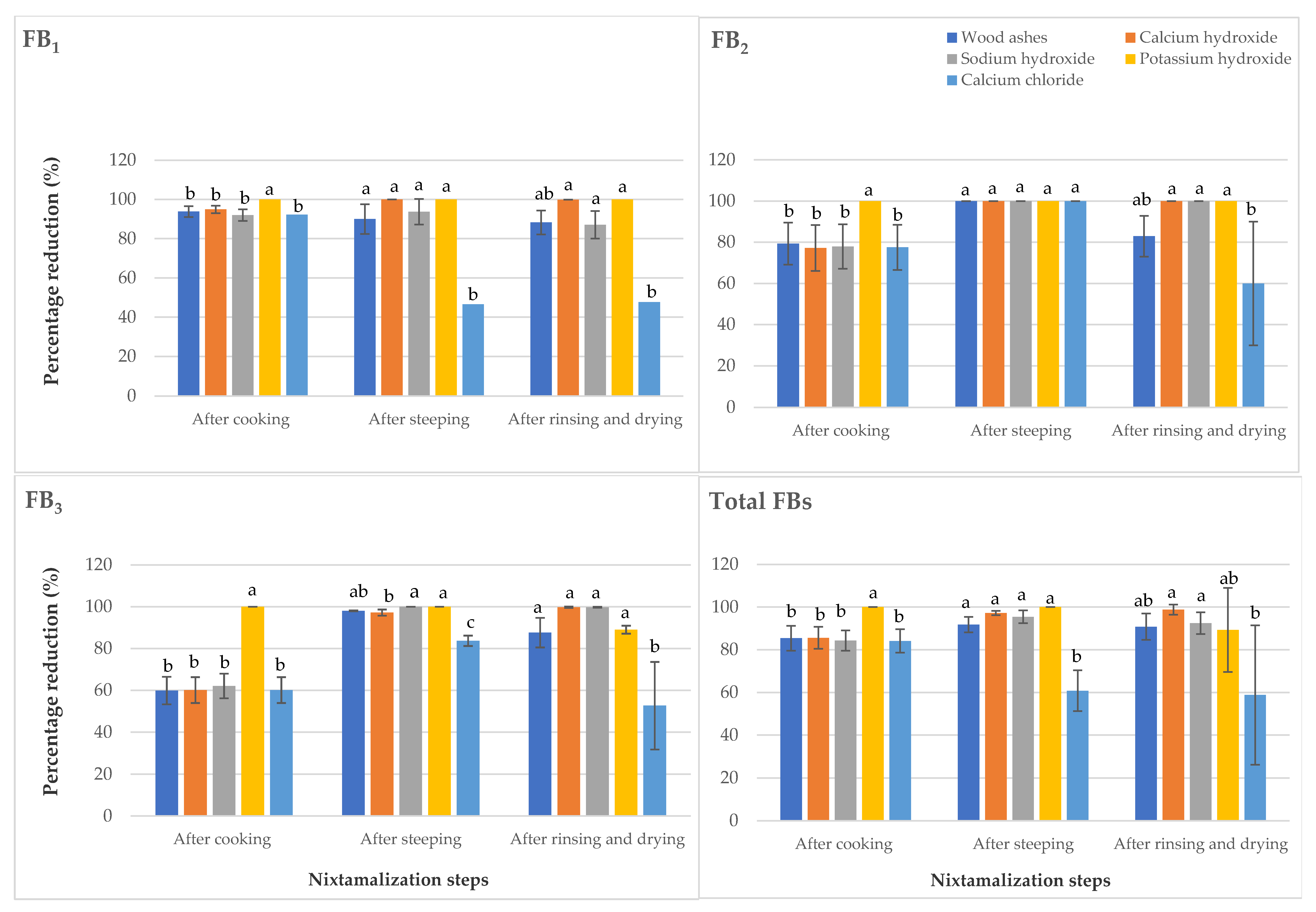
2.1. Influence of Different Nixtamalization Cooking Ingredients on Fusarium Mycotoxins during Nixtamalization of Maize
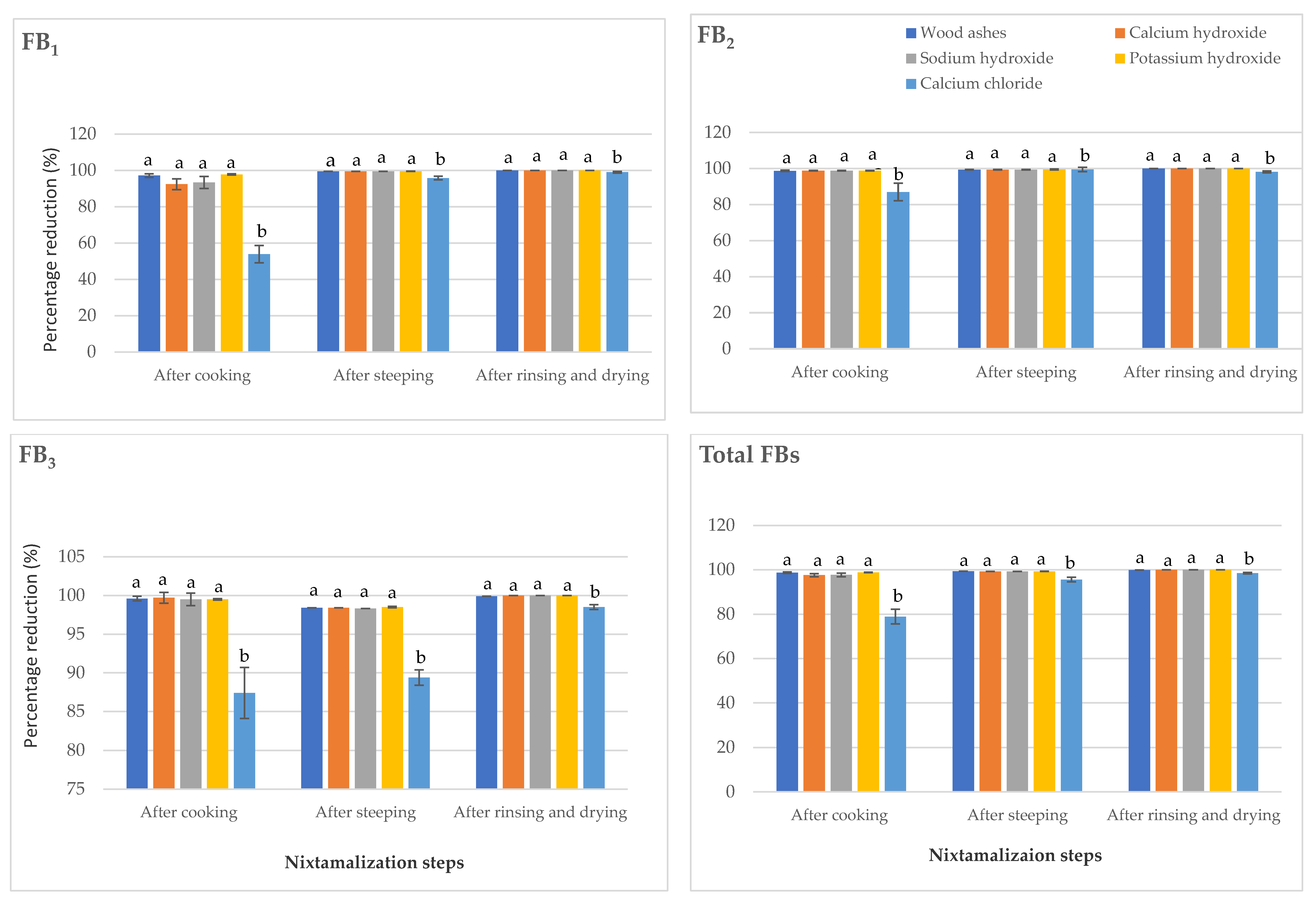
2.2. Influence of Different Nixtamalization Cooking Ingredients on Fusarium Mycotoxins during Nixtamalization of Sorghum
2.3. Effect of Different Nixtamalization Cooking Ingredients on the pH Values of Obtained Nejayote and Nixtamal
2.4. Principal Component Analysis of the Maize and Sorghum Data
3. Conclusions
4. Materials and Method
4.1. Chemicals and Reagents
4.2. Preparation of the Growth Media and Inoculation of F. Verticillioides Strains
4.3. Processing of Nixtamalized Maize and Sorghum
4.4. Preparation of Mycotoxin Standard Solution
4.5. Sample Extraction and Clean-Up
4.6. Liquid Chromatography-Tandem Mass Spectrometry
4.7. Statistical Analysis
Author Contributions
Funding
Institutional Review Board Statement
Informed Consent Statement
Data Availability Statement
Acknowledgments
Conflicts of Interest
References
- Chilaka, C.A.; De Boevre, M.; Atanda, O.O.; De Saeger, S. Occurrence of Fusarium mycotoxins in cereal crops and processed products (Ogi) from Nigeria. Toxins 2016, 8, 342. [Google Scholar] [CrossRef] [PubMed]
- Streit, E.; Schwab, C.; Sulyok, M.; Naehrer, K.; Krska, R.; Schatzmayr, G. Multi-mycotoxin screening reveals the occurrence of 139 different secondary metabolites in feed and feed ingredients. Toxins 2013, 5, 504–523. [Google Scholar] [CrossRef] [PubMed]
- Wagacha, J.M.; Muthomi, J.W. Mycotoxin problem in Africa: Current status, implications to food safety and health and possible management strategies. Int. J. Food Microbiol. 2008, 124, 1–12. [Google Scholar] [CrossRef] [PubMed]
- Misihairabgwi, J.M.; Ezekiel, C.N.; Sulyok, M.; Shephard, G.S.; Krska, R. Mycotoxin contamination of foods in Southern Africa: A 10-year review (2007–2016). Crit. Rev. Food Sci. Nutr. 2019, 59, 43–58. [Google Scholar] [CrossRef]
- Gbashi, S.; Madala, N.E.; De Seager, S.; De Boevre, M.; Adekoya, I.O.; Adebo, O.A.; Njobeh, P.B. The socio-economic impact of mycotoxin contamination in Africa. In Fungi and Mycotoxins—Their Occurrence, Impact on Health and the Economy as Well as Pre- and Postharvest Management Strategies; Njobeh, P.B., Stepman, F., Eds.; InTech: Rijeka, Croatia, 2018. [Google Scholar]
