Influence of Genetic Polymorphisms and Biochemical Biomarkers on Response to Nutritional Iron Supplementation and Performance in a Professional Football Team: A Pilot Longitudinal Study
Abstract
1. Introduction
2. Materials and Methods
2.1. Participants
2.2. DNA Sample Collection and Genotyping
2.3. Biochemical Data Recording
2.4. Performance Demands
2.5. Iron Supplementation Protocol
2.6. Polygenic Profile of Selected Genes
2.7. Statistical Analysis
3. Results
3.1. TGS and Iron Supplementation
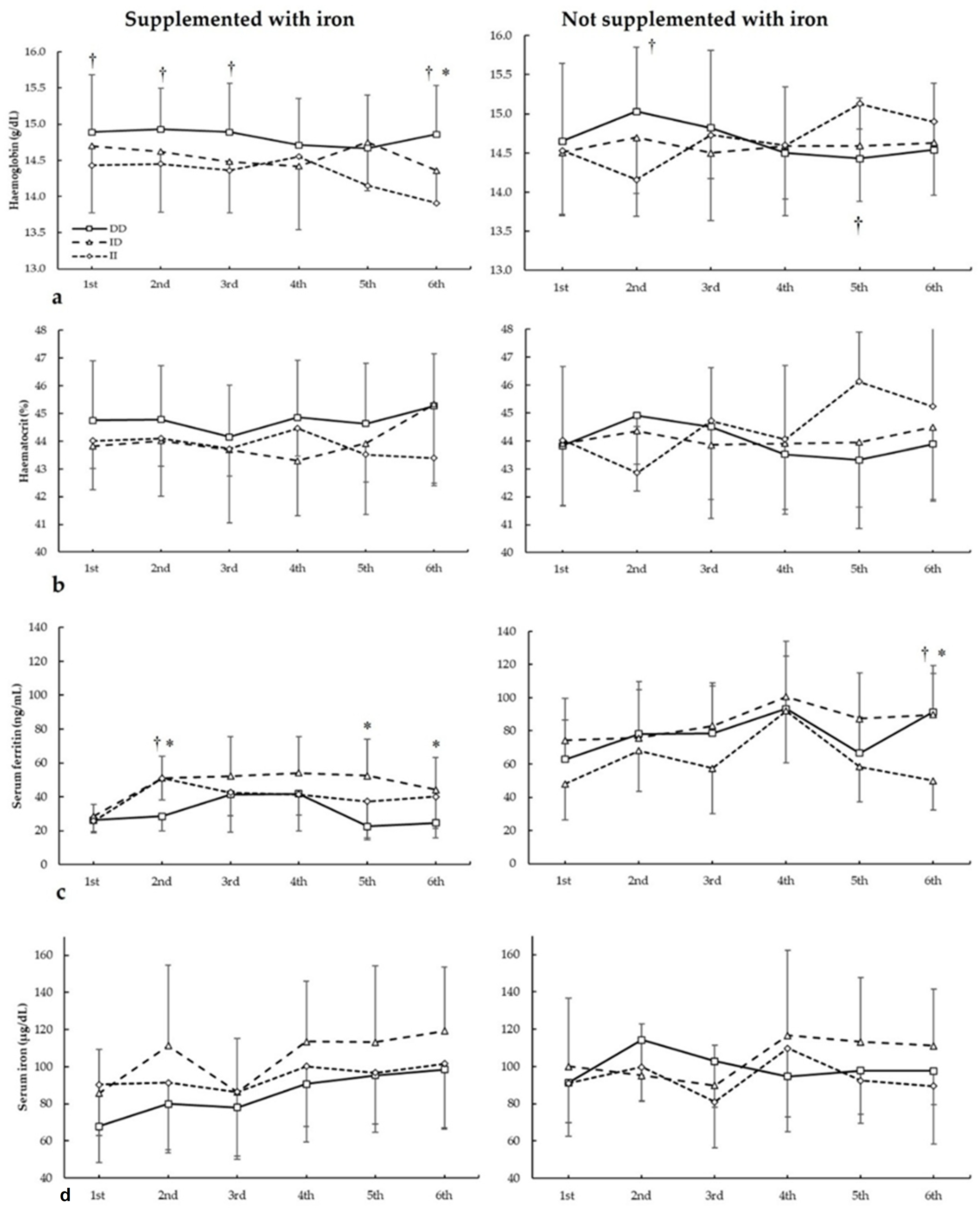
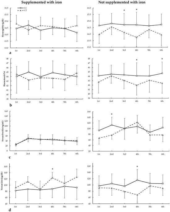
3.2. Biochemical Markers and ACE I/D Genotypes
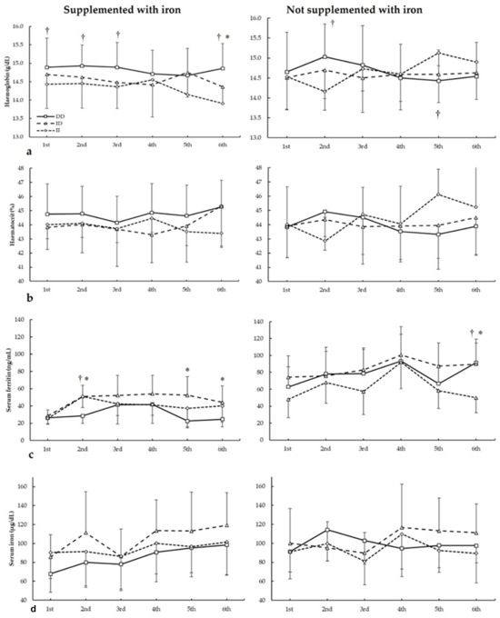
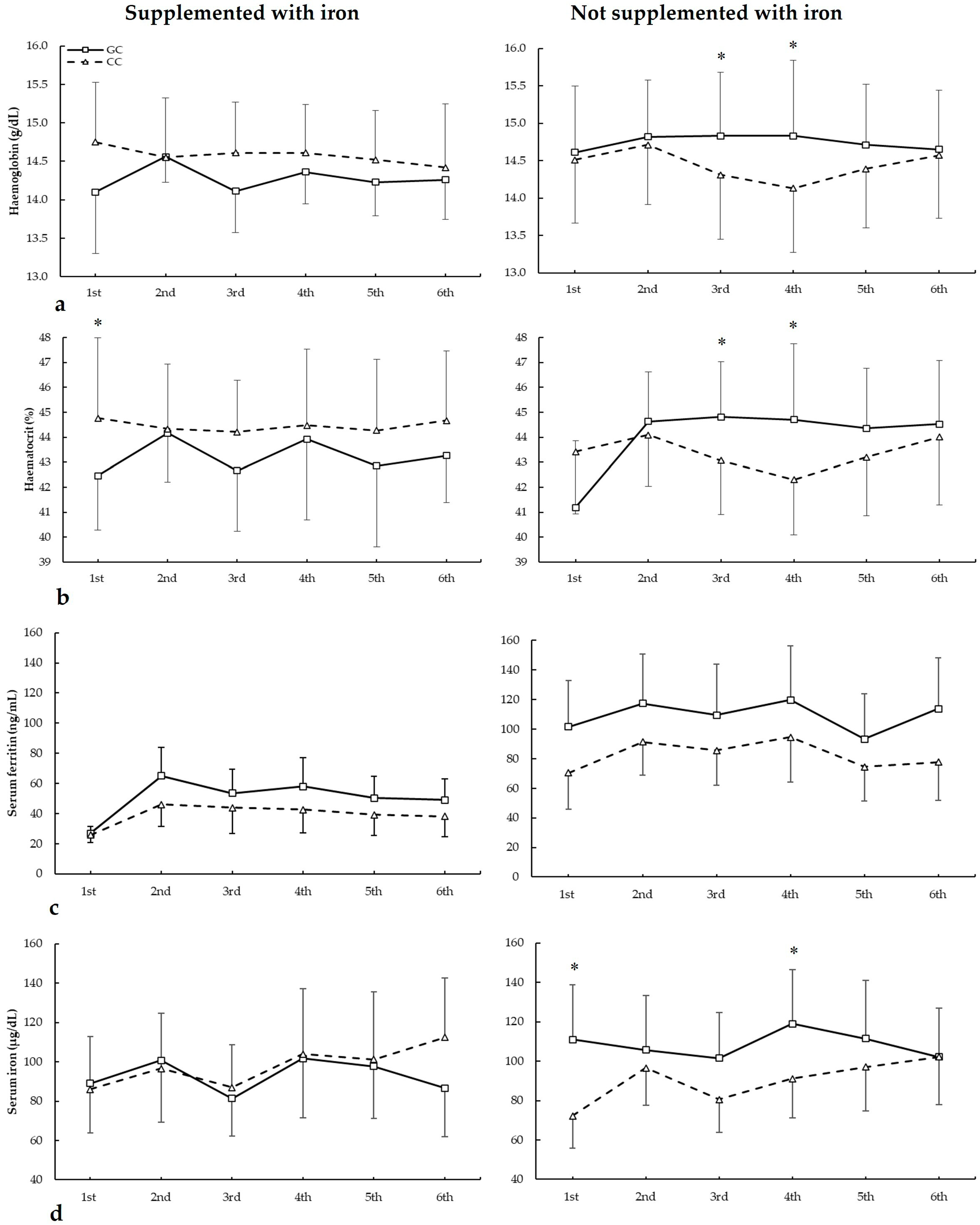
3.3. Biochemical Markers and ACTN3 c.1729C>T Genotypes
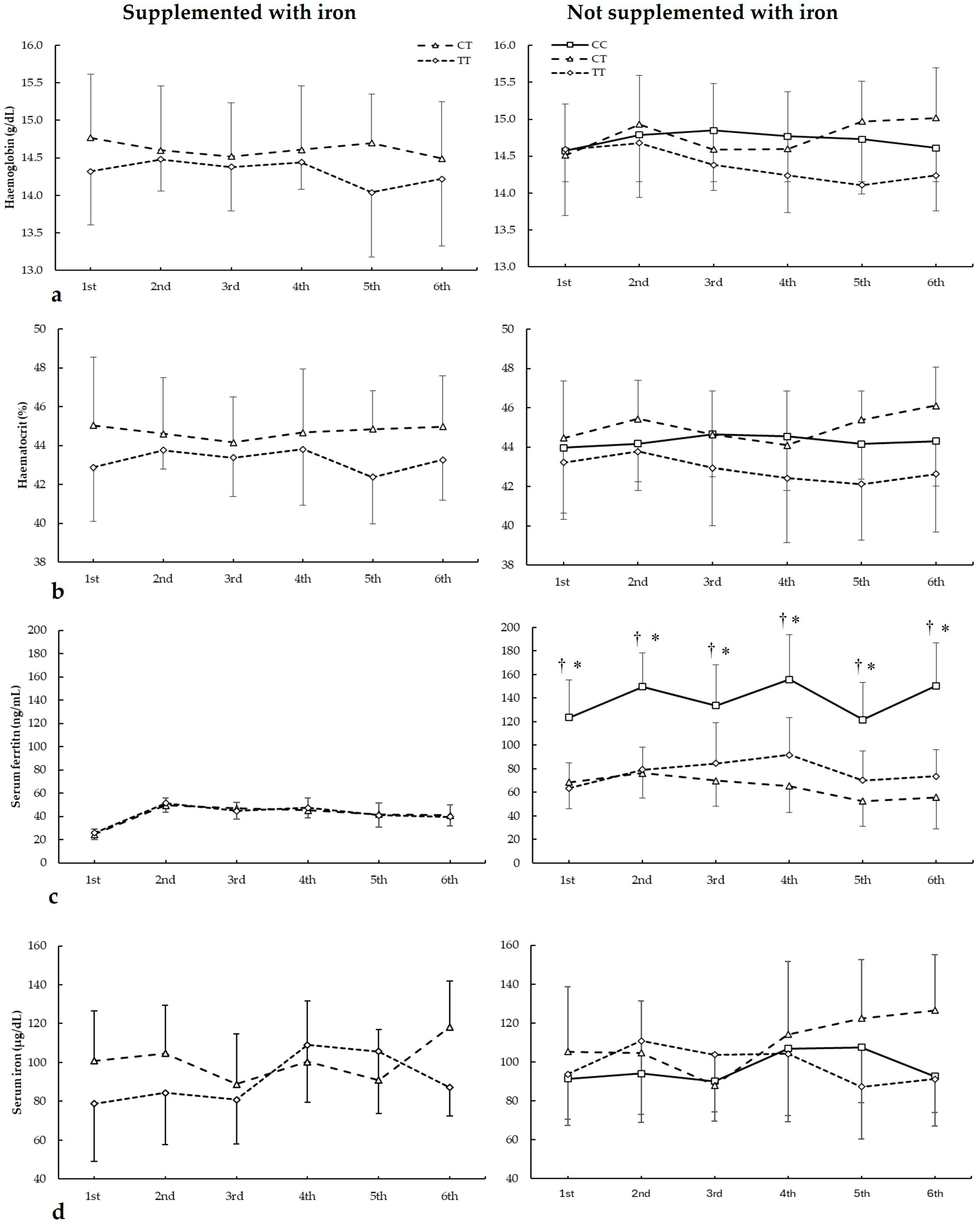
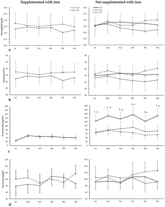
3.4. Biochemical Markers and AMPD1 c.34C>T Genotypes
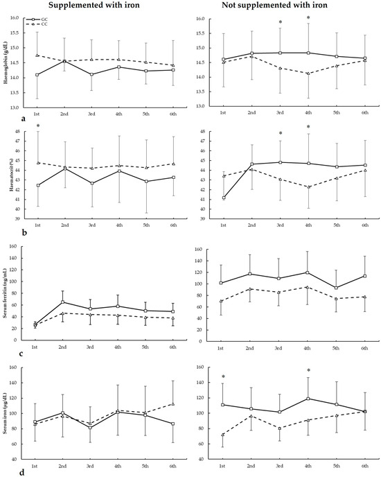
3.5. Biochemical Markers and HFE c.187C>G Genotypes
4. Discussion
4.1. Iron Supplementation
4.2. Genetic Profile and Iron Supplementation
4.3. Association of TGS with Performance in Professional Football Players
4.4. Limitations
5. Conclusions
Funding
Institutional Review Board Statement
Informed Consent Statement
Data Availability Statement
Acknowledgments
Conflicts of Interest
References
- Kahya, S.; Taheri, M. Exploring the Nexus between Sports Performance and Genetics: A Comprehensive Literature Review. Cell Mol. Biol. 2024, 70, 275–283. [Google Scholar] [CrossRef]
- Bedrač, L.; Deutsch, L.; Terzić, S.; Červek, M.; Šelb, J.; Ašič, U.; Verstraeten, L.M.G.; Kuščer, E.; Cvetko, F. Towards Precision Sports Nutrition for Endurance Athletes: A Scoping Review of Application of Omics and Wearables Technologies. Nutrients 2024, 16, 3943. [Google Scholar] [CrossRef]
- Solberg, A.; Reikvam, H. Iron Status and Physical Performance in Athletes. Life 2023, 13, 2007. [Google Scholar] [CrossRef] [PubMed]
- Kuwabara, A.M.; Tenforde, A.S.; Finnoff, J.T.; Fredericson, M. Iron Deficiency in Athletes: A Narrative Review. PM&R 2022, 14, 620–642. [Google Scholar]
- Keul, J.; Jakob, E.; Berg, A.; Dickhuth, H.H.; Lehmann, M. Zur Wirkung von Vitaminen Und Eisen Auf Die Leistungs-Und Erholungsfähigkeit Des Menschen Und Die Sportanämie. Z. Ernahrungswiss 1987, 26, 21–42. [Google Scholar] [CrossRef]
- van der Beek, E.J. Vitamins and Endurance Training Food for Running or Faddish Claims? Sports Med. 1985, 2, 175–197. [Google Scholar] [CrossRef] [PubMed]
- Van Der Beek, E.J.; Van Dokkum, W.; Schrijver, J.; Wedel, M.; Gaillard, A.W.K.; wesstra, A.; Van De Weerd, H.; Hermus, R.J.J. Thiamin, Riboflavin, and Vitamins B-6 and C: Impact of Combined Restricted Intake on Functional Performance in Man. Am. J. Clin. Nutr. 1988, 48, 1451–1462. [Google Scholar] [CrossRef]
- Clénin, G.E.; Cordes, M.; Huber, A.; Schumacher, Y.O.; Noack, P.; Scales, J.; Kriemler, S. Iron Deficiency in Sports-Definition, Influence on Performance and Therapy: Consensus Statement of the Swiss Society of Sports Medicine. Swiss Med. Wkly. 2015, 145, w14196. [Google Scholar]
- Keller, K.; Friedrich, O.; Treiber, J.; Quermann, A.; Friedmann-Bette, B. Iron Deficiency in Athletes: Prevalence and Impact on VO2 Peak. Nutrition 2024, 126, 112516. [Google Scholar] [CrossRef]
