Association of Mucin-Degrading Gut Microbiota and Dietary Patterns with Colonic Transit Time in Constipation: A Secondary Analysis of a Randomized Clinical Trial
Abstract
1. Introduction
2. Materials and Methods
2.1. Participants
2.2. Selection Criteria
2.3. Study Design
2.4. Colonic Transit Time (CTT)
2.5. Clinical Measurements
2.6. Biochemical Assays for Adverse Events and Safety Monitoring
2.7. Dietary Intake
2.8. Acquisition of Fecal Bacteria Data of Healthy Persons
2.9. Enterotype Analysis
2.10. Gut Microbiome Analysis
2.11. Alpha- and Beta-Diversity and Linear Discriminant Analysis Effect Size (LEfSe) Analysis
2.12. Machine Learning Analysis and Metabolic Modeling
2.13. Construction of Personalized Metabolic Models and Flux Analysis
2.14. Microbial Network Analysis and Functional Prediction
2.15. Prediction of Strains with Mucin Utilization Ability
2.16. Statistical Analysis
3. Results
3.1. Chanracteistics of Participants
3.2. Food and Nutrient Intake and Lifestyles
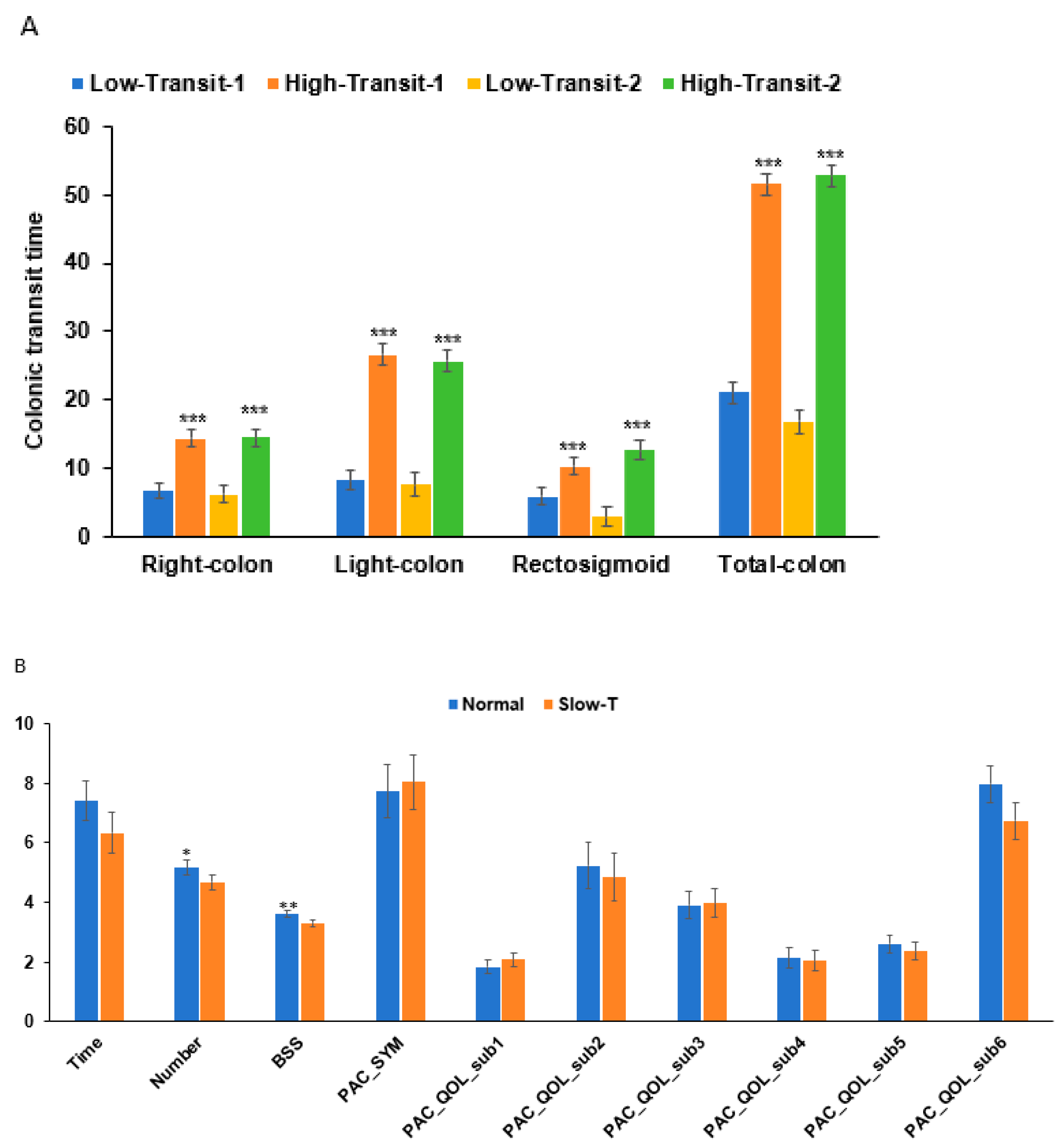
3.3. Colonic Transit Time and Constipation-Related Parameters
3.4. Biochemical Parameters at the Final Assessment After CKJ Intervention
3.5. Analysis of Enterotypes in Healthy Individuals and Those with Subjective Constipation
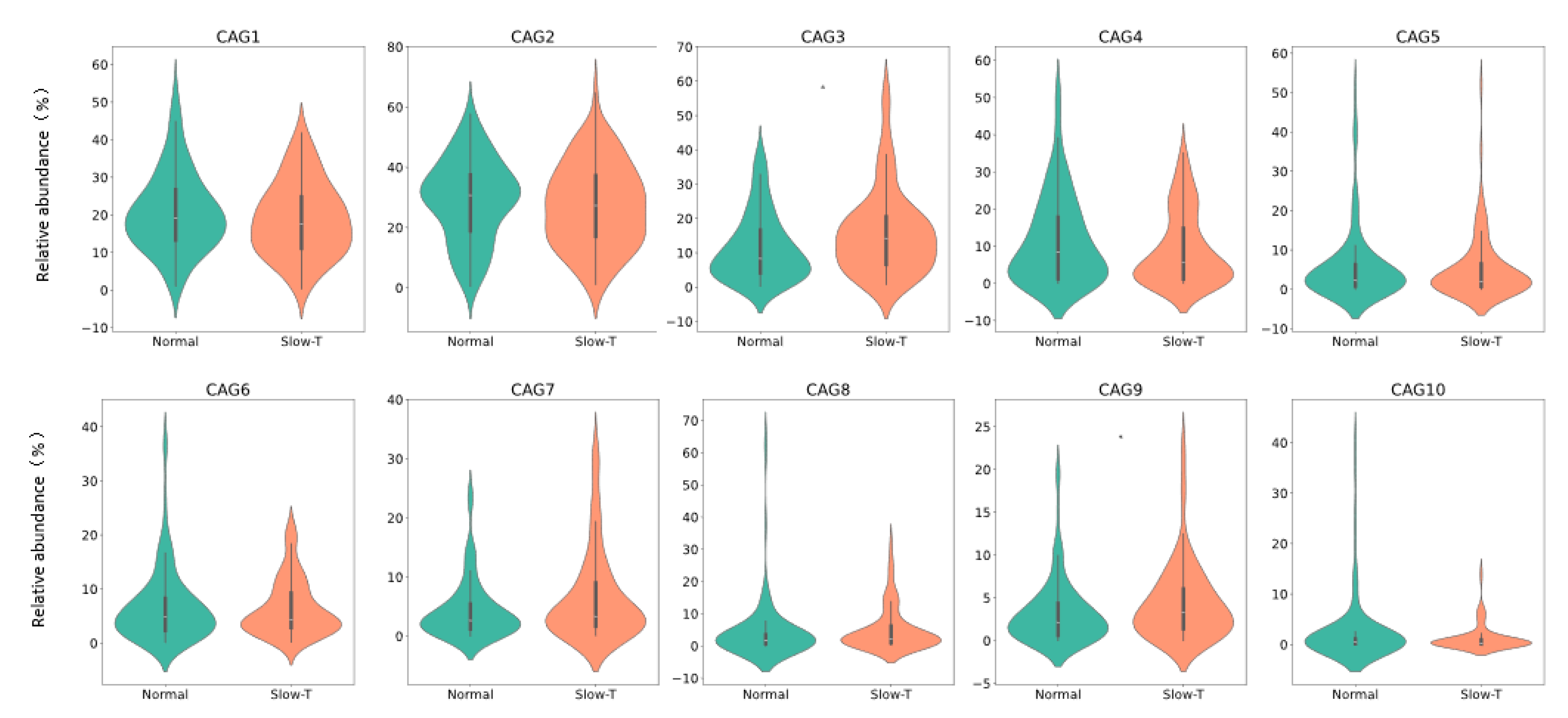
3.6. Downstream Analysis of Gut Microbiota
3.7. Multifactorial Network Analysis
4. Discussion
5. Conclusions and Future Directions
Supplementary Materials
Author Contributions
Funding
Institutional Review Board Statement
Informed Consent Statement
Data Availability Statement
Conflicts of Interest
References
- Staller, K.; Olén, O.; Söderling, J.; Roelstraete, B.; Törnblom, H.; Song, M.; Ludvigsson, J.F. Chronic Constipation as a Risk Factor for Colorectal Cancer: Results From a Nationwide, Case-Control Study. Clin. Gastroenterol. Hepatol. 2022, 20, 1867–1876.e1862. [Google Scholar] [CrossRef] [PubMed]