- Njobeh, P.B.; Dutton, M.F.; Åberg, A.T.; Haggblom, P. Estimation of multi-mycotoxin contamination in South African compound feeds. Toxins 2012, 4, 836–848. [Google Scholar] [CrossRef]
- Shi, W.; Tan, Y.; Wang, S.; Gardiner, D.M.; De Saeger, S.; Liao, Y.; Wang, C.; Fan, Y.; Wang, Z.; Wu, A. Mycotoxigenic potentials of Fusarium species in various culture matrices revealed by mycotoxin profiling. Toxins 2017, 9, 6. [Google Scholar] [CrossRef]
- Luo, Y.; Liu, X.; Li, J. Updating techniques on controlling mycotoxins—A review. Food Control 2018, 89, 123–132. [Google Scholar] [CrossRef]
- Figueroa, J.D.C.; Véles-Medina, J.J.; Tolentino-Lõpez, E.M.; Gaytán-Martínez, M.; Aragõn-Cuevas, F.; Palacios, N.; Willcox, M. Effect of traditional nixtamalization process on starch annealing and the relation to pozole quality. J. Food Process Eng. 2013, 36, 704–714. [Google Scholar] [CrossRef]
- Schaarschmidt, S.; Fauhl-Hassek, C. Mycotoxins during the processes of nixtamalization and tortilla production. Toxins 2019, 11, 227. [Google Scholar] [CrossRef]
- Escalante-Aburto, A.; Mariscal-Moreno, R.M.; Santiago-Ramos, D.; Ponce-García, N. An update of different nixtamalization technologies, and its effects on chemical composition and nutritional value of corn tortillas. Food Rev. Int. 2019, 36, 456–498. [Google Scholar] [CrossRef]
- Santiago-Ramos, D.; Figueroa-Cárdenas, J.d.D.; Mariscal-Moreno, R.M.; Escalante-Aburto, A.; Ponce-García, N.; Véles-Medina, J.J. Physical and chemical changes undergone by pericarp and endosperm during corn nixtamalization-A review. J. Cereal Sci. 2018, 81, 108–117. [Google Scholar] [CrossRef]
- Figueroa, J.d.D.; Véles Medina, J.J.; Hernández Landaverde, M.A.; Aragón Cuevas, F.; Gaytán Martínez, M.; Chávez Martínez, E.; Palacios, N.; Willcox, M. Effect of annealing from traditional nixtamalisation process on the microstructural, thermal, and rheological properties of starch and quality of pozole. J. Cereal Sci. 2013, 58, 457–464. [Google Scholar] [CrossRef]
- Ramírez-Jiménez, A.K.; Rangel-Hernández, J.; Morales-Sánchez, E.; Loarca-Piña, G.; Gaytán-Martínez, M. Changes on the phytochemicals profile of instant corn flours obtained by traditional nixtamalization and ohmic heating process. Food Chem. 2019, 276, 57–62. [Google Scholar] [CrossRef] [PubMed]
