Selected Plant Extracts Regulating the Inflammatory Immune Response and Oxidative Stress: Focus on Quercus robur
Highlights
- Quercus robur extract significantly reduced ROS production and cytokine secretion, including IFNγ, IL-17a, and IL-1β.
- Quercus robur extract inhibited key inflammatory pathways, such as NFκB activation, and COX2 and NLRP3 expression.
- The potent anti-inflammatory effects of Quercus robur extract make it a promising candidate for the treatment of inflammation-related diseases.
Abstract
1. Introduction
2. Materials and Methods
2.1. Chemicals and Reagents
2.2. Preparation of Plant Extracts
2.3. Quantification of Molecules of Interest by HPLC-UV
2.4. Determination of Antioxidant Activity by Ferric-Reducing Antioxidant Power (FRAP) Assay
2.5. Blood Cells and Cell Culture
2.6. Kinetics of ROS Production by Blood Leukocytes
2.7. Leukocyte Viability
2.8. Determination of Cytokine Concentrations
2.9. Real-Time Quantitative PCR (RT-qPCR)
2.10. Flow Cytometer Assay
2.11. Measurement of Total and Phospho-NFκB p65 Level Using ELISA Immunoassay
2.12. Statistical Analysis
3. Results
3.1. Extract Content and Antioxidant Capacity
3.2. Plant Extracts Inhibited ROS Production by Blood Leukocytes
3.3. Plant Extracts Impacted PBMC Cytokine Secretions
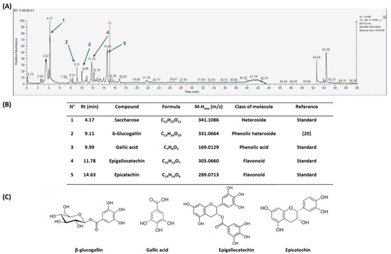
3.4. Quercus robur Characterization
3.5. Quercus robur Inhibited Macrophages Polarization Toward M1-Type
3.6. Quercus robur Modulated Several Inflammatory Pathways: Cyclo-Oxygenase 2 (COX-2), STAT-3 and NLRP3 Pathways in LPS-Stimulated Blood Leukocytes
3.7. Quercus robur Modulated NRF2 Pathway
3.8. Quercus robur Inhibited NFκB Activation
4. Discussion
Author Contributions
Funding
Institutional Review Board Statement
Informed Consent Statement
Data Availability Statement
Acknowledgments
Conflicts of Interest
References
- Germolec, D.R.; Shipkowski, K.A.; Frawley, R.P.; Evans, E. Markers of Inflammation. Methods Mol. Biol. Clifton NJ 2018, 1803, 57–79. [Google Scholar] [CrossRef]
- Askenase, M.H.; Sansing, L.H. Stages of the Inflammatory Response in Pathology and Tissue Repair after Intracerebral Hemorrhage. Semin. Neurol. 2016, 36, 288–297. [Google Scholar] [CrossRef] [PubMed]
- Harvanová, G.; Duranková, S.; Bernasovská, J. The Role of Cytokines and Chemokines in the Inflammatory Response. Alergol. Pol. Pol. J. Allergol. 2023, 10, 210–219. [Google Scholar] [CrossRef]
- Funes, S.C.; Rios, M.; Escobar-Vera, J.; Kalergis, A.M. Implications of Macrophage Polarization in Autoimmunity. Immunology 2018, 154, 186–195. [Google Scholar] [CrossRef] [PubMed]
- Meizlish, M.L.; Franklin, R.A.; Zhou, X.; Medzhitov, R. Tissue Homeostasis and Inflammation. Annu. Rev. Immunol. 2021, 39, 557–581. [Google Scholar] [CrossRef]
- Yeung, Y.T.; Aziz, F.; Guerrero-Castilla, A.; Arguelles, S. Signaling Pathways in Inflammation and Anti-Inflammatory Therapies. Curr. Pharm. Des. 2018, 24, 1449–1484. [Google Scholar] [CrossRef]
- Yu, H.; Lin, L.; Zhang, Z.; Zhang, H.; Hu, H. Targeting NF-ΚB Pathway for the Therapy of Diseases: Mechanism and Clinical Study. Signal Transduct. Target. Ther. 2020, 5, 1–23. [Google Scholar] [CrossRef]