- Choung, R.S.; Rey, E.; Richard Locke, G.; Schleck, C.D.; Baum, C.; Zinsmeister, A.R.; Talley, N.J. Chronic constipation and co-morbidities: A prospective population-based nested case-control study. United Eur. Gastroenterol. J. 2014, 4, 142–151. [Google Scholar] [CrossRef] [PubMed]
- Li, J.; Yuan, M.; Liu, Y.; Zhao, Y.; Wang, J.; Guo, W. Incidence of constipation in stroke patients: A snutrients-17-00138ystematic review and meta-analysis. Medicine 2017, 96, e7225. [Google Scholar] [CrossRef] [PubMed]
- Aziz, I.; Whitehead, W.E.; Palsson, O.S.; Törnblom, H.; Simrén, M. An approach to the diagnosis and management of Rome IV functional disorders of chronic constipation. Expert Rev. Gastroenterol. Hepatol. 2020, 14, 39–46. [Google Scholar] [CrossRef] [PubMed]
- Cho, Y.S.; Lee, Y.J.; Shin, J.E.; Jung, H.K.; Park, S.Y.; Kang, S.J.; Song, K.H.; Kim, J.W.; Lim, H.C.; Park, H.S.; et al. 2022 Seoul Consensus on Clinical Practice Guidelines for Functional Constipation. J. Neurogastroenterol. Motil. 2023, 29, 271–305. [Google Scholar] [CrossRef] [PubMed]
- Rybak, A.; Martinelli, M.; Thapar, N.; Van Wijk, M.P.; Vandenplas, Y.; Salvatore, S.; Staiano, A.; Benninga, M.A.; Borrelli, O. Colonic Function Investigations in Children: Review by the ESPGHAN Motility Working Group. J. Pediatr. Gastroenterol. Nutr. 2022, 74, 681–692. [Google Scholar] [CrossRef]
- Xu, X.; Wang, Y.; Long, Y.; Cheng, Y. Chronic constipation and gut microbiota: Current research insights and therapeutic implications. Postgrad. Med. J. 2024, 100, 890–897. [Google Scholar] [CrossRef] [PubMed]
- Ma, W.; Drew, D.A.; Staller, K. The Gut Microbiome and Colonic Motility Disorders: A Practical Framework for the Gastroenterologist. Curr. Gastroenterol. Rep. 2022, 24, 115–126. [Google Scholar] [CrossRef] [PubMed]