- Rubeor, A.; Goojha, C.; Manning, J.; White, J. Does Iron Supplementation Improve Performance in Iron-Deficient Nonanemic Athletes? Sports Health 2018, 10, 400–405. [Google Scholar] [CrossRef]
- Nabeyama, T.; Suzuki, Y.; Saito, H.; Yamamoto, K.; Sakane, M.; Sasaki, Y.; Shindo, H.; Takita, M.; Kami, M. Prevalence of Iron-Deficient but Non-Anemic University Athletes in Japan: An Observational Cohort Study. J. Int. Soc. Sports Nutr. 2023, 20, 2284948. [Google Scholar] [CrossRef] [PubMed]
- Larsuphrom, P.; Latunde-Dada, G.O. Association of Serum Hepcidin Levels with Aerobic and Resistance Exercise: A Systematic Review. Nutrients 2021, 13, 393. [Google Scholar] [CrossRef]
- Peeling, P.; Sim, M.; Badenhorst, C.E.; Dawson, B.; Govus, A.D.; Abbiss, C.R.; Swinkels, D.W.; Trinder, D. Iron Status and the Acute Post-Exercise Hepcidin Response in Athletes. PLoS ONE 2014, 9, e93002. [Google Scholar] [CrossRef]
- Garza, D.; Shrier, I.; Kohl, H.W.; Ford, P.; Brown, M.; Matheson, G.O. The Clinical Value of Serum Ferritin Tests in Endurance Athletes. Clin. J. Sport Med. 1997, 7, 46–53. [Google Scholar] [CrossRef]
- Nielsen, P.; Nachtigall, D. Iron Supplementation in Athletes. Current Recommendations. Sports Med. 1998, 26, 207–216. [Google Scholar] [CrossRef] [PubMed]
- Pitsis, G.C.; Fallon, K.E.; Fallon, S.K.; Fazakerley, R. Response of Soluble Transferrin Receptor and Iron-Related Parameters to Iron Supplementation in Elite, Iron-Depleted, Nonanemic Female Athletes. Clin. J. Sport Med. 2004, 14, 300–304. [Google Scholar] [CrossRef]
- Lamanca, J.J.; Haymes, E.M. Effects of Iron Repletion on VO2max, Endurance, and Blood Lactate in Women. Med. Sci. Sports Exerc. 1993, 25, 1386–1392. [Google Scholar] [CrossRef] [PubMed]
- Latunde-Dada, G.O. Iron Metabolism in Athletes—Achieving a Gold Standard. Eur. J. Haematol. 2013, 90, 10–15. [Google Scholar] [CrossRef]
- Damian, M.-T.; Vulturar, R.; Login, C.C.; Damian, L.; Chis, A.; Bojan, A. Anemia in Sports: A Narrative Review. Life 2021, 11, 987. [Google Scholar] [CrossRef]
- Chatard, J.C.; Mujika, I.; Guy, C.; Lacour, J.R. Anaemia and Iron Deficiency in Athletes. Practical Recommendations for Treatment. Sports Med. 1999, 27, 229–240. [Google Scholar] [CrossRef]
- Schaefer, B.; Meindl, E.; Wagner, S.; Tilg, H.; Zoller, H. Intravenous Iron Supplementation Therapy. Mol. Aspects Med. 2020, 75, 100862. [Google Scholar] [CrossRef] [PubMed]
- Garvican, L.A.; Saunders, P.U.; Cardoso, T.; Macdougall, I.C.; Lobigs, L.M.; Fazakerley, R.; Fallon, K.E.; Anderson, B.; Anson, J.M.; Thompson, K.G.; et al. Intravenous Iron Supplementation in Distance Runners with Low or Suboptimal Ferritin. Med. Sci. Sports Exerc. 2014, 46, 376–385. [Google Scholar] [CrossRef]
- Šmid, A.N.; Golja, P.; Hadžić, V.; Abazović, E.; Drole, K.; Paravlic, A.H. Effects of Oral Iron Supplementation on Blood Iron Status in Athletes: A Systematic Review, Meta-Analysis and Meta-Regression of Randomized Controlled Trials. Sports Med. 2024, 54, 1231–1247. [Google Scholar] [CrossRef] [PubMed]
- McLaren, C.E.; Barton, J.C.; Adams, P.C.; Harris, E.L.; Acton, R.T.; Press, N.; Reboussin, D.M.; McLaren, G.D.; Sholinsky, P.; Walker, A.P.; et al. Hemochromatosis and Iron Overload Screening (HEIRS) Study Design for an Evaluation of 100,000 Primary Care-Based Adults. Am. J. Med. Sci. 2003, 325, 53–62. [Google Scholar] [CrossRef]