- Ramírez-Araujo, H.; Gaytán-Martínez, M.; Reyes-Vega, M.L. Alternative technologies to the traditional nixtamalization process: Review. Trends Food Sci. Technol. 2019, 85, 34–43. [Google Scholar] [CrossRef]
- Enríquez-Castro, C.M.; Torres-Chávez, P.I.; Ramírez-Wong, B.; Quintero-Ramos, A.; Ledesma-Osuna, A.I.; López-Cervantes, J.; Gerardo-Rodríguez, J.E. Physicochemical, rheological, and morphological characteristics of products from traditional and extrusion nixtamalization processes and their relation to starch. Int. J. Food Sci. 2020, 2020, 5927670. [Google Scholar] [CrossRef]
- Santiago-Ramos, D.; Figueroa, J.D.D.; Juan, V.; Ramos, M.; Gayt, M.; Morales, E. Effects of annealing and concentration of calcium salts on thermal and rheological properties of maize starch during an ecological nixtamalization process. Cereal Chem. 2015, 92, 475–480. [Google Scholar] [CrossRef]
- Vázquez-Carrillo, M.G.; Santiago-Ramos, D.; Domínguez-Rendón, E.; Audelo-Benites, M.A. Effects of two different Pozole preparation processes on quality variables and pasting properties of processed maize grain. J. Food Q. 2017, 2017, 1–15. [Google Scholar] [CrossRef]
- Ranum, P.; Peña-Rosas, J.P.; Garcia-Casal, M.N. Global maize production, utilization, and consumption. Ann. N. Y. Acad. Sci. 2014, 1312, 105–112. [Google Scholar] [CrossRef]
- Pereira, V.L.; Fernandes, J.O.; Cunha, S.C. Mycotoxins in cereals and related foodstuffs: A review on occurrence and recent methods of analysis. Trends Food Sci. Technol. 2014, 36, 96–136. [Google Scholar] [CrossRef]
- Hassan, Z.U.; Al-Thani, R.F.; Migheli, Q.; Jaoua, S. Detection of toxigenic mycobiota and mycotoxins in cereal feed market. Food Control 2018, 84, 389–394. [Google Scholar] [CrossRef]
- Oldenburg, E. Fusarium diseases of maize associated with mycotoxin contamination of agricultural products intended to be used for food and feed. Mycotoxin Res. 2017. [Google Scholar] [CrossRef] [PubMed]
- Karlovsky, P.; Suman, M.; Berthiller, F.; De Meester, J.; Eisenbrand, G.; Perrin, I.; Oswald, I.P.; Speijers, G.; Chiodini, A.; Recker, T.; et al. Impact of food processing and detoxification treatments on mycotoxin contamination. Mycotoxin Res. 2016, 32, 179–205. [Google Scholar] [CrossRef] [PubMed]