- Sittipo, P.; Choi, J.; Lee, S.; Lee, Y.K. The function of gut microbiota in immune-related neurological disorders: A review. J. Neuroinflammation 2022, 19, 154. [Google Scholar] [CrossRef]
- Ekwudo, M.N.; Gubert, C.; Hannan, A.J. The microbiota-gut-brain axis in Huntington’s disease: Pathogenic mechanisms and therapeutic targets. FEBS J. 2024. online ahead of print. [Google Scholar] [CrossRef]
- Pan, R.; Wang, L.; Xu, X.; Chen, Y.; Wang, H.; Wang, G.; Zhao, J.; Chen, W. Crosstalk between the Gut Microbiome and Colonic Motility in Chronic Constipation: Potential Mechanisms and Microbiota Modulation. Nutrients 2022, 14, 3704. [Google Scholar] [CrossRef] [PubMed]
- Park, S.; Wu, X. Modulation of the Gut Microbiota in Memory Impairment and Alzheimer’s Disease via the Inhibition of the Parasympathetic Nervous System. Int. J. Mol. Sci. 2022, 23, 13574. [Google Scholar] [CrossRef]
- Jung, S.-J.; Oh, M.-R.; Park, S.-H.; Chae, S.-W. Effects of rice-based and wheat-based diets on bowel movements in young Korean women with functional constipation. Eur. J. Clin. Nutr. 2020, 74, 1565–1575. [Google Scholar] [CrossRef]
- Schmulson, M.J.; Drossman, D.A. What Is New in Rome IV. J. Neurogastroenterol. Motil. 2017, 23, 151–163. [Google Scholar] [CrossRef]
- Every-Palmer, S.; Ellis, P.M.; Nowitz, M.; Stanley, J.; Grant, E.; Huthwaite, M.; Dunn, H. The Porirua Protocol in the Treatment of Clozapine-Induced Gastrointestinal Hypomotility and Constipation: A Pre- and Post-Treatment Study. CNS Drugs 2017, 31, 75–85. [Google Scholar] [CrossRef]
- Riezzo, G.; Chimienti, G.; Clemente, C.; D’Attoma, B.; Orlando, A.; Mammone Rinaldi, C.; Russo, F. Colonic Transit Time and Gut Peptides in Adult Patients with Slow and Normal Colonic Transit Constipation. BioMed Res. Int. 2017, 2017, 3178263. [Google Scholar] [CrossRef] [PubMed]