- Zoller, H.; Vogel, W. Iron Supplementation in Athletes—First Do No Harm. Nutrition 2004, 20, 615–619. [Google Scholar] [CrossRef] [PubMed]
- Kawabata, H. Transferrin and Transferrin Receptors Update. Free Radic. Biol. Med. 2019, 133, 46–54. [Google Scholar] [CrossRef]
- Brissot, P.; Pietrangelo, A.; Adams, P.C.; De Graaff, B.; McLaren, C.E.; Loreál, O. Haemochromatosis. Nat. Rev. Dis. Primers 2018, 4, 18016. [Google Scholar] [CrossRef]
- Allen, A.; Premawardhena, A.; Allen, S.; Rodrigo, R.; Manamperi, A.; Perera, L.; Wray, K.; Armitage, A.; Fisher, C.; Drakesmith, A.; et al. The p.H63D Allele of the HFE Gene Protects against Low Iron Stores in Sri Lanka. Blood Cells Mol. Dis. 2019, 76, 72–77. [Google Scholar] [CrossRef]
- Semenova, E.A.; Miyamoto-Mikami, E.; Akimov, E.B.; Al-Khelaifi, F.; Murakami, H.; Zempo, H.; Kostryukova, E.S.; Kulemin, N.A.; Larin, A.K.; Borisov, O.V.; et al. The Association of HFE Gene H63D Polymorphism with Endurance Athlete Status and Aerobic Capacity: Novel Findings and a Meta-Analysis. Eur. J. Appl. Physiol. 2020, 120, 665–673. [Google Scholar] [CrossRef]
- Åsberg, A.; Hveem, K.; Thorstensen, K.; Ellekjær, E.; Kannelønning, K.; Fjøsne, U.; Halvorsen, T.B.; Smethurst, H.B.G.; Sagen, E.; Bjerve, K.S. Screening for Hemochromatosis: High Prevalence and Low Morbidity in an Unselected Population of 65,238 Persons. Scand. J. Gastroenterol. 2001, 36, 1108–1115. [Google Scholar] [CrossRef]
- Andersen, R.V.; Tybjærg-Hansen, A.; Appleyard, M.; Birgens, H.; Nordestgaard, B.G. Hemochromatosis Mutations in the General Population: Iron Overload Progression Rate. Blood 2004, 103, 2914–2919. [Google Scholar] [CrossRef]
- Varillas-Delgado, D.; Del Coso, J.; Gutiérrez-Hellín, J.; Aguilar-Navarro, M.; Muñoz, A.; Maestro, A.; Morencos, E. Genetics and Sports Performance: The Present and Future in the Identification of Talent for Sports Based on DNA Testing. Eur. J. Appl. Physiol. 2022, 122, 1811–1830. [Google Scholar] [CrossRef] [PubMed]
- Varillas-Delgado, D.; Morencos, E.; Gutiérrez-Hellín, J.; Aguilar-Navarro, M.; Muñoz, A.; Láiz, N.M.; Perucho, T.; Maestro, A.; Tellería-Orriols, J.J. Genetic Profiles to Identify Talents in Elite Endurance Athletes and Professional Football Players. PLoS ONE 2022, 17, e0274880. [Google Scholar] [CrossRef] [PubMed]
- Maestro, A.; Del Coso, J.; Aguilar-Navarro, M.; Gutiérrez-Hellín, J.; Morencos, E.; Revuelta, G.; Ruiz Casares, E.; Perucho, T.; Varillas-Delgado, D. Genetic Profile in Genes Associated with Muscle Injuries and Injury Etiology in Professional Soccer Players. Front. Genet. 2022, 13, 1035899. [Google Scholar] [CrossRef]
- Harrison, P.W.; Amode, M.R.; Austine-Orimoloye, O.; Azov, A.G.; Barba, M.; Barnes, I.; Becker, A.; Bennett, R.; Berry, A.; Bhai, J.; et al. Ensembl 2024. Nucleic Acids Res. 2024, 52, D891–D899. [Google Scholar] [CrossRef]
- Fiuza-Luces, C.; Ruiz, J.R.; Rodríguez-Romo, G.; Santiago, C.; Gómez-Gallego, F.; Cano-Nieto, A.; Garatachea, N.; Rodríguez-Moreno, I.; Morán, M.; Lucia, A. Is the ACE I/D Polymorphism Associated with Extreme Longevity? A Study on a Spanish Cohort. JRAAS J. Renin-Angiotensin-Aldosterone Syst. 2011, 12, 202–207. [Google Scholar] [CrossRef] [PubMed]