- Mayer, E.; Novak, B.; Springler, A.; Schwartz-Zimmermann, H.E.; Nagl, V.; Reisinger, N.; Hessenberger, S.; Schatzmayr, G. Effects of deoxynivalenol (DON) and its microbial biotransformation product deepoxy-deoxynivalenol (DOM-1) on a trout, pig, mouse, and human cell line. Mycotoxin Res. 2017, 33, 297–308. [Google Scholar] [CrossRef] [PubMed]
- Humpf, H.U.; Voss, K.A. Effects of thermal food processing on the chemical structure and toxicity of fumonisin mycotoxins. Mol. Nutr. Food Res. 2004, 48, 255–269. [Google Scholar] [CrossRef]
- Matumba, L.; Van Poucke, C.; Njumbe Ediage, E.; Jacobs, B.; De Saeger, S. Effectiveness of hand sorting, flotation/washing, dehulling and combinations thereof on the decontamination of mycotoxin-contaminated white maize. Food Addit. Contam. Part A 2015, 32, 960–969. [Google Scholar] [CrossRef]
- Fandohan, P.; Zoumenou, D.; Hounhouigan, D.J.; Marasas, W.F.O.; Wingfield, M.J.; Hell, K. Fate of aflatoxins and fumonisins during the processing of maize into food products in Benin. Int. J. Food Microbiol. 2005, 98, 249–259. [Google Scholar] [CrossRef]
- Shetty, P.H.; Bhat, R.V. A physical method for segregation of fumonisin-contaminated maize. Food Chem. 1999, 66, 371–374. [Google Scholar] [CrossRef]
- Park, J.W.; Scott, P.M.; Lau, B.P.Y. Analysis of N-fatty acyl fumonisins in alkali-processed corn foods. Food Sci. Biotechnol. 2013, 22, 147–152. [Google Scholar] [CrossRef]
- Fandohan, P.; Ahouansou, R.; Houssou, P.; Hell, K.; Marasas, W.F.O.; Wingfield, M.J. Impact of mechanical shelling and dehulling on Fusarium infection and fumonisin contamination in maize. Food Addit. Contam. 2006, 23, 415–421. [Google Scholar] [CrossRef]
- Ryu, D.; Jackson, L.S.; Bullerman, L.B. Effects of Processing on Zearalenone. In Mycotoxins and Food Safety. Advances in Experimental Medicine and Biology; De Vries, J.W., Trucksess, M.W., Jackson, L.S., Eds.; Springer: Boston, MA, USA, 2002; Volume 504, pp. 205–216. [Google Scholar] [CrossRef]
- Freire, L.; Sant’Ana, A.S. Modified mycotoxins: An updated review on their formation, detection, occurrence, and toxic effects. Food Chem. Toxicol. 2018, 111, 189–205. [Google Scholar] [CrossRef]
- Hernández-Becerra, E.; Gutierrez-Oñate, M.P.; Martinez-Soto, G.; Vega-Rojas, L.J.; Acosta-Osorio, A.A.; Contreras-Padilla, M.; Rodríguez-García, M.E. Physicochemical characterization of corn–sorghum nixtamalized flours as a function of the steeping time. J. Food Measur. Charact. 2016, 10, 434–443. [Google Scholar] [CrossRef]
