Analyzing the Caloric Variability of Bites in a Semi-Naturalistic Dietary Setting
Abstract
1. Introduction
2. Materials and Methods
2.1. Experimental Strategy
2.2. Sample Population and Experimental Phase
2.3. Food Collection and Analysis
2.4. Sample Preparation for Bomb Calorimetry
2.5. Statistical Method
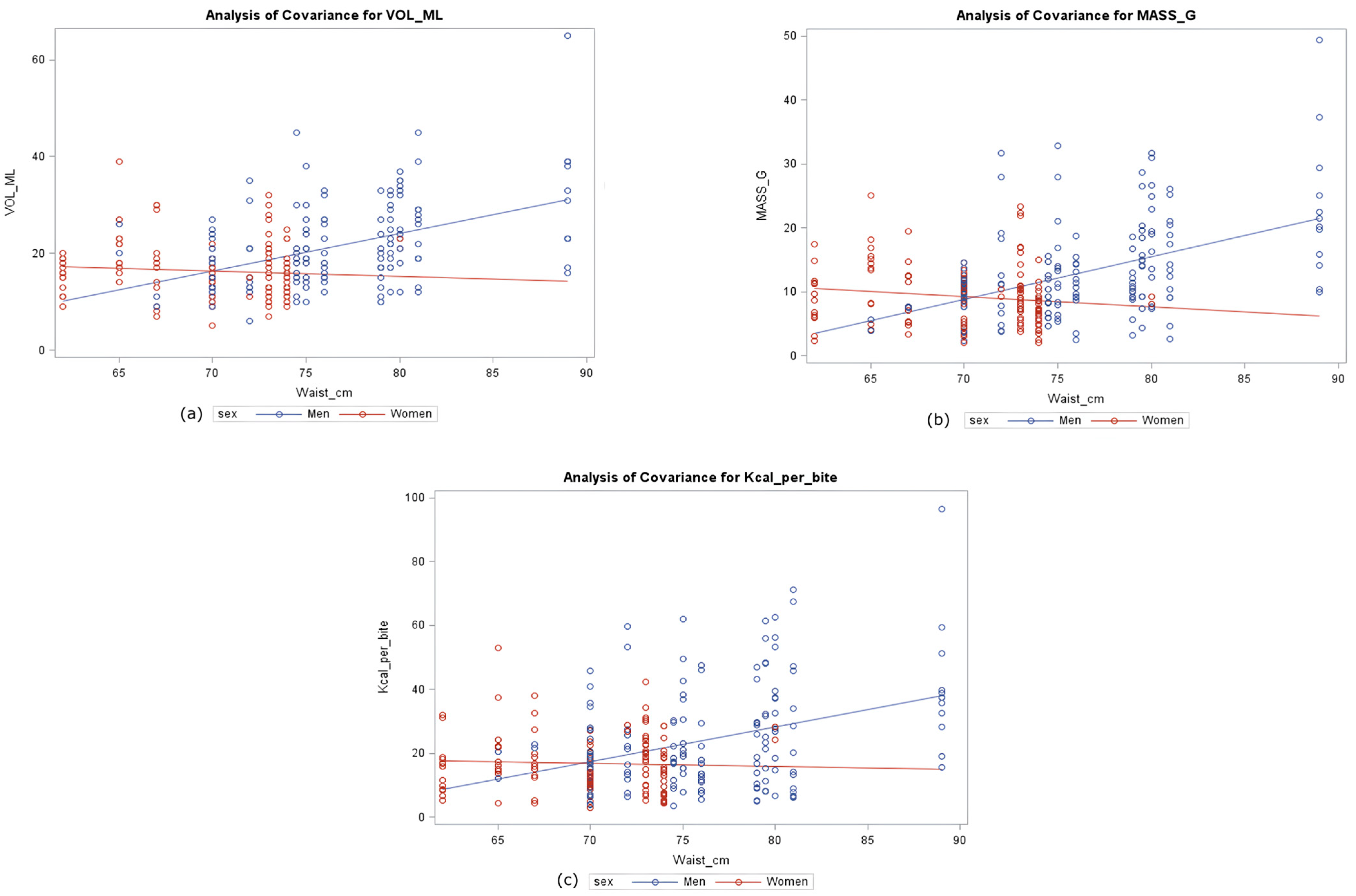
3. Results
4. Discussion
4.1. Gender and Cutlery in Affecting Bite Dimensions
4.2. Food Texture and Bite Energy Content Variability
4.3. In-Meals Differences
4.4. Models and Surrogate Variables
4.5. Semi-Naturalistic vs. Real Life
4.6. Clinical and Practical Implications and Future Perspectives
5. Conclusions
Author Contributions
Funding
Institutional Review Board Statement
Informed Consent Statement
Data Availability Statement
Acknowledgments
Conflicts of Interest
Abbreviations
| ANCOVA | Analysis of Covariance |
| BMI | Body Mass Index |
| CI | Confidence Interval |
| CV | Coefficient of Variation |
| DCTVPH | Department of Cardiac, Thoracic and Vascular Sciences and Public Health |
| NOTION | measuriNg calOric inTake at populatION level |
| SD | Standard Deviation |
| WHO | World Health Organization |
References
- Koliaki, C.; Dalamaga, M.; Liatis, S. Update on the Obesity Epidemic: After the Sudden Rise, Is the Upward Trajectory Beginning to Flatten? Curr. Obes. Rep. 2023, 12, 514–527. [Google Scholar] [CrossRef] [PubMed]
- Obesity and Overweight. Available online: https://www.who.int/news-room/fact-sheets/detail/obesity-and-overweight (accessed on 21 January 2025).
- Powell-Wiley, T.M.; Poirier, P.; Burke, L.E.; Després, J.-P.; Gordon-Larsen, P.; Lavie, C.J.; Lear, S.A.; Ndumele, C.E.; Neeland, I.J.; Sanders, P.; et al. Obesity and Cardiovascular Disease: A Scientific Statement From the American Heart Association. Circulation 2021, 143, e984–e1010. [Google Scholar] [CrossRef]