- Próchnicki, T.; Latz, E. Inflammasomes on the Crossroads of Innate Immune Recognition and Metabolic Control. Cell Metab. 2017, 26, 71–93. [Google Scholar] [CrossRef]
- Hussain, T.; Tan, B.; Yin, Y.; Blachier, F.; Tossou, M.C.B.; Rahu, N. Oxidative Stress and Inflammation: What Polyphenols Can Do for Us? Oxid. Med. Cell. Longev. 2016, 2016, 7432797. [Google Scholar] [CrossRef]
- Bindu, S.; Mazumder, S.; Bandyopadhyay, U. Non-Steroidal Anti-Inflammatory Drugs (NSAIDs) and Organ Damage: A Current Perspective. Biochem. Pharmacol. 2020, 180, 114147. [Google Scholar] [CrossRef]
- Rice, J.B.; White, A.G.; Scarpati, L.M.; Wan, G.; Nelson, W.W. Long-Term Systemic Corticosteroid Exposure: A Systematic Literature Review. Clin. Ther. 2017, 39, 2216–2229. [Google Scholar] [CrossRef] [PubMed]
- Hong, J.J.; Hadeler, E.K.; Mosca, M.L.; Brownstone, N.D.; Bhutani, T.; Liao, W.J. Off-Label Uses of TNF-a Inhibitors and IL-12/23 Inhibitors in Dermatology. Dermatol. Online J. 2021, 27. [Google Scholar] [CrossRef]
- Nunes, C.d.R.; Barreto Arantes, M.; Menezes de Faria Pereira, S.; Leandro da Cruz, L.; de Souza Passos, M.; Pereira de Moraes, L.; Vieira, I.J.C.; Barros de Oliveira, D. Plants as Sources of Anti-Inflammatory Agents. Molecules 2020, 25, 3726. [Google Scholar] [CrossRef] [PubMed]
- Cholet, J.; Decombat, C.; Vareille-Delarbre, M.; Gainche, M.; Berry, A.; Senejoux, F.; Ripoche, I.; Delort, L.; Vermerie, M.; Fraisse, D.; et al. In Vitro Anti-Inflammatory and Immunomodulatory Activities of an Extract from the Roots of Bupleurum Rotundifolium. Medicines 2019, 6, 101. [Google Scholar] [CrossRef]
- Kuwabara, W.M.T.; Zhang, L.; Schuiki, I.; Curi, R.; Volchuk, A.; Alba-Loureiro, T.C. NADPH Oxidase-Dependent Production of Reactive Oxygen Species Induces Endoplasmatic Reticulum Stress in Neutrophil-Like HL60 Cells. PLoS ONE 2015, 10, e0116410. [Google Scholar] [CrossRef]
- Teufelhofer, O.; Weiss, R.-M.; Parzefall, W.; Schulte-Hermann, R.; Micksche, M.; Berger, W.; Elbling, L. Promyelocytic HL60 Cells Express NADPH Oxidase and Are Excellent Targets in a Rapid Spectrophotometric Microplate Assay for Extracellular Superoxide. Toxicol. Sci. 2003, 76, 376–383. [Google Scholar] [CrossRef]
- Beringer, A.; Molle, J.; Bartosch, B.; Miossec, P. Two Phase Kinetics of the Inflammatory Response from Hepatocyte-Peripheral Blood Mononuclear Cell Interactions. Sci. Rep. 2019, 9, 8378. [Google Scholar] [CrossRef]
- Habanjar, O.; Nehme, R.; Goncalves-Mendes, N.; Cueff, G.; Blavignac, C.; Aoun, J.; Decombat, C.; Auxenfans, C.; Diab-Assaf, M.; Caldefie-Chézet, F.; et al. The Obese Inflammatory Microenvironment May Promote Breast DCIS Progression. Front. Immunol. 2024, 15, 1384354. [Google Scholar] [CrossRef]
- Chervet, A.; Nehme, R.; Decombat, C.; Longechamp, L.; Habanjar, O.; Rousset, A.; Fraisse, D.; Blavignac, C.; Filaire, E.; Berthon, J.-Y.; et al. Exploring the Therapeutic Potential of Ampelopsis Grossedentata Leaf Extract as an Anti-Inflammatory and Antioxidant Agent in Human Immune Cells. Int. J. Mol. Sci. 2023, 25, 416. [Google Scholar] [CrossRef]