- Lim, M.Y.; Hong, S.; Bang, S.-J.; Chung, W.-H.; Shin, J.-H.; Kim, J.-H.; Nam, Y.-D. Gut microbiome structure and association with host factors in a Korean population. mSystems 2021, 6, e0017921. [Google Scholar] [CrossRef] [PubMed]
- Arumugam, M.; Raes, J.; Pelletier, E.; Le Paslier, D.; Yamada, T.; Mende, D.R.; Fernandes, G.R.; Tap, J.; Bruls, T.; Batto, J.-M. Enterotypes of the human gut microbiome. Nature 2011, 473, 174–180. [Google Scholar] [CrossRef]
- Heirendt, L.; Arreckx, S.; Pfau, T.; Mendoza, S.N.; Richelle, A.; Heinken, A.; Haraldsdóttir, H.S.; Wachowiak, J.; Keating, S.M.; Vlasov, V. Creation and analysis of biochemical constraint-based models using the COBRA Toolbox v. 3.0. Nat. Protoc. 2019, 14, 639–702. [Google Scholar] [CrossRef] [PubMed]
- Heinken, A.; Hertel, J.; Acharya, G.; Ravcheev, D.A.; Nyga, M.; Okpala, O.E.; Hogan, M.; Magnúsdóttir, S.; Martinelli, F.; Nap, B. Genome-scale metabolic reconstruction of 7302 human microorganisms for personalized medicine. Nat. Biotechnol. 2023, 41, 1320–1331. [Google Scholar] [CrossRef] [PubMed]
- Zheng, J.; Hu, B.; Zhang, X.; Ge, Q.; Yan, Y.; Akresi, J.; Piyush, V.; Huang, L.; Yin, Y. dbCAN-seq update: CAZyme gene clusters and substrates in microbiomes. Nucleic Acids Res. 2023, 51, D557–D563. [Google Scholar] [CrossRef]
- Wu, X.; Unno, T.; Kang, S.; Park, S. A Korean-Style Balanced Diet Has a Potential Connection with Ruminococcaceae Enterotype and Reduction of Metabolic Syndrome Incidence in Korean Adults. Nutrients 2021, 13, 495. [Google Scholar] [CrossRef]
- Kim, M.C.; Lee, S.; Park, J.K.; Park, J.; Lee, D.; Park, J.; Kim, B.-Y.; Cho, M.S.; Kim, T.-Y.; Park, H.Y.; et al. Effects of ID-HWS1000 on the Perception of Bowel Activity and Microbiome in Subjects with Functional Constipation: A Randomized, Double-Blind Placebo-Controlled Study. J. Med. Food 2021, 24, 883–893. [Google Scholar] [CrossRef] [PubMed]