- Pati, S.; Irfan, W.; Jameel, A.; Ahmed, S.; Shahid, R.K. Obesity and Cancer: A Current Overview of Epidemiology, Pathogenesis, Outcomes, and Management. Cancers 2023, 15, 485. [Google Scholar] [CrossRef] [PubMed]
- Noncommunicable Diseases. Available online: https://www.who.int/publications/i/item/a-global-brief-on-hypertension-silent-killer-global-public-health-crisis-world-health-day-2013 (accessed on 21 January 2025).
- Obesity: Diagnosis and Treatment. Available online: https://www.mayoclinic.org/diseases-conditions/obesity/diagnosis-treatment/drc-20375749 (accessed on 21 January 2025).
- Cardamone, E.; Iacoponi, F.; Fiori, F.; Marinoni, M.; Agrimi, U.; Silano, M.; Parpinel, M. The Development of a Food Frequency Questionnaire for the Assessment of Ultra-Processed Food Consumption in the Italian Adult Population: Protocol for a Validity and Reproducibility Study. Nutrients 2024, 16, 3896. [Google Scholar] [CrossRef]
- Magrini, M.L.; Minto, C.; Lazzarini, F.; Martinato, M.; Gregori, D. Wearable Devices for Caloric Intake Assessment: State of Art and Future Developments. Open Nurs. J. 2017, 11, 232–240. [Google Scholar] [CrossRef]
- European Parliament and of the Council Regulation. No 1168/2011 of the European Parliament and of the Council of 25 October 2011 Amending Council Regulation (EC) No 2007/2004 Establishing a European Agency for the Management of Operational Cooperation at the External Borders of the Member States of the European Union, CELEX1. Available online: https://eur-lex.europa.eu/eli/reg/2011/1168/oj/eng (accessed on 21 January 2025).
