Five-Day Treatment with B. licheniformis Along with Classical Vancomycin Treatment Was Effective in Preserving Gut Microbiota in Patients with Clostridioides difficile Infection
Abstract
1. Introduction
2. Methods
2.1. Microbiome Analysis
2.2. Statistical Analysis
3. Results
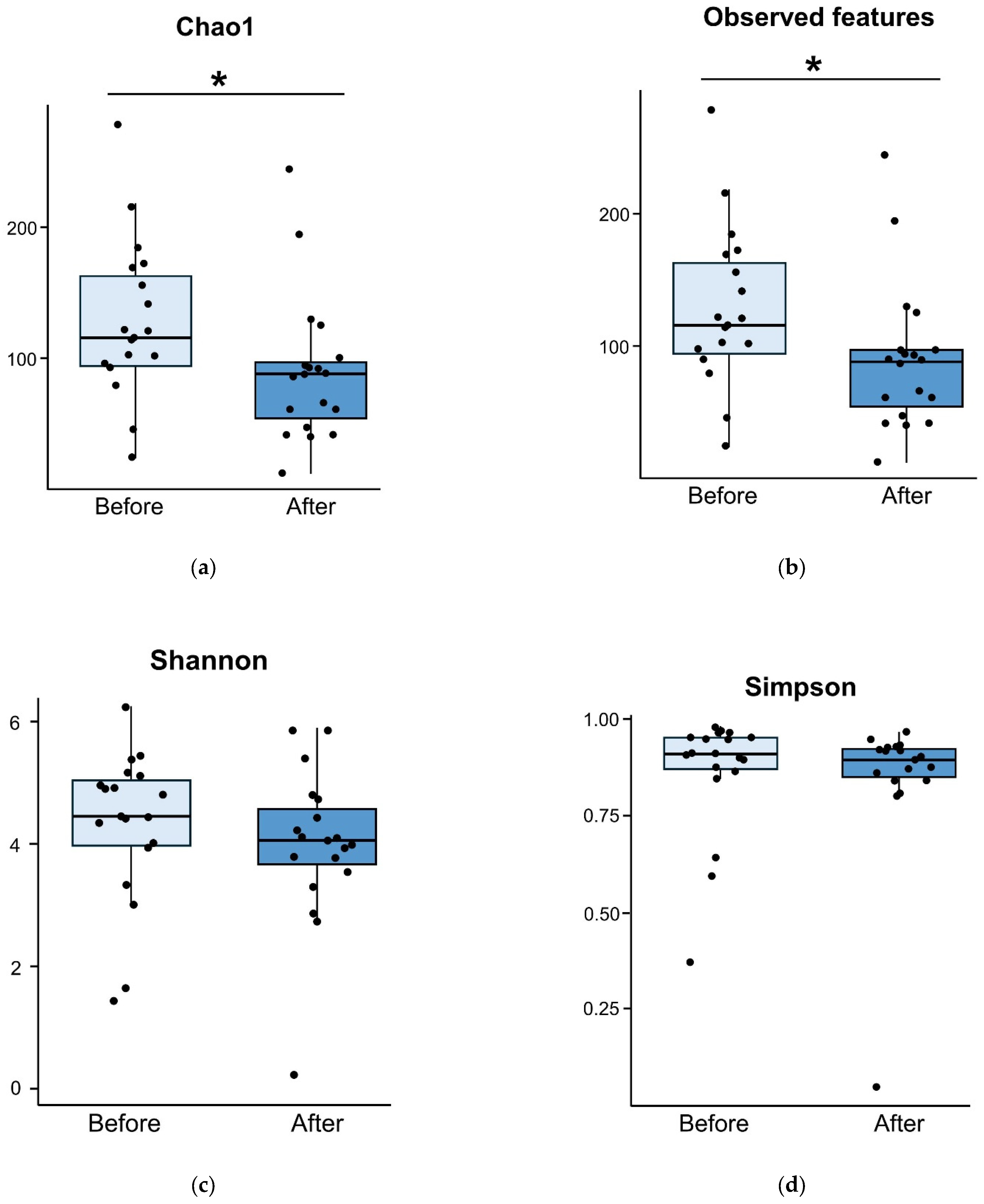
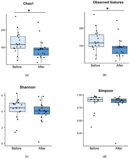
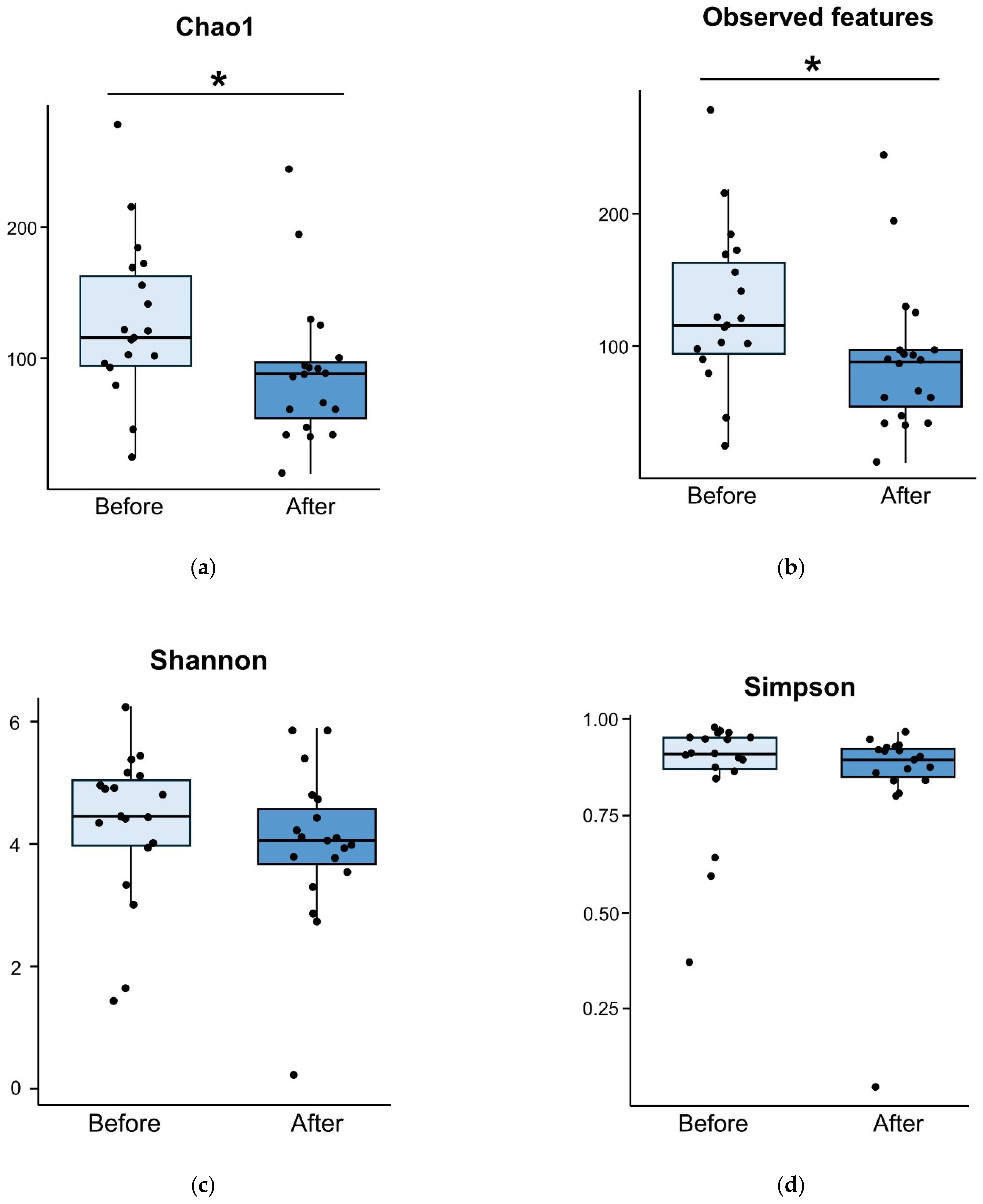
3.1. Microbiome Analysis at Randomization
3.2. Microbiome Analysis at Five Days After Treatment
3.3. Treatment Results
4. Discussion
5. Conclusions
Author Contributions
Funding
Institutional Review Board Statement
Informed Consent Statement
Data Availability Statement
Acknowledgments
Conflicts of Interest
Abbreviations
| CDI | Clostridioides difficile infection |
| IBS | Irritable bowel syndrome |
| FMT | Fecal microbiota transplantation |
| RCT | Randomized controlled trial |
| BSS | Bristol stool scale |
References
- Ananthakrishnan, A.N. Clostridium difficile infection: Epidemiology, risk factors and management. Nat. Rev. Gastroenterol. Hepatol. 2011, 8, 17–26. [Google Scholar] [CrossRef] [PubMed]
- Winter, S.E.; Bäumler, A.J. Gut dysbiosis: Ecological causes and causative effects on human disease. Proc. Natl. Acad. Sci. USA 2023, 120, e2316579120. [Google Scholar] [CrossRef] [PubMed]
- Lessa, F.C.; Mu, Y.; Bamberg, W.M.; Beldavs, Z.G.; Dumyati, G.K.; Dunn, J.R.; Farley, M.M.; Holzbauer, S.M.; Meek, J.I.; Phipps, E.C.; et al. Burden of Clostridium difficile infection in the United States. N. Engl. J. Med. 2015, 372, 825–834. [Google Scholar] [CrossRef] [PubMed]
- Baek, J.; Choi, I.; Cho, Y.; Kim, J.; Lee, Y.; Kim, M.; Kim, K.; Cho, Y.-S. Clinical characteristics and outcomes of Clostridioides difficile infection in the intensive care unit: A KASID multi-centre study. J. Hosp. Infect. 2023, 139, 106–112. [Google Scholar] [CrossRef]
- Guh, A.Y.; Mu, Y.; Winston, L.G.; Johnston, H.; Olson, D.; Farley, M.M.; Wilson, L.E.; Holzbauer, S.M.; Phipps, E.C.; Dumyati, G.K.; et al. Trends in U.S. Burden of Clostridioides difficile Infection and Outcomes. N. Engl. J. Med. 2020, 382, 1320–1330. [Google Scholar] [CrossRef]
- Feuerstadt, P.; Theriault, N.; Tillotson, G. The burden of CDI in the United States: A multifactorial challenge. BMC Infect. Dis. 2023, 23, 132. [Google Scholar] [CrossRef]