- Puppala, M.; Ponder, J.; Suryanarayana, P.; Reddy, G.B.; Petrash, J.M.; LaBarbera, D.V. The Isolation and Characterization of β-Glucogallin as a Novel Aldose Reductase Inhibitor from Emblica Officinalis. PLoS ONE 2012, 7, e31399. [Google Scholar] [CrossRef]
- Azab, A.; Nassar, A.; Azab, A.N. Anti-Inflammatory Activity of Natural Products. Molecules 2016, 21, 1321. [Google Scholar] [CrossRef] [PubMed]
- Chopra, B.; Dhingra, A.K. Natural Products: A Lead for Drug Discovery and Development. Phytother. Res. PTR 2021, 35, 4660–4702. [Google Scholar] [CrossRef] [PubMed]
- Feehan, K.T.; Gilroy, D.W. Is Resolution the End of Inflammation? Trends Mol. Med. 2019, 25, 198–214. [Google Scholar] [CrossRef] [PubMed]
- Saviano, A.; Raucci, F.; Casillo, G.M.; Indolfi, C.; Pernice, A.; Foreste, C.; Iqbal, A.J.; Mascolo, N.; Maione, F. Present Status and Future Trends of Natural-Derived Compounds Targeting T Helper (Th) 17 and Microsomal Prostaglandin E Synthase-1 (MPGES-1) as Alternative Therapies for Autoimmune and Inflammatory-Based Diseases. Molecules 2020, 25, 6016. [Google Scholar] [CrossRef]
- Dobner, M.J.; Schwaiger, S.; Jenewein, I.H.; Stuppner, H. Antibacterial Activity of Leontopodium Alpinum (Edelweiss). J. Ethnopharmacol. 2003, 89, 301–303. [Google Scholar] [CrossRef]
- Khan, A.N.; Singh, R.; Bhattacharya, A.; Chakravarti, R.; Roy, S.; Ravichandiran, V.; Ghosh, D. A Short Review on Glucogallin and Its Pharmacological Activities. Mini Rev. Med. Chem. 2022, 22, 2820–2830. [Google Scholar] [CrossRef]
- Khan, A.N.; Singh, R.; Bhattacharya, A.; Kumar, S.; Ghosh, A.; Nag, D.; Ravichandiran, V.; Ghosh, D. Glucogallin Attenuates RAW 264.7 Cells from Arsenic Trioxide Induced Toxicity via the NF-κB/NLRP3 Pathway. Molecules 2022, 27, 5263. [Google Scholar] [CrossRef]
- Bai, J.; Zhang, Y.; Tang, C.; Hou, Y.; Ai, X.; Chen, X.; Zhang, Y.; Wang, X.; Meng, X. Gallic Acid: Pharmacological Activities and Molecular Mechanisms Involved in Inflammation-Related Diseases. Biomed. Pharmacother. 2021, 133, 110985. [Google Scholar] [CrossRef]
- Fraga, C.G.; Oteiza, P.I.; Galleano, M. Plant Bioactives and Redox Signaling: (–)-Epicatechin as a Paradigm. Mol. Aspects Med. 2018, 61, 31–40. [Google Scholar] [CrossRef]
- Mokra, D.; Joskova, M.; Mokry, J. Therapeutic Effects of Green Tea Polyphenol (–)-Epigallocatechin-3-Gallate (EGCG) in Relation to Molecular Pathways Controlling Inflammation, Oxidative Stress, and Apoptosis. Int. J. Mol. Sci. 2022, 24, 340. [Google Scholar] [CrossRef]
- Mangan, M.S.J.; Olhava, E.J.; Roush, W.R.; Seidel, H.M.; Glick, G.D.; Latz, E. Targeting the NLRP3 Inflammasome in Inflammatory Diseases. Nat. Rev. Drug Discov. 2018, 17, 588–606. [Google Scholar] [CrossRef] [PubMed]
- Guo, H.; Callaway, J.B.; Ting, J.P.-Y. Inflammasomes: Mechanism of Action, Role in Disease, and Therapeutics. Nat. Med. 2015, 21, 677–687. [Google Scholar] [CrossRef] [PubMed]
- Ambati, G.G.; Jachak, S.M. Natural Product Inhibitors of Cyclooxygenase (COX) Enzyme: A Review on Current Status and Future Perspectives. Curr. Med. Chem. 2021, 28, 1877–1905. [Google Scholar] [CrossRef] [PubMed]
- Hussain, T.; Gupta, S.; Adhami, V.M.; Mukhtar, H. Green Tea Constituent Epigallocatechin-3-Gallate Selectively Inhibits COX-2 without Affecting COX-1 Expression in Human Prostate Carcinoma Cells. Int. J. Cancer 2005, 113, 660–669. [Google Scholar] [CrossRef] [PubMed]