- Crockett, R.A.; King, S.E.; Marteau, T.M. Nutritional Labelling for Healthier Food or Non-Alcoholic Drink Purchasing and Consumption. Cochrane Database Syst. Rev. 2018. [Google Scholar] [CrossRef]
- Brown, R.E.; Canning, K.L.; Fung, M. Calorie Estimation in Adults Differing in Body Weight Class and Weight Loss Status. Med. Sci. Sports Exerc. 2016, 48, 521–526. [Google Scholar] [CrossRef] [PubMed]
- Roseman, M.G.; Joung, H.W.; Choi, E.K.C.; Kim, H.S. The Effects of Restaurant Nutrition Menu Labelling on College Students’ Healthy Eating Behaviours. Public Health Nutr. 2017, 20, 797–804. [Google Scholar] [CrossRef]
- Sinclair, S.E.; Cooper, M.; Mansfield, E.D. The Influence of Menu Labeling on Calories Selected or Consumed: A Systematic Review and Meta-Analysis. J. Acad. Nutr. Diet. 2014, 114, 1375–1388. [Google Scholar] [CrossRef]
- Chandon, P.; Wansink, B. Is Obesity Caused by Calorie Underestimation? A Psychophysical Model of Meal Size Estimation. J. Mark. Res. 2007, 44, 84–99. [Google Scholar] [CrossRef]
- Stanton, A.L.; Tips, T.A. Accuracy of Calorie Estimation by Females as a Function of Eating Habits and Body Mass. Int. J. Eat. Disord. 1990, 9, 387–393. [Google Scholar] [CrossRef]
- Cunningham, P.M.; Roe, L.S.; Keller, K.L.; Hendriks-Hartensveld, A.E.M.; Rolls, B.J. Eating Rate and Bite Size Were Related to Food Intake across Meals Varying in Portion Size: A Randomized Crossover Trial in Adults. Appetite 2023, 180, 106330. [Google Scholar] [CrossRef] [PubMed]
- Baldi, I.; Lanera, C.; Bhuyan, M.J.; Berchialla, P.; Vedovelli, L.; Gregori, D. Classifying Food Items During an Eating Occasion: A Machine Learning Approach with Slope Dynamics for Windowed Kinetic Data. Foods 2025, 14, 276. [Google Scholar] [CrossRef]
- Liu, M.; Zhou, B.; Rey, V.F.; Bian, S.; Lukowicz, P. iEat: Automatic Wearable Dietary Monitoring with Bio-Impedance Sensing. Sci. Rep. 2024, 14, 17873. [Google Scholar] [CrossRef]
- Doulah, A.; Ghosh, T.; Hossain, D.; Marden, T.; Parton, J.M.; Higgins, J.A.; McCrory, M.A.; Sazonov, E. Energy Intake Estimation Using a Novel Wearable Sensor and Food Images in a Laboratory (Pseudo-Free-Living) Meal Setting: Quantification and Contribution of Sources of Error. Int. J. Obes. 2022, 46, 2050–2057. [Google Scholar] [CrossRef]
- Xie, J.; Wen, D.; Liang, L.; Jia, Y.; Gao, L.; Lei, J. Evaluating the Validity of Current Mainstream Wearable Devices in Fitness Tracking Under Various Physical Activities: Comparative Study. JMIR MHealth UHealth 2018, 6, e94. [Google Scholar] [CrossRef]
- Evenson, K.R.; Goto, M.M.; Furberg, R.D. Systematic Review of the Validity and Reliability of Consumer-Wearable Activity Trackers. Int. J. Behav. Nutr. Phys. Act. 2015, 12, 1–22. [Google Scholar] [CrossRef]
- Desendorf, J.; Bassett, D.R.; Raynor, H.A.; Coe, D.P. Validity of the Bite Counter Device in a Controlled Laboratory Setting. Eat. Behav. 2014, 15, 502–504. [Google Scholar] [CrossRef] [PubMed]