- Collins, D.A.; Hawkey, P.M.; Riley, T.V. Epidemiology of Clostridium difficile infection in Asia. Antimicrob. Resist. Infect. Control 2013, 2, 21. [Google Scholar] [CrossRef]
- Borren, N.Z.; Ghadermarzi, S.; Hutfless, S.; Ananthakrishnan, A.N. The emergence of Clostridium difficile infection in Asia: A systematic review and meta-analysis of incidence and impact. PLoS ONE 2017, 12, e0176797. [Google Scholar] [CrossRef]
- Kim, J.; Myung, R.; Kim, B.; Kim, J.; Kim, T.; Lee, M.S.; Kim, U.J.; Park, D.W.; Kim, Y.S.; Lee, C.S.; et al. Incidence of Clostridioides difficile Infections in Republic of Korea: A Prospective Study with Active Surveillance vs. National Data From Health Insurance Review & Assessment Service. J. Korean Med. Sci. 2024, 39, e118. [Google Scholar]
- Wadhwa, A.; Al Nahhas, M.F.; Dierkhising, R.A.; Patel, R.; Kashyap, P.; Pardi, D.S.; Khanna, S.; Grover, M. High risk of post-infectious irritable bowel syndrome in patients with Clostridium difficile infection. Aliment. Pharmacol. Ther. 2016, 44, 576–582. [Google Scholar] [CrossRef]
- Saha, S.M.; Sehgal, K.M.; Singh, S.M.; Grover, M.M.; Pardi, D.; Khanna, S.M. Postinfection Irritable Bowel Syndrome Following Clostridioides difficile Infection: A Systematic-review and Meta-analysis. J. Clin. Gastroenterol. 2022, 56, e84–e93. [Google Scholar] [CrossRef] [PubMed]
- Gonzales-Luna, A.J.; Carlson, T.J.; Garey, K.W. Gut microbiota changes associated with Clostridioides difficile infection and its various treatment strategies. Gut Microbes 2023, 15, 2223345. [Google Scholar] [CrossRef] [PubMed]
- Kelly, C.R.; Allegretti, J.R. Review Article: Gastroenterology and Clostridium difficile Infection: Past, Present, and Future. Clin. Infect. Dis. 2023, 77, S463–S470. [Google Scholar] [CrossRef] [PubMed]
- Jalanka, J.; Salonen, A.; Fuentes, S.; de Vos, W.M. Microbial signatures in post-infectious irritable bowel syndrome–toward patient stratification for improved diagnostics and treatment. Gut Microbes 2015, 6, 364–369. [Google Scholar] [CrossRef]
- Johnson, S.; Lavergne, V.; Skinner, A.M.; Gonzales-Luna, A.J.; Garey, K.W.; Kelly, C.P.; Wilcox, M.H. Clinical Practice Guideline by the Infectious Diseases Society of America (IDSA) and Society for Healthcare Epidemiology of America (SHEA): 2021 Focused Update Guidelines on Management of Clostridioides difficile Infection in Adults. Clin. Infect. Dis. 2021, 73, 755–757. [Google Scholar] [CrossRef]