- Jackson, D.S.; Sahai, D.U.S. Enzymatic Process for Nixtamalization of Cereal Grains. U.S. Patent No. 6,428,828, 6 August 2002. [Google Scholar]
- Pappa, M.R.; de Palomo, P.P.; Bressani, R. Effect of lime and wood ash on the nixtamalization of maize and tortilla chemical and nutritional characteristics. Plant Foods Hum. Nutr. 2010, 65, 130–135. [Google Scholar] [CrossRef] [PubMed]
- De Girolamo, A.; Lattanzio, V.M.T.; Schena, R.; Visconti, A.; Pascale, M. Effect of alkaline cooking of maize on the content of fumonisins B1 and B2 and their hydrolysed forms. Food Chem. 2016, 192, 1083–1089. [Google Scholar] [CrossRef] [PubMed]
- Medina, A.; Magan, N. Temperature and water activity effects on production of T-2 and HT-2 by Fusarium langsethiae strains from north European countries. Food Microbiol. 2011, 28, 392–398. [Google Scholar] [CrossRef] [PubMed]
- Villada, J.A.; Sánchez-Sinencio, F.; Zelaya-Ángel, O. Gutiérrez-Cortez, E.; Rodríguez-García, M.E. Study of the morphological, structural, thermal, and pasting corn transformation during the traditional nixtamalization process: From corn to tortilla. J. Food Eng. 2017, 212, 242–251. [Google Scholar] [CrossRef]
- Njumbe Ediage, E.; Van Poucke, C.; De Saeger, S. A multi-analyte LC-MS/MS method for the analysis of 23 mycotoxins in different sorghum varieties: The forgotten sample matrix. Food Chem. 2015, 177, 397–404. [Google Scholar] [CrossRef]







| Mycotoxins | Maize LOD | Maize LOQ | Maize Recovery | Sorghum LOD | Sorghum LOQ | Sorghum Recovery |
|---|---|---|---|---|---|---|
| FB1 | 1.0 | 2.9 | 100.0 | 0.8 | 2.4 | 107.0 |
| FB2 | 0.6 | 1.7 | 99.0 | 0.2 | 0.7 | 100.0 |
| FB3 | 0.6 | 1.7 | 102.0 | 0.5 | 1.6 | 90.0 |
| DON | 3.1 | 9.2 | 102.0 | N/A | N/A | N/A |
| NIV | 3.5 | 10.6 | 99.0 | N/A | N/A | N/A |
| ZEN | 1.1 | 3.5 | 107.0 | N/A | N/A | N/A |
| Fusarium Mycotoxins | Purchased Maize (µg/kg) | Inoculated Maize (µg/kg) | Washed Maize (µg/kg) | Reduction (% R) |
|---|---|---|---|---|
| FB1 | <LOD | 2470.5 b ± 346.4 | 661.5 a ± 243.6 | 73.2 |
| FB2 | <LOD | 604.7 b ± 84.9 | 204.6 a ± 79.7 | 66.0 |
| FB3 | <LOD | 409.0 b ± 59.5 | 162.9 a ± 24.8 | 60.0 |
| Total FBs | <LOD | 3884.3 b ± 482.0 | 1029.0 a ± 344.3 | 73.5 |