- Hernández-Belmonte, A.; Bastida-Castillo, A.; Gómez-Carmona, C.D.; Pino-Ortega, J. Validity and Reliability of an Inertial Device (WIMU PRO TM) to Quantify Physical Activity Level through Steps Measurement. J. Sports Med. Phys. Fit. 2019, 59, 587–592. [Google Scholar] [CrossRef]
- Von Drygalski, A.; Adamson, J.W. Iron Metabolism in Man. J. Parenter. Enter. Nutr. 2013, 37, 599–606. [Google Scholar] [CrossRef]
- Govus, A.D.; Garvican-Lewis, L.A.; Abbiss, C.R.; Peeling, P.; Gore, C.J. Pre-Altitude Serum Ferritin Levels and Daily Oral Iron Supplement Dose Mediate Iron Parameter and Hemoglobin Mass Responses to Altitude Exposure. PLoS ONE 2015, 10, e0135120. [Google Scholar] [CrossRef]
- Williams, A.G.; Folland, J.P. Similarity of Polygenic Profiles Limits the Potential for Elite Human Physical Performance. J. Physiol. 2008, 586, 113–121. [Google Scholar] [CrossRef]
- Weir, B.S.; Hill, W.G. Estimating F-Statistics. Annu. Rev. Genet. 2002, 36, 721–750. [Google Scholar] [CrossRef] [PubMed]
- Zweig, M.H.; Campbell, G. Receiver-Operating Characteristic (ROC) Plots: A Fundamental Evaluation Tool in Clinical Medicine. Clin. Chem. 1993, 39, 561–577. [Google Scholar] [CrossRef] [PubMed]
- Woods, D.R.; World, M.; Rayson, M.P.; Williams, A.G.; Jubb, M.; Jamshidi, Y.; Hayward, M.; Mary, D.A.S.G.; Humphries, S.E.; Montgomery, H.E. Endurance Enhancement Related to the Human Angiotensin I-Converting Enzyme I-D Polymorphism Is Not Due to Differences in the Cardiorespiratory Response to Training. Eur. J. Appl. Physiol. 2002, 86, 240–244. [Google Scholar] [CrossRef] [PubMed]
- Puthucheary, Z.; Skipworth, J.R.A.; Rawal, J.; Loosemore, M.; Van Someren, K.; Montgomery, H.E. The ACE Gene and Human Performance: 12 Years On. Sports Med. 2011, 41, 433–448. [Google Scholar] [CrossRef]
- Jones, A.; Montgomery, H.E.; Woods, D.R. Human Performance: A Role for the ACE Genotype? Exerc. Sport Sci. Rev. 2002, 30, 184–190. [Google Scholar] [CrossRef]
- Yang, N.; MacArthur, D.G.; Gulbin, J.P.; Hahn, A.G.; Beggs, A.H.; Easteal, S.; North, K. ACTN3 Genotype Is Associated with Human Elite Athletic Performance. Am. J. Hum. Genet. 2003, 73, 627–631. [Google Scholar] [CrossRef]
- Ma, F.; Yang, Y.; Li, X.; Zhou, F.; Gao, C.; Li, M.; Gao, L. The Association of Sport Performance with ACE and ACTN3 Genetic Polymorphisms: A Systematic Review and Meta-Analysis. PLoS ONE 2013, 8, e54685. [Google Scholar] [CrossRef]
- Sierra, A.P.R.; Oliveira, R.A.; Silva, E.D.; Lima, G.H.O.; Benetti, M.P.; Kiss, M.A.P.; Sierra, C.A.; Ghorayeb, N.; Seto, J.T.; Pesquero, J.B.; et al. Association Between Hematological Parameters and Iron Metabolism Response After Marathon Race and ACTN3 Genotype. Front. Physiol. 2019, 10, 697. [Google Scholar] [CrossRef]
- Wang, C.-Y.; Meynard, D.; Lin, H.Y. The Role of TMPRSS6/Matriptase-2 in Iron Regulation and Anemia. Front. Pharmacol. 2014, 5, 114. [Google Scholar] [CrossRef]
- Beutler, E. Hemochromatosis: Genetics and Pathophysiology. Annu. Rev. Med. 2006, 57, 331–347. [Google Scholar] [CrossRef]
- Camaschella, C.; Nai, A.; Silvestri, L. Iron Metabolism and Iron Disorders Revisited in the Hepcidin Era. Haematologica 2020, 105, 260–272. [Google Scholar] [CrossRef]