- Gweon, T.-G.; Lee, Y.J.; Kim, K.O.; Yim, S.K.; Soh, J.S.; Kim, S.Y.; Park, J.J.; Shin, S.Y.; Lee, T.H.; Choi, C.H.; et al. Clinical Practice Guidelines for Fecal Microbiota Transplantation in Korea. J. Neurogastroenterol. Motil. 2022, 28, 28–42. [Google Scholar] [CrossRef]
- Lee, C.H.; Steiner, T.; Petrof, E.O.; Smieja, M.; Roscoe, D.; Nematallah, A.; Weese, J.S.; Collins, S.; Moayyedi, P.; Crowther, M.; et al. Frozen vs Fresh Fecal Microbiota Transplantation and Clinical Resolution of Diarrhea in Patients with Recurrent Clostridium difficile Infection: A Randomized Clinical Trial. JAMA 2016, 315, 142–149. [Google Scholar] [CrossRef]
- Gweon, T.-G.; Kim, J.; Lim, C.-H.; Park, J.M.; Lee, D.-G.; Lee, I.S.; Cho, Y.-S.; Kim, S.W.; Choi, M.-G. Fecal Microbiota Transplantation Using Upper Gastrointestinal Tract for the Treatment of Refractory or Severe Complicated Clostridium difficile Infection in Elderly Patients in Poor Medical Condition: The First Study in an Asian Country. Gastroenterol. Res. Pract. 2016, 2016, 2687605. [Google Scholar] [CrossRef]
- Kao, D.; Roach, B.; Silva, M.; Beck, P.; Rioux, K.; Kaplan, G.G.; Chang, H.J.; Coward, S.; Goodman, K.J.; Xu, H.; et al. Effect of Oral Capsule- vs Colonoscopy-Delivered Fecal Microbiota Transplantation on Recurrent Clostridium difficile Infection: A Randomized Clinical Trial. JAMA 2017, 318, 1985–1993. [Google Scholar] [CrossRef]
- Gweon, T.G.; Na, S.Y. Next Generation Fecal Microbiota Transplantation. Clin. Endosc. 2021, 54, 152–156. [Google Scholar] [CrossRef]
- Park, S.Y.; Seo, G.S. Fecal Microbiota Transplantation: Is It Safe? Clin. Endosc. 2021, 54, 157–160. [Google Scholar] [CrossRef] [PubMed]
- Wang, X.; Zhang, P.; Zhang, X. Probiotics Regulate Gut Microbiota: An Effective Method to Improve Immunity. Molecules 2021, 26, 6076. [Google Scholar] [CrossRef] [PubMed]
- Rahman, N.; Barua, N.; Tin, M.C.; Dharmaratne, P.; Wong, S.H.; Ip, M. The use of probiotics and prebiotics in decolonizing pathogenic bacteria from the gut; a systematic review and meta-analysis of clinical outcomes. Gut Microbes 2024, 16, 2356279. [Google Scholar] [CrossRef] [PubMed]