- Scisco, J.L.; Muth, E.R.; Hoover, A.W. Examining the Utility of a Bite-Count–Based Measure of Eating Activity in Free-Living Human Beings. J. Acad. Nutr. Diet. 2014, 114, 464–469. [Google Scholar] [CrossRef]
- Salley, J.N.; Hoover, A.W.; Wilson, M.L.; Muth, E.R. Comparison Between Human and Bite-Based Methods of Estimating Caloric Intake. J. Acad. Nutr. Diet. 2016, 116, 1568–1577. [Google Scholar] [CrossRef]
- Hassani, M.; Kivimaki, M.; Elbaz, A.; Shipley, M.; Singh-Manoux, A.; Sabia, S. Non-Consent to a Wrist-Worn Accelerometer in Older Adults: The Role of Socio-Demographic, Behavioural and Health Factors. PLoS ONE 2014, 9, e110816. [Google Scholar] [CrossRef] [PubMed]
- Jasper, P.W.; James, M.T.; Hoover, A.W.; Muth, E.R. Effects of Bite Count Feedback from a Wearable Device and Goal-Setting on Consumption in Young Adults. J. Acad. Nutr. Diet. 2016, 116, 1785–1793. [Google Scholar] [CrossRef] [PubMed]
- Shen, Y.; Salley, J.; Muth, E.; Hoover, A. Assessing the Accuracy of a Wrist Motion Tracking Method for Counting Bites Across Demographic and Food Variables. IEEE J. Biomed. Health Inf. 2017, 21, 599–606. [Google Scholar] [CrossRef]
- Fuscà, E.; Bolzon, A.; Buratin, A.; Ruffolo, M.; Berchialla, P.; Gregori, D.; Perissinotto, E.; Baldi, I.; NOTION Group. Measuring Caloric Intake at the Population Level (NOTION): Protocol for an Experimental Study. JMIR Res. Protoc. 2019, 8, e12116. [Google Scholar] [CrossRef] [PubMed]
- Durnin, J.V.G.A.; Womersley, J. Body Fat Assessed from Total Body Density and Its Estimation from Skinfold Thickness: Measurements on 481 Men and Women Aged from 16 to 72 Years. Br. J. Nutr. 1974, 32, 77–97. [Google Scholar] [CrossRef]
- Brožek, J.; Grande, F.; Anderson, J.T.; Keys, A. Densitometric Analysis of Body Composition: Revision of Some Quantitative Assumptions. Ann. N. Y. Acad. Sci. 1963, 110, 113–140. [Google Scholar] [CrossRef]
- Ribeiro Da Silva, M.A.V.; Lobo Ferreira, A.I.M.C.; Cimas, Á. Calorimetric and Computational Study of the Thermochemistry of Phenoxyphenols. J. Org. Chem. 2011, 76, 3754–3764. [Google Scholar] [CrossRef] [PubMed]
- Food and Agriculture Organization of the United Nations. Food Energy—Methods of Analysis and Conversion Factors; Food and Agriculture Organization of the United Nations: Rome, Italy, 2003. [Google Scholar]
- Altunkaynak, B.; Gamgam, H. Bootstrap Confidence Intervals for the Coefficient of Quartile Variation. Commun. Stat. Simul. Comput. 2019, 48, 2138–2146. [Google Scholar] [CrossRef]
- R Core Team. R: A Language and Environment for Statistical Computing 2022; R Core Team: Vienna, Austria, 2022. [Google Scholar]
- Park, S.; Shin, W.-S. Differences in Eating Behaviors and Masticatory Performances by Gender and Obesity Status. Physiol. Behav. 2015, 138, 69–74. [Google Scholar] [CrossRef] [PubMed]