- Collins, J.; Maughan, R.J.; Gleeson, M.; Bilsborough, J.; Jeukendrup, A.; Morton, J.P.; Phillips, S.M.; Armstrong, L.; Burke, L.M.; Close, G.L.; et al. UEFA Expert Group Statement on Nutrition in Elite Football. Current Evidence to Inform Practical Recommendations and Guide Future Research. Br. J. Sports Med. 2021, 55, 416. [Google Scholar] [CrossRef]
- Abreu, R.; Oliveira, C.B.; Costa, J.A.; Brito, J.; Teixeira, V.H. Effects of Dietary Supplements on Athletic Performance in Elite Soccer Players: A Systematic Review. J. Int. Soc. Sports Nutr. 2023, 20, 2236060. [Google Scholar] [CrossRef]
- Hinton, P.S.; Sinclair, L.M. Iron Supplementation Maintains Ventilatory Threshold and Improves Energetic Efficiency in Iron-Deficient Nonanemic Athletes. Eur. J. Clin. Nutr. 2007, 61, 30–39. [Google Scholar] [CrossRef] [PubMed]
- Kaufman, M.W.; Roche, M.; Fredericson, M. The Impact of Supplements on Sports Performance for the Trained Athlete: A Critical Analysis. Curr. Sports Med. Rep. 2022, 21, 232–238. [Google Scholar] [CrossRef] [PubMed]
- Knapik, J.J.; Steelman, R.A.; Hoedebecke, S.S.; Austin, K.G.; Farina, E.K.; Lieberman, H.R. Prevalence of Dietary Supplement Use by Athletes: Systematic Review and Meta-Analysis. Sports Med. 2016, 46, 103–123. [Google Scholar] [CrossRef]
- Pengelly, M.; Pumpa, K.; Pyne, D.B.; Etxebarria, N. Iron Deficiency, Supplementation, and Sports Performance in Female Athletes: A Systematic Review. J. Sport Health Sci. 2024, 14, 101009. [Google Scholar] [CrossRef] [PubMed]
- Varillas-Delgado, D. Association of Iron Supplementation, HFE and AMPD1 Polymorphisms and Biochemical Iron Metabolism Parameters in the Performance of a Men’s World Tour Cycling Team: A Pilot Study. J. Trace Elem. Med. Biol. 2024, 84, 127470. [Google Scholar] [CrossRef]
- McCormick, R.; Sim, M.; Dawson, B.; Peeling, P. Refining Treatment Strategies for Iron Deficient Athletes. Sports Med. 2020, 50, 2111–2123. [Google Scholar] [CrossRef]
- Fensham, N.; McKay, A.K.A.; Sim, M.; Peeling, P. Parenteral Iron Therapy: Examining Current Evidence for Use in Athletes. Int. J. Sports Med. 2024, 45, 496–503. [Google Scholar] [CrossRef]
- Allahyari, P.; Shekari, S.; Aminnezhad Kavkani, B.; Ahmadzadeh, M.; Hassanpour Ardekanizadeh, N.; Saeedirad, Z.; Ghorbani Hesari, M.; Bahar, B.; Shafaei, H.; Khalatbari Mohseni, G.; et al. The Efficacy of Dietary Supplements on Health Status and Performance of Football Players: A Systematic Review. J. Basic. Clin. Physiol. Pharmacol. 2025. [Google Scholar] [CrossRef] [PubMed]
- Dugan, C.; Peeling, P.; Burden, R.; Richards, T. Efficacy of Iron Supplementation on Physical Capacity in Non-Anaemic Iron-Deficient Individuals: Protocol for an Individual Patient Data Meta-Analysis. Syst. Rev. 2024, 13, 182. [Google Scholar] [CrossRef]
- Peeling, P.; Dawson, B.; Goodman, C.; Landers, G.; Trinder, D. Athletic Induced Iron Deficiency: New Insights into the Role of Inflammation, Cytokines and Hormones. Eur. J. Appl. Physiol. 2008, 103, 381–391. [Google Scholar] [CrossRef]
- Dellavalle, D.M.; Haas, J.D. Iron Supplementation Improves Energetic Efficiency in Iron-Depleted Female Rowers. Med. Sci. Sports Exerc. 2014, 46, 1204–1215. [Google Scholar] [CrossRef]