- Goldenberg, J.Z.; Yap, C.; Lytvyn, L.; Lo, C.K.F.; Beardsley, J.; Mertz, D.; Johnston, B.C. Probiotics for the prevention of Clostridium difficile-associated diarrhea in adults and children. Cochrane Database Syst. Rev. 2017, 12, Cd006095. [Google Scholar] [CrossRef]
- Hong, H.A.; To, E.; Fakhry, S.; Baccigalupi, L.; Ricca, E.; Cutting, S.M. Defining the natural habitat of Bacillus spore-formers. Res. Microbiol. 2009, 160, 375–379. [Google Scholar] [CrossRef]
- Cutting, S.M. Bacillus probiotics. Food Microbiol. 2011, 28, 214–220. [Google Scholar] [CrossRef]
- Ramirez-Olea, H.; Reyes-Ballesteros, B.; Chavez-Santoscoy, R.A. Potential application of the probiotic Bacillus licheniformis as an adjuvant in the treatment of diseases in humans and animals: A systematic review. Front. Microbiol. 2022, 13, 993451. [Google Scholar] [CrossRef]
- Li, Y.; Liu, M.; Zhou, J.; Hou, B.; Su, X.; Liu, Z.; Yuan, J. Bacillus licheniformis Zhengchangsheng® attenuates DSS-induced colitis and modulates the gut microbiota in mice. Benef. Microbes 2019, 10, 543–553. [Google Scholar] [CrossRef]
- Park, C.; Yun, K.E.; Chu, J.M.; Lee, J.Y.; Hong, C.P.; Nam, Y.D.; Jeong, J.; Han, K.; Ahn, Y.J. Performance comparison of fecal preservative and stock solutions for gut microbiome storage at room temperature. J. Microbiol. 2020, 58, 703–710. [Google Scholar] [CrossRef]
- Jeong, J.; Yun, K.; Mun, S.; Chung, W.-H.; Choi, S.-Y.; Nam, Y.-D.; Lim, M.Y.; Hong, C.P.; Park, C.; Ahn, Y.J.; et al. The effect of taxonomic classification by full-length 16S rRNA sequencing with a synthetic long-read technology. Sci. Rep. 2021, 11, 1727. [Google Scholar] [CrossRef]
- Tang, B.; Tang, L.; Huang, C.; Tian, C.; Chen, L.; He, Z.; Yang, G.; Zuo, L.; Zhao, G.; Liu, E.; et al. The Effect of Probiotics Supplementation on Gut Microbiota After Helicobacter pylori Eradication: A Multicenter Randomized Controlled Trial. Infect. Dis. Ther. 2021, 10, 317–333. [Google Scholar] [CrossRef] [PubMed]
- Son, D.; Choi, Y.J.; Son, M.Y.; Moon, W.; Park, S.J.; Lim, S.; Kim, J.H. Benefits of Probiotic Pretreatment on the Gut Microbiota and Minor Complications after Bowel Preparation for Colonoscopy: A Randomized Double-Blind, Placebo-Controlled Pilot Trial. Nutrients 2023, 15, 1141. [Google Scholar] [CrossRef] [PubMed]
- McFarland, L.V.; Kullar, R.; Johnson, S.; Sniffen, J.C.; Woolard, K.; Goldstein, E.J. Why Do ACG and AGA Guidelines Differ for the Use of Probiotics and the Prevention of CDI? Am. J. Gastroenterol. 2022, 117, 501. [Google Scholar] [CrossRef]