- Chen, Z.; Zhong, H.; Wei, J.; Lin, S.; Zong, Z.; Gong, F.; Huang, X.; Sun, J.; Li, P.; Lin, H.; et al. Inhibition of Nrf2/HO-1 Signaling Leads to Increased Activation of the NLRP3 Inflammasome in Osteoarthritis. Arthritis Res. Ther. 2019, 21, 300. [Google Scholar] [CrossRef]
- Liu, C.; Hao, K.; Liu, Z.; Liu, Z.; Guo, N. Epigallocatechin Gallate (EGCG) Attenuates Staphylococcal Alpha-Hemolysin (Hla)-Induced NLRP3 Inflammasome Activation via ROS-MAPK Pathways and EGCG-Hla Interactions. Int. Immunopharmacol. 2021, 100, 108170. [Google Scholar] [CrossRef]
- Reagan-Shaw, S.; Nihal, M.; Ahmad, N. Dose Translation from Animal to Human Studies Revisited. FASEB J. Off. Publ. Fed. Am. Soc. Exp. Biol. 2008, 22, 659–661. [Google Scholar] [CrossRef]
- Natella, F.; Leoni, G.; Maldini, M.; Natarelli, L.; Comitato, R.; Schonlau, F.; Virgili, F.; Canali, R. Absorption, Metabolism, and Effects at Transcriptome Level of a Standardized French Oak Wood Extract, Robuvit, in Healthy Volunteers: Pilot Study. J. Agric. Food Chem. 2014, 62, 443–453. [Google Scholar] [CrossRef]
- Belcaro, G.; Cornelli, U.; Luzzi, R.; Ledda, A.; Cacchio, M.; Saggino, A.; Cesarone, M.R.; Dugall, M.; Feragalli, B.; Hu, S.; et al. Robuvit® (Quercus Robur Extract) Supplementation in Subjects with Chronic Fatigue Syndrome and Increased Oxidative Stress. A Pilot Registry Study. J. Neurosurg. Sci. 2015, 59, 105–117. [Google Scholar]
- Belcaro, G.; Saggino, A.; Cornelli, U.; Luzzi, R.; Dugall, M.; Hosoi, M.; Feragalli, B.; Cesarone, M.R. Improvement in Mood, Oxidative Stress, Fatigue, and Insomnia Following Supplementary Management with Robuvit®. J. Neurosurg. Sci. 2018, 62, 423–427. [Google Scholar] [CrossRef]
- Ferianec, V.; Fülöp, M.; Ježovičová, M.; Radošinská, J.; Husseinová, M.; Feriancová, M.; Radošinská, D.; Barančík, M.; Muchová, J.; Hȍgger, P.; et al. The Oak-Wood Extract Robuvit® Improves Recovery and Oxidative Stress after Hysterectomy: A Randomized, Double-Blind, Placebo-Controlled Pilot Study. Nutrients 2020, 12, 913. [Google Scholar] [CrossRef]






| Species | Molecule of Interest | Chemical Structure |
|---|---|---|
| Leontopodium nivale alpinum | Leontopodic acid A | ![]() |
| Quercus robur | Vescalagine/Castalagine | ![]() |
| Medicago sativa | Tricin | ![]() |
| Helichrysum stoechas | 3,5-dicaffeoylquinic acid | ![]() |
| Plantago major | Aucubin/verbascoside | ![]() |
| Plantago lanceolata | Aucubin/verbascoside | ![]() |
| Capsella bursa-pastoris | Sulforaphan | ![]() |
| Gene | Species | Forward Primer Sequence (5′-3′) | Reverse Primer Sequence (5′-3′) |
|---|---|---|---|
| ϐ-actin | Human | CCTGGCACCCAGCACAAT | GCCGATCCACACGGAGTACT |
| IL-8 | Human | CTGGCCGTGGCTCTCTTG | CCTTGGCAAAACTGCACCTT |
| IL-1ϐ | Human | CCTGTCCTGCGTGTTGAAAGA | GGGAACTGGGCAGACTCAAA |
| IL-6 | Human | GCTGCAGGCACAGAACCA | ACTCCTTAAAGCTGCGCAGAA |
| TNFα | Human | TCTTCTCGAACCCCGAGTGA | GGAGCTGCCCCTCAGCTT |
| CXCL10 | Human | GGAAATCGTGCGTGACATTA | AGGAAGGAAGGCTGGAAGAG |
| COX2 | Human | CCCAGGGCTCAAACATGATG | TCGCTTATGATCTGTCTTGAAAAACT |
| NLRP3 | Human | CCACAAGATCGTGAGAAAACCC | CGGTCCTATGTGCTCGTCA |