- Zijlstra, N.; Bukman, A.J.; Mars, M.; Stafleu, A.; Ruijschop, R.M.A.J.; de Graaf, C. Eating Behaviour and Retro-Nasal Aroma Release in Normal-Weight and Overweight Adults: A Pilot Study. Br. J. Nutr. 2011, 106, 297–306. [Google Scholar] [CrossRef]
- Isabel, C.A.C.; Moysés, M.R.; Bilt, A.; Gameiro, G.H.; Ribeiro, J.C.R.; Pereira, L.J. The Relationship between Masticatory and Swallowing Behaviors and Body Weight. Physiol. Behav. 2015, 151, 314–319. [Google Scholar] [CrossRef] [PubMed]
- Piernas, C.; Popkin, B.M. Trends in Snacking Among U.S. Children. Health Aff. Proj. Hope 2010, 29, 398–404. [Google Scholar] [CrossRef] [PubMed]
- Adair, L.S.; Popkin, B.M. Are Child Eating Patterns Being Transformed Globally? Obes. Res. 2005, 13, 1281–1299. [Google Scholar] [CrossRef] [PubMed]
- Mattfeld, R.S.; Muth, E.R.; Hoover, A. A Comparison of Bite Size and BMI in a Cafeteria Setting. Physiol. Behav. 2017, 181, 38–42. [Google Scholar] [CrossRef] [PubMed]
- McCrickerd, K.; Forde, C.G. Consistency of Eating Rate, Oral Processing Behaviours and Energy Intake across Meals. Nutrients 2017, 9, 891. [Google Scholar] [CrossRef]
- Scisco, J.L.; Muth, E.R.; Dong, Y.; Hoover, A.W. Slowing Bite-Rate Reduces Energy Intake: An Application of the Bite Counter Device. J. Am. Diet. Assoc. 2011, 111, 1231–1235. [Google Scholar] [CrossRef]
- Rolls, B.J.; Roe, L.S.; Meengs, J.S. The Effect of Large Portion Sizes on Energy Intake Is Sustained for 11 Days. Obesity 2007, 15, 1535–1543. [Google Scholar] [CrossRef]



| Meal | Menu A | Kcal/Portion |
|---|---|---|
| Breakfast | Rusks and jam | 114 Kcal/41 g |
| Yogurt | 186 Kcal/170 g | |
| Lunch | Risotto with asparagus | 471 Kcal/300 g |
| Mozzarella | 242 Kcal/100 g | |
| Snack | Biscuits | 278 Kcal/55 g |
| Dinner | Vegetable soup | 135 Kcal/310 g |
| Artichoke chicken | 199 Kcal/120 g | |
| Meal | Menu B | Kcal/Portion |
| Breakfast | Brioche | 99 Kcal/28 g |
| Yogurt | 186 Kcal/170 g | |
| Lunch | Tagliolini with mushrooms | 546 Kcal/300 g |
| Chicken meatballs with tomato sauce | 135 Kcal/120 g | |
| Snack | Sandwich | 195 Kcal/70 g |
| Dinner | Eggplant parmigiana | 309 Kcal/300 g |
| Italian fresh cheese | 269 Kcal/100 g |
| N of Bites | VOLUME (mL) | MASS (g) | ENERGY (Kcal) | |
|---|---|---|---|---|
| Mean ± SD [Median] | Mean ± SD [Median] | Mean ± SD [Median] | ||
| Whole Sample | 400 | 20.0 ± 8.1 [19.0] | 11.4 ± 6.7 [10.0] | 21.5 ± 14.4 [17.8] |
| by Food Item | ||||
| Rusks and jam | 30 | 19.1 ± 5. [19.0] | 3.5 ± 1.4 [3.3] | 10.8 ± 4.7 [10.0] |
| Yogurt | 58 | 15.7 ± 5.2 [15.0] | 11.6 ± 3.7 [10.7] | 9.4 ± 3.7 [8.9] |
| Brioche | 28 | 25.0 ± 8.5 [24.0] | 6.4 ± 2.2 [6.3] | 22.8 ± 8.0 [21.5] |
| Risotto with asparagus | 30 | 18.7 ± 5.7 [17.0] | 13.3 ± 5.4 [11.6] | 21.6 ± 6.0 [17.6] |
| Tagliolini with mushrooms | 30 | 28.9 ± 10.7 [29.0] | 20.3 ± 9.1 [17.0] | 39.0 ± 18.0 [33.6] |
| Mozzarella | 30 | 19.6 ± 10.4 [16.5] | 12.8 ± 8.3 [10.1] | 32.2 ± 19.7 [22.5] |