- Su, G.L.; Ko, C.W.; Bercik, P.; Falck-Ytter, Y.; Sultan, S.; Weizman, A.V.; Morgan, R.L. AGA Clinical Practice Guidelines on the Role of Probiotics in the Management of Gastrointestinal Disorders. Gastroenterology 2020, 159, 697–705. [Google Scholar] [CrossRef] [PubMed]
- van Prehn, J.; Reigadas, E.; Vogelzang, E.H.; Bouza, E.; Hristea, A.; Guery, B.; Krutova, M.; Norén, T.; Allerberger, F.; Coia, J.E.; et al. European Society of Clinical Microbiology and Infectious Diseases: 2021 update on the treatment guidance document for Clostridioides difficile infection in adults. Clin. Microbiol. Infect. 2021, 27 (Suppl. 2), S1–S21. [Google Scholar] [CrossRef]
- McCollum, D.L.; Rodriguez, J.M. Detection, treatment, and prevention of Clostridium difficile infection. Clin. Gastroenterol. Hepatol. 2012, 10, 581–592. [Google Scholar] [CrossRef]
- Koh, E.; Hwang, I.Y.; Lee, H.L.; De Sotto, R.; Lee, J.W.J.; Lee, Y.S.; March, J.C.; Chang, M.W. Engineering probiotics to inhibit Clostridioides difficile infection by dynamic regulation of intestinal metabolism. Nat. Commun. 2022, 13, 3834. [Google Scholar] [CrossRef]
- Islam, I.; Seo, H.; Redwan, A.; Kim, S.; Lee, S.; Siddiquee, M.; Song, H.-Y. In Vitro and In Vivo Anti-Clostridioides difficile Effect of a Probiotic Bacillus amyloliquefaciens Strain. J. Microbiol. Biotechnol. 2022, 32, 46–55. [Google Scholar] [CrossRef]





| Characteristics | Probiotic (n = 16) | Placebo (n = 19) | p |
|---|---|---|---|
| Age, median (IQR) | 70.5 (60.5, 78.0) | 62.0 (54.5, 72.0) | 0.226 |
| Male, n (%) | 7 (43.8%) | 5 (26.3%) | 0.468 |
| Body mass index, median (IQR) | 23.3 (19.3, 25.3) | 23.1 (20.6, 25.8) | 0.441 |
| Inpatient, n (%) | 14 (87.5%) | 17 (89.5%) | 1.000 |
| Duration of antibiotic treatment, n (%) | 1.000 | ||
| ≥2 weeks | 4 (25.0%) | 5 (26.3%) | |
| <2 weeks | 12 (75.0%) | 14 (73.7%) | |
| Smoking, n (%) | 0.677 | ||
| Current or ex-smoker | 4 (25.0%) | 3 (15.8%) | |
| Non-smoker | 12 (75.0%) | 16 (84.2%) | |
| Alcohol use, n (%) | 0.379 | ||
| Yes | 4 (25.0%) | 2 (10.5%) | |
| <1/month | 12 (75.0%) | 17 (89.5%) | |
| BSS, n (%) | 1.000 | ||
| Type 6 | 9 (56.2%) | 10 (52.6%) | |
| Type 7 | 7 (43.8%) | 9 (47.4%) | |
| Stool frequency, number/day (%) | 0.152 | ||
| 3 | 13 (81.2%) | 10 (52.6%) | |