- McClung, J.P.; Karl, J.P.; Cable, S.J.; Williams, K.W.; Nindl, B.C.; Young, A.J.; Lieberman, H.R. Randomized, Double-Blind, Placebo-Controlled Trial of Iron Supplementation in Female Soldiers during Military Training: Effects on Iron Status, Physical Performance, and Mood. Am. J. Clin. Nutr. 2009, 90, 124–131. [Google Scholar] [CrossRef] [PubMed]
- Varillas-Delgado, D.; Gutierrez-Hellin, J.; Maestro, A. Genetic Profile in Genes Associated with Sports Injuries in Elite Endurance Athletes. Int. J. Sports Med. 2023, 44, 64–71. [Google Scholar] [CrossRef]
- McAuley, A.B.T.; Hughes, D.C.; Tsaprouni, L.G.; Varley, I.; Suraci, B.; Roos, T.R.; Herbert, A.J.; Kelly, A.L. Genetic Association Research in Football: A Systematic Review. Eur. J. Sport Sci. 2021, 21, 714–752. [Google Scholar] [CrossRef] [PubMed]
- Varillas-Delgado, D. Association of Genetic Profile with Muscle Mass Gain and Muscle Injury Prevention in Professional Football Players after Creatine Supplementation. Nutrients 2024, 16, 2511. [Google Scholar] [CrossRef]
- Beck, K.L.; von Hurst, P.R.; O’Brien, W.J.; Badenhorst, C.E. Micronutrients and Athletic Performance: A Review. Food Chem. Toxicol. 2021, 158, 112618. [Google Scholar] [CrossRef]
- Kardasis, W.; Naquin, E.R.; Garg, R.; Arun, T.; Gopianand, J.S.; Karmakar, E.; Gnana-Prakasam, J.P. The IRONy in Athletic Performance. Nutrients 2023, 15, 4945. [Google Scholar] [CrossRef]
- Valenti, L.; Pelusi, S. HFE Mutations and Iron in Hemodialysis Patients. Hemodial. Int. 2017, 21, S47–S57. [Google Scholar] [CrossRef] [PubMed]
- Cau, M.; Melis, M.A.; Congiu, R.; Galanello, R. Iron-Deficiency Anemia Secondary to Mutations in Genes Controlling Hepcidin. Expert. Rev. Hematol. 2010, 3, 205–216. [Google Scholar] [CrossRef] [PubMed]
- Canavesi, E.; Alfieri, C.; Pelusi, S.; Valenti, L. Hepcidin and HFE Protein: Iron Metabolism as a Target for the Anemia of Chronic Kidney Disease. World J. Nephrol. 2012, 1, 166–176. [Google Scholar] [CrossRef]
- Moksnes, M.R.; Graham, S.E.; Wu, K.H.; Hansen, A.F.; Gagliano Taliun, S.A.; Zhou, W.; Thorstensen, K.; Fritsche, L.G.; Gill, D.; Mason, A.; et al. Genome-Wide Meta-Analysis of Iron Status Biomarkers and the Effect of Iron on All-Cause Mortality in HUNT. Commun. Biol. 2022, 5, 591. [Google Scholar] [CrossRef]
- Andrews, N.C. Iron Metabolism: Iron Deficiency and Iron Overload. Annu. Rev. Genom. Hum. Genet. 2000, 1, 75–98. [Google Scholar] [CrossRef] [PubMed]
- Donovan, A.; Andrews, N.C. The Molecular Regulation of Iron Metabolism. Hematol. J. 2004, 5, 373–380. [Google Scholar] [CrossRef]
- Chicharro, J.L.; Hoyos, J.; Gómez-Gallego, F.; Villa, J.G.; Bandrés, F.; Celaya, P.; Jiménez, F.; Alonso, J.M.; Córdova, A.; Lucia, A. Mutations in the Hereditary Haemochromatosis Gene HFE in Professional Endurance Athletes. Br. J. Sports Med. 2004, 38, 418–421. [Google Scholar] [CrossRef]
- Varillas-Delgado, D.; Tellería Orriols, J.J.; Del Coso, J. Genetic Profile in Genes Associated with Cardiorespiratory Fitness in Elite Spanish Male Endurance Athletes. Genes 2021, 12, 1230. [Google Scholar] [CrossRef]
- Varillas Delgado, D.; Orriols, J.J.T.; Monge Martín, D.; Del Coso, J. Genotype Scores in Energy and Iron-Metabolising Genes Are Higher in Elite Endurance Athletes than in Nonathlete Controls. Appl. Physiol. Nutr. Metab. 2020, 45, 1225–1231. [Google Scholar] [CrossRef]