| Chicken meatballs with sauce | 30 | 19.0 ± 6.9 [18.0] | 12.4 ± 5.2 [11.2] | 18.2 ± 8.5 [16.0] |
| Biscuits | 30 | 22.7 ± 7.7 [22.0] | 6.6 ± 2.6 [6.0] | 33.6 ± 12.9 [31.7] |
| Sandwiches | 24 | 21.9 ±6.1 [21.0] | 7.1 ± 2.2 [6.9] | 22.9 ± 8.0 [21.0] |
| Vegetable soup | 20 | 13.8 ± 3.7 [12.5] | 12.2 ± 2.4 [12.1] | 6.1 ± 2.0 [5.9] |
| Artichoke chicken | 30 | 19.5 ± 6.8 [18.5] | 10.9 ± 4.1 [9.3] | 14.0 ± 7.0 [13.8] |
| Eggplant parmigiana | 30 | 23.1 ± 8.3 [21.5] | 19.1 ± 6.9 [18.2] | 22.7 ± 8.4 [22.1] |
| Italian fresh cheese | 30 | 16.3 ± 5.1 [16.0] | 11.4 ± 4.6 [10.7] | 32.8 ± 12.8 [29.5] |
| by Gender | ||||
| Female | 208 | 18.3 ± 6.9 [17.0] | 9.8 ± 5.4 [8.7] | 18.4 ± 11.2 [16.2] |
| Male | 192 | 21.9 ± 8.9 [21.0] | 13.3 ± 7.5 [11.3] | 24.9 ± 16.5 [20.3] |
| by Meal | ||||
| Breakfast | 116 | 18.8 ± 8.0 [18.0] | 8.3 ± 4.6 [8.2] | 13.0 ± 7.6 [11.0] |
| Lunch | 120 | 21.6 ± 9.6 [19.0] | 14.7 ± 7.8 [12.3] | 27.8 ± 16.8 [22.2] |
| Sneak | 54 | 22.4 ± 7.0 [21.0] | 6.8 ± 2.4 [6.5] | 28.8 ± 12.1 [24.9] |
| Dinner | 110 | 18.6 ± 7.2 [17.0] | 13.5 ± 6.0 [12.2] | 20.1 ± 13.0 [17.6] |
| by Cutlery | ||||
| Fork | 210 | 20.7 ± 8.7 [19.0] | 14.3 ± 7.3 [12.5] | 25.8 ± 15.2 [21.9] |
| Spoon | 78 | 15.2 ± 4.9 [15.0] | 11.8 ± 3.4 [11.3] | 8.5 ± 3.7 [8.1] |
| Hand | 112 | 22.1 ± 7.3 [21.0] | 5.8 ± 2.5 [5.3] | 22.5 ± 12.1 [20.2] |
| CV% Kcal/g | 95%CI | CV% Kcal/Bite | 95%CI | ||
|---|---|---|---|---|---|
| Food Items | Rusks and jam | 10.0 | 6.9, 13.2 | 38.5 | 35.1, 43.5 |
| Yogurt | 19.4 | 16.0, 23.5 | 39.4 | 34.8, 45.3 | |
| Brioche | 1.9 | 1.6, 2.2 | 35.1 | 32.3, 39.4 | |
| Risotto with asparagus | 9.9 | 8.8, 11.4 | 44.2 | 41.0, 49.0 | |
| Tagliolini mushrooms | 8.0 | 8.6, 11.2 | 46.2 | 40.5, 53.6 | |
| Mozzarella | 9.6 | 15.5, 18.4 | 61.1 | 57.4, 66.9 | |
| Chicken meatballs sauce | 6.8 | 12.5, 15.0 | 46.6 | 42.0, 54.1 | |
| Biscuits | 4.9 | 3.1, 7.5 | 38.5 | 35.5, 42.9 | |
| Sandwiches | 16.5 | 15.0, 18.8 | 34.9 | 32.2, 39.3 | |
| Vegetable soup | 20.5 | 17.5, 24.8 | 33.7 | 29.5, 39.6 | |
| Artichoke chicken | 41.2 | 34.6, 48.7 | 50.0 | 43.2, 57.7 | |
| Eggplant parmigiana | 27.8 | 25.6, 32.4 | 37.2 | 33.8, 42.0 | |
| Italian fresh food | 5.6 | 4.9, 6.5 | 38.9 | 35.6, 43.8 | |
| CV% Kcal/Bite | 95%CI | ||||
| Gender | Female | 61.0 | 50.9, 73.0 | ||
| Male | 66.6 | 56.7, 74.7 | |||
| Cutlery | Fork | 59.0 | 50.2, 68.3 | ||
| Spoon | 42.7 | 37.8, 49.0 | |||
| Hand | 53.9 | 48.4, 60.5 | |||
| Meal | Breakfast | 58.2 | 51.5, 66.3 | ||
| Lunch | 60.6 | 53.1, 68.9 | |||
| Snack | 42.1 | 39.2, 46.0 | |||
| Dinner | 64.8 | 55.4, 73.4 |
| Dependent | Independent Variables | WOMEN | MEN | |||||||
|---|---|---|---|---|---|---|---|---|---|---|
| B | SE(B) | p | Full Model R2 | B | SE(B) | p | Full Model R2 | |||
| Model 1 | Volume | Age (y) | −0.07 | 0.08 | 0.32 | 24% | −0.42 | 0.09 | <0.0001 | 53% |
| Waist (cm) | 0.23 | 0.08 | 0.002 | 0.91 | 0.12 | <0.0001 | ||||