| Caspase1 | Human | GCCTGTTCCTGTGATGTGGAG | TGCCCACAGACATTCATACAGTTC |
| STAT3 | Human | GCTGCTTAGACGTGGATTT | TAACGTTGAGGGGCATCG |
| NRF2 | Human | CACATCCAGTCAGAAACCAGTGG | GGAATGTCTGCGCCAAAAGCTG |
| HO-1 | Human | ACAGTTGCTGTAGGGCTTTA | CTCTGAAGTTTAGGCCATTG |
| GPX-1 | Human | GCACCCTCTCTTCGCCTTC | TCAGGCTCGATGTCAATGGTC |
| Species | Molecule of Interest | %g/g of Dry Extract |
|---|---|---|
| Leontopodium nivale alpinum | Leontopodic acid A | 3.77% |
| Quercus robur | Vescalagine/Castalagine | 0.03%/0.07% |
| Medicago sativa | Tricin | 0.01% |
| Helichrysum stoechas | 3,5-dicaffeoylquinic acid | 3.24% |
| Plantago major | Aucubin/verbascoside | 0.09%/4.51% |
| Plantago lanceolata | Aucubin/verbascoside | 0.5%/3.85% |
| Capsella bursa-pastoris | Sulforaphan | / |
| Species | Trolox Equivalent (µmol/g of Dry Extract) | SD |
|---|---|---|
| Helichrysum stoechas | 618.8 | 13.4 |
| Leontopodium nivale alpinum | 3522.3 | 91.4 |
| Plantago major | 255.9 | 7.0 |
| Plantago lanceolata | 362.2 | 9.9 |
| Medicago sativa | 450.3 | 13.1 |
| Capsella bursa-pastoris | 360.5 | 9.2 |
| Quercus robur | 5225.5 | 84.9 |
Disclaimer/Publisher’s Note: The statements, opinions and data contained in all publications are solely those of the individual author(s) and contributor(s) and not of MDPI and/or the editor(s). MDPI and/or the editor(s) disclaim responsibility for any injury to people or property resulting from any ideas, methods, instructions or products referred to in the content. |
© 2025 by the authors. Licensee MDPI, Basel, Switzerland. This article is an open access article distributed under the terms and conditions of the Creative Commons Attribution (CC BY) license (https://creativecommons.org/licenses/by/4.0/).
Share and Cite
Nehme, R.; Chervet, A.; Decombat, C.; Habanjar, O.; Longechamp, L.; Rousset, A.; Chalard, P.; Gainche, M.; Senejoux, F.; Fraisse, D.; et al. Selected Plant Extracts Regulating the Inflammatory Immune Response and Oxidative Stress: Focus on Quercus robur. Nutrients 2025, 17, 510. https://doi.org/10.3390/nu17030510
Nehme R, Chervet A, Decombat C, Habanjar O, Longechamp L, Rousset A, Chalard P, Gainche M, Senejoux F, Fraisse D, et al. Selected Plant Extracts Regulating the Inflammatory Immune Response and Oxidative Stress: Focus on Quercus robur. Nutrients. 2025; 17(3):510. https://doi.org/10.3390/nu17030510
Chicago/Turabian StyleNehme, Rawan, Arthur Chervet, Caroline Decombat, Ola Habanjar, Lucie Longechamp, Amandine Rousset, Pierre Chalard, Mael Gainche, Francois Senejoux, Didier Fraisse, and et al. 2025. "Selected Plant Extracts Regulating the Inflammatory Immune Response and Oxidative Stress: Focus on Quercus robur" Nutrients 17, no. 3: 510. https://doi.org/10.3390/nu17030510
APA StyleNehme, R., Chervet, A., Decombat, C., Habanjar, O., Longechamp, L., Rousset, A., Chalard, P., Gainche, M., Senejoux, F., Fraisse, D., Filaire, E., Berthon, J.-Y., Diab-Assaf, M., Delort, L., & Caldefie-Chezet, F. (2025). Selected Plant Extracts Regulating the Inflammatory Immune Response and Oxidative Stress: Focus on Quercus robur. Nutrients, 17(3), 510. https://doi.org/10.3390/nu17030510