- Reinke, S.; Taylor, W.R.; Duda, G.N.; Von Haehling, S.; Reinke, P.; Volk, H.D.; Anker, S.D.; Doehner, W. Absolute and Functional Iron Deficiency in Professional Athletes during Training and Recovery. Int. J. Cardiol. 2012, 156, 186–191. [Google Scholar] [CrossRef]





| Professional Football Players, n = 48 | ||
|---|---|---|
| Age, mean (SD) | 25.21 (4.32) | |
| Weight, mean (SD) | 70.62 (6.74) | |
| Height, mean (SD) | 178.42 (5.52) | |
| BMI, mean (SD) | 22.21 (1.74) | |
| Defenders, n (%) | 18 (37.5) | |
| Position | Midfields, n (%) | 13 (27.1) |
| Forwards, n (%) | 17 (35.4) |
| Symbol | Gene | dbSNP | Genomic Location | MAF Football Players | MAF (IBS) * | HWE | FIS |
|---|---|---|---|---|---|---|---|
| ACE | Angiotensin-converting enzyme | rs4646994 | 17q23.3 | 47.9% (I) | 42.1% (I) ** | p = 0.252 | −0.18 |
| ACTN3 | Alpha-actinin-3 | rs1815739 | 11q13.2 | 51.0% (T) | 43.9% (T) | p = 0.156 | −0.31 |
| AMPD1 | Adenosine monophosphate deaminase 1 | rs17602729 | 1p13.2 | 7.7% (T) | 11.5% (T) | p = 0.412 | 0.15 |
| CKM | Muscle-specific creatine kinase | rs8111989 | 19q13.32 | 28.1% (G) | 26.6% (G) | p = 0.893 | −0.04 |
| HFE | Homeostatic iron regulator | rs1799945 | 6p21.3 | 25.0% (G) | 25.2% (G) | p = 0.963 | 0.01 |
| MLCK | Myosin Light Chain Kinase | rs2700352 | 3q21.1 | 27.1% (T) | 20.1% (T) | p = 0.215 | −0.31 |
| Myosin Light Chain Kinase | rs28497577 | 3q21.1 | 18.8% (A) | 10.3% (A) | p = 0.196 | −0.40 | |
| Overall SNPs | p = 0.441 | −0.16 |
| Symbol | Gene Name | Polymorphism | dbSNP | Genotype Score | Professional Football Players |
|---|---|---|---|---|---|
| ACE | Angiotensin-converting enzyme | I/D | rs4646994 | 2 = DD | 13 (27.1%) |
| 1 = ID | 24 (50.0%) | ||||
| 0 = II | 11 (22.9%) | ||||
| ACTN3 | Alpha-actinin-3 | c.1729C>T | rs1815739 | 2 = CC | 14 (29.1%) |
| 1 = CT | 19 (3.6%) | ||||
| 0 = TT | 15 (31.3%) | ||||
| AMPD1 | Adenosine monophosphate deaminase 1 | c.34C>T | rs17602729 | 2 = CC | 37 (77.1%) |
| 1 = CT | 11 (22.9%) | ||||
| 0 = TT | 0 (0.0%) | ||||
| CKM | Muscle-specific creatine kinase | c.*800A>G | rs8111989 | 2 = GG | 4 (8.3%) |
| 1 = GA | 19 (39.6%) | ||||
| 0 = AA | 25 (52.1%) | ||||
| HFE | Homeostatic iron regulator | c.187C>G | rs1799945 | 2 = GG | 0 (0.0%) |
| 1 = GC | 24 (50.0%) | ||||
| 0 = CC | 24 (50.0%) | ||||
| MLCK | Myosin Light Chain Kinase | c.49C>T | rs2700352 | 2 = CC | 27 (56.3%) |
| 1 = CT | 16 (33.3%) | ||||
| 0 = TT | 5 (10.4%) | ||||
| Myosin Light Chain Kinase | c.37885C>A | rs28497577 | 2 = AA | 1 (2.1%) | |
| 1 = CA | 16 (33.3%) | ||||
| 0 = CC | 31 (64.6%) |
| Performance GPS Variables | Supplemented with Iron | Not Supplemented with Iron | p-Value |
|---|---|---|---|
| CT (min) | 1128.40 (353.78) | 1972.84 (346.77) | 0.003 |
| TD (m) | 128,129.42 (23,677.22) | 218,556.64 (74,688.26) | 0.005 |
| TD/min (m/min) | 112.67 (9.11) | 111.81 (8.13) | 0.750 |
| HSR (km/h) | 32.97 (0.79) | 32.83 (1.12) | 0.666 |
| Relative HSR 18–21 km/h (m/min) | 7.58 (2.31) | 10.36 (3.53) | 0.007 |
| Relative HSR 21–24 km/h (m/min) | 4.43 (1.75) | 6.13 (2.53) | 0.010 |
| Relative HSR > 24 km/h (m/min) | 3.12 (1.37) | 3.61 (1.22) | 0.256 |