| Type of Food (random effect) | <0.0001 | <0.0001 | ||||||||
| Model 2 | Mass | Age (y) | −0.09 | 0.03 | 0.004 | 75% | −0.01 | 0.03 | 0.59 | 83% |
| VOLUME (mL) | 0.46 | 0.03 | <0.0001 | 0.57 | 0.03 | <0.0001 | ||||
| Type of Food (random effect) | <0.0001 | <0.0001 | ||||||||
| Model 3 | Energy | Age (y) | −0.04 | 0.05 | 0.31 | 89% | 0.004 | 0.92 | 0.92 | 90% |
| VOLUME (mL) | 0.12 | 0.06 | 0.05 | 0.25 | 0.09 | 0.007 | ||||
| MASS (g) | 1.74 | 0.10 | <0.0001 | 1.45 | 0.13 | <0.0001 | ||||
| Type of Food (random effect) | <0.0001 | <0.0001 | ||||||||
| Model 4 | Energy | Age (y) | 0.06 | 0.07 | 0.39 | 65% | −0.09 | 0.07 | 0.20 | 68% |
| VOLUME (mL) | 0.08 | 0.10 | 0.49 | 0.41 | 0.15 | 0.005 | ||||
| MASS (g) | 1.61 | 0.16 | <0.0001 | 1.29 | 0.19 | <0.0001 | ||||
| Cutlery (random effect) | <0.0001 | <0.0001 | ||||||||
| Model 5 | Energy | Age (y) | −0.30 | 0.10 | 0.004 | 48% | −0.64 | 0.13 | <0.0001 | 71% |
| Waist (cm) | 0.28 | 0.10 | 0.008 | 0.41 | 0.15 | <0.0001 | ||||
| Type of Food (random effect) | <0.0001 | <0.0001 | ||||||||
| Model 6 | Energy | Age (y) | −0.30 | 0.10 | 0.004 | 24% | −0.64 | 0.13 | <0.0001 | 36% |
| Waist (cm) | 0.28 | 0.10 | 0.008 | 0.41 | 0.15 | <0.0001 | ||||
| Cutlery (random effect) | <0.0001 | <0.0001 | ||||||||
Disclaimer/Publisher’s Note: The statements, opinions and data contained in all publications are solely those of the individual author(s) and contributor(s) and not of MDPI and/or the editor(s). MDPI and/or the editor(s) disclaim responsibility for any injury to people or property resulting from any ideas, methods, instructions or products referred to in the content. |
© 2025 by the authors. Licensee MDPI, Basel, Switzerland. This article is an open access article distributed under the terms and conditions of the Creative Commons Attribution (CC BY) license (https://creativecommons.org/licenses/by/4.0/).
Share and Cite
Bhuyan, M.J.; Vedovelli, L.; Lanera, C.; Gasparini, D.; Berchialla, P.; Baldi, I.; Gregori, D. Analyzing the Caloric Variability of Bites in a Semi-Naturalistic Dietary Setting. Nutrients 2025, 17, 2192. https://doi.org/10.3390/nu17132192
Bhuyan MJ, Vedovelli L, Lanera C, Gasparini D, Berchialla P, Baldi I, Gregori D. Analyzing the Caloric Variability of Bites in a Semi-Naturalistic Dietary Setting. Nutrients. 2025; 17(13):2192. https://doi.org/10.3390/nu17132192
Chicago/Turabian StyleBhuyan, Mohammad Junayed, Luca Vedovelli, Corrado Lanera, Daniele Gasparini, Paola Berchialla, Ileana Baldi, and Dario Gregori. 2025. "Analyzing the Caloric Variability of Bites in a Semi-Naturalistic Dietary Setting" Nutrients 17, no. 13: 2192. https://doi.org/10.3390/nu17132192
APA StyleBhuyan, M. J., Vedovelli, L., Lanera, C., Gasparini, D., Berchialla, P., Baldi, I., & Gregori, D. (2025). Analyzing the Caloric Variability of Bites in a Semi-Naturalistic Dietary Setting. Nutrients, 17(13), 2192. https://doi.org/10.3390/nu17132192