| DON | <LOD | 330.9 b ± 17.6 | 224.3 a ± 67.9 | 32.3 |
| NIV | <LOD | 104.9 ± 15.5 | <LOD | 100.0 |
| ZEN | <LOD | 15.9 a ± 2.5 | 15.0 a ± 4.9 | 6.2 |
| Fusarium Mycotoxins | Purchased Sorghum (µg/kg) | Inoculated Sorghum (µg/kg) | Washed Sorghum (µg/kg) | Reduction (% R) |
|---|---|---|---|---|
| FB1 | <LOD | 816.7 b ± 346 | 416.5 a ± 244 | 49.0 |
| FB2 | <LOD | 1079.3 b ± 134.3 | 362 a ± 159.6 | 66.4 |
| FB3 | <LOD | 1364.8 b ± 196.8 | 563.3 a ± 212.5 | 58.7 |
| Total FBs | <LOD | 3260.9 b ± 397.3 | 1341.8 a ± 365.3 | 58.8 |
Publisher’s Note: MDPI stays neutral with regard to jurisdictional claims in published maps and institutional affiliations. |
© 2021 by the authors. Licensee MDPI, Basel, Switzerland. This article is an open access article distributed under the terms and conditions of the Creative Commons Attribution (CC BY) license (http://creativecommons.org/licenses/by/4.0/).
Share and Cite
Odukoya, J.O.; De Saeger, S.; De Boevre, M.; Adegoke, G.O.; Audenaert, K.; Croubels, S.; Antonissen, G.; Vermeulen, K.; Gbashi, S.; Njobeh, P.B. Effect of Selected Cooking Ingredients for Nixtamalization on the Reduction of Fusarium Mycotoxins in Maize and Sorghum. Toxins 2021, 13, 27. https://doi.org/10.3390/toxins13010027
Odukoya JO, De Saeger S, De Boevre M, Adegoke GO, Audenaert K, Croubels S, Antonissen G, Vermeulen K, Gbashi S, Njobeh PB. Effect of Selected Cooking Ingredients for Nixtamalization on the Reduction of Fusarium Mycotoxins in Maize and Sorghum. Toxins. 2021; 13(1):27. https://doi.org/10.3390/toxins13010027
Chicago/Turabian StyleOdukoya, Julianah Olayemi, Sarah De Saeger, Marthe De Boevre, Gabriel Olaniran Adegoke, Kris Audenaert, Siska Croubels, Gunther Antonissen, Karel Vermeulen, Sefater Gbashi, and Patrick Berka Njobeh. 2021. "Effect of Selected Cooking Ingredients for Nixtamalization on the Reduction of Fusarium Mycotoxins in Maize and Sorghum" Toxins 13, no. 1: 27. https://doi.org/10.3390/toxins13010027
APA StyleOdukoya, J. O., De Saeger, S., De Boevre, M., Adegoke, G. O., Audenaert, K., Croubels, S., Antonissen, G., Vermeulen, K., Gbashi, S., & Njobeh, P. B. (2021). Effect of Selected Cooking Ingredients for Nixtamalization on the Reduction of Fusarium Mycotoxins in Maize and Sorghum. Toxins, 13(1), 27. https://doi.org/10.3390/toxins13010027