| Matches as starter | 11.50 (7.49) | 21.59 (6.75) | <0.001 |
| Matches played | 21.50 (11.82) | 27.59 (11.25) | 0.114 |
| Symbol | Gene | Polymorphism | dbSNP | Genotype Score | Supplemented with Iron | Not Supplemented with Iron | p-Value |
|---|---|---|---|---|---|---|---|
| ACE | Angiotensin-converting enzyme | I/D | rs4646994 | 2 = DD | 1 (7.1%) ↓ | 12 (35.3%) ↑ | 0.001 |
| 1 = ID | 5 (35.7%) | 19 (55.9%) | |||||
| 0 = II | 8 (57.1%) ↑ | 3 (8.8%) ↓ | |||||
| ACTN3 | Alpha-actinin-3 | c.1729C>T | rs1815739 | 2 = CC | 0 (0.0%) ↓ | 14 (41.2%) ↑ | 0.011 |
| 1 = CT | 9 (64.3%) ↑ | 10 (29.4%) ↓ | |||||
| 0 = TT | 5 (35.7%) | 10 (29.4%) | |||||
| AMPD1 | Adenosine monophosphate deaminase 1 | c.34C>T | rs17602729 | 2 = CC | 8 (57.1%) ↓ | 29 (85.3%) ↑ | 0.035 |
| 1 = CT | 6 (42.9%) ↑ | 5 (14.7%) ↓ | |||||
| CKM | Muscle-specific creatine kinase | c.*800A>G | rs8111989 | 2 = GG | 1 (7.1%) | 3 (8.8%) | 0.950 |
| 1 = GA | 6 (42.9%) | 13 (38.2%) | |||||
| 0 = AA | 7 (50.0%) | 18 (52.9%) | |||||
| HFE | Homeostatic iron regulator | c.187C>G | rs1799945 | 1 = GC | 3 (21.4%) ↓ | 21 (61.8%) ↑ | 0.011 |
| 0 = CC | 11 (78.6%) ↑ | 13 (38.2%) ↓ | |||||
| MLCK | Myosin Light Chain Kinase | c.49C>T | rs2700352 | 2 = CC | 5 (35.7%) | 22 (64.7%) | 0.080 |
| 1 = CT | 8 (57.1%) ↑ | 8 (23.5%) ↓ | |||||
| 0 = TT | 1 (7.1%) | 4 (11.8%) | |||||
| Myosin Light Chain Kinase | c.37885C>A | rs28497577 | 2 = AA | 0 (0.0%) | 1 (2.9%) | 0.800 | |
| 1 = CA | 5 (35.7%) | 11 (32.4%) |
Disclaimer/Publisher’s Note: The statements, opinions and data contained in all publications are solely those of the individual author(s) and contributor(s) and not of MDPI and/or the editor(s). MDPI and/or the editor(s) disclaim responsibility for any injury to people or property resulting from any ideas, methods, instructions or products referred to in the content. |
© 2025 by the author. Licensee MDPI, Basel, Switzerland. This article is an open access article distributed under the terms and conditions of the Creative Commons Attribution (CC BY) license (https://creativecommons.org/licenses/by/4.0/).
Share and Cite
Varillas-Delgado, D. Influence of Genetic Polymorphisms and Biochemical Biomarkers on Response to Nutritional Iron Supplementation and Performance in a Professional Football Team: A Pilot Longitudinal Study. Nutrients 2025, 17, 1379. https://doi.org/10.3390/nu17081379
Varillas-Delgado D. Influence of Genetic Polymorphisms and Biochemical Biomarkers on Response to Nutritional Iron Supplementation and Performance in a Professional Football Team: A Pilot Longitudinal Study. Nutrients. 2025; 17(8):1379. https://doi.org/10.3390/nu17081379
Chicago/Turabian StyleVarillas-Delgado, David. 2025. "Influence of Genetic Polymorphisms and Biochemical Biomarkers on Response to Nutritional Iron Supplementation and Performance in a Professional Football Team: A Pilot Longitudinal Study" Nutrients 17, no. 8: 1379. https://doi.org/10.3390/nu17081379
APA StyleVarillas-Delgado, D. (2025). Influence of Genetic Polymorphisms and Biochemical Biomarkers on Response to Nutritional Iron Supplementation and Performance in a Professional Football Team: A Pilot Longitudinal Study. Nutrients, 17(8), 1379. https://doi.org/10.3390/nu17081379