| ≥4 | 3 (18.8%) | 9 (47.4%) |
| Characteristics | Probiotic (n = 16) | Placebo (n = 19) | p |
|---|---|---|---|
| BSS, n (%) | 0.713 | ||
| Type 3, 4, 5 | 10 (62.5) | 13 (68.4) | |
| Type 6, 7 | 6 (37.5) | 6 (31.6) | |
| Stool frequency, n (%) | 0.947 | ||
| 1–2/day | 8 (50.0%) | 10 (52.6%) | |
| 3–4/day | 5 (31.2%) | 5 (26.3%) | |
| ≥5/day | 3 (18.8%) | 4 (21.1%) |
Disclaimer/Publisher’s Note: The statements, opinions and data contained in all publications are solely those of the individual author(s) and contributor(s) and not of MDPI and/or the editor(s). MDPI and/or the editor(s) disclaim responsibility for any injury to people or property resulting from any ideas, methods, instructions or products referred to in the content. |
© 2025 by the authors. Licensee MDPI, Basel, Switzerland. This article is an open access article distributed under the terms and conditions of the Creative Commons Attribution (CC BY) license (https://creativecommons.org/licenses/by/4.0/).
Share and Cite
Gweon, T.-G.; Kang, S.-B.; Na, S.-Y.; Oh, D.J.; Kim, S.W.; Seo, G.S.; Cho, J.Y. Five-Day Treatment with B. licheniformis Along with Classical Vancomycin Treatment Was Effective in Preserving Gut Microbiota in Patients with Clostridioides difficile Infection. Nutrients 2025, 17, 641. https://doi.org/10.3390/nu17040641
Gweon T-G, Kang S-B, Na S-Y, Oh DJ, Kim SW, Seo GS, Cho JY. Five-Day Treatment with B. licheniformis Along with Classical Vancomycin Treatment Was Effective in Preserving Gut Microbiota in Patients with Clostridioides difficile Infection. Nutrients. 2025; 17(4):641. https://doi.org/10.3390/nu17040641
Chicago/Turabian StyleGweon, Tae-Geun, Sang-Bum Kang, Soo-Young Na, Dong Jun Oh, Sang Wook Kim, Geom Seog Seo, and Joo Young Cho. 2025. "Five-Day Treatment with B. licheniformis Along with Classical Vancomycin Treatment Was Effective in Preserving Gut Microbiota in Patients with Clostridioides difficile Infection" Nutrients 17, no. 4: 641. https://doi.org/10.3390/nu17040641
APA StyleGweon, T.-G., Kang, S.-B., Na, S.-Y., Oh, D. J., Kim, S. W., Seo, G. S., & Cho, J. Y. (2025). Five-Day Treatment with B. licheniformis Along with Classical Vancomycin Treatment Was Effective in Preserving Gut Microbiota in Patients with Clostridioides difficile Infection. Nutrients, 17(4), 641. https://doi.org/10.3390/nu17040641