- Amieva-Balmori, M.; García-Mazcorro, J.F.; Martínez-Conejo, A.; Hernández-Ramírez, G.A.; García-Zermeño, K.R.; Rodríguez-Aguilera, O.; Aja-Cadena, M.; Barradas-Cortés, M.; Quigley, E.M.M.; Remes-Troche, J.M. Fecal bacterial microbiota in constipated patients before and after eight weeks of daily Bifidobacterium infantis 35624 administration. Rev. Gastroenterol. México 2023, 88, 369–380. [Google Scholar] [CrossRef]
- Park, S.; Li, C.; Wu, X.; Zhang, T. Gut Microbiota Alterations and Their Functional Differences in Depression According to Enterotypes in Asian Individuals. Int. J. Mol. Sci. 2023, 24, 13329. [Google Scholar] [CrossRef]
- Knudsen, K.; Fedorova, T.D.; Bekker, A.C.; Iversen, P.; Østergaard, K.; Krogh, K.; Borghammer, P. Objective Colonic Dysfunction is Far more Prevalent than Subjective Constipation in Parkinson’s Disease: A Colon Transit and Volume Study. J. Park. Dis. 2017, 7, 359–367. [Google Scholar] [CrossRef] [PubMed]
- Hanna, L.; Zeydan, B.; Kantarci, O.H.; Camilleri, M. Gastrointestinal motility disorders in patients with multiple sclerosis: A single-center study. Neurogastroenterol. Motil. 2022, 34, e14326. [Google Scholar] [CrossRef]
- Wong, M.Y.W.; Hebbard, G.; Gibson, P.R.; Burgell, R.E. Chronic constipation and abdominal pain: Independent or closely interrelated symptoms? J. Gastroenterol. Hepatol. 2020, 35, 1294–1301. [Google Scholar] [CrossRef] [PubMed]
- Yu, T.; Qian, D.; Zheng, Y.; Jiang, Y.; Wu, P.; Lin, L. Rectal Hyposensitivity Is Associated With a Defecatory Disorder But Not Delayed Colon Transit Time in a Functional Constipation Population. Medicine 2016, 95, e3667. [Google Scholar] [CrossRef]
- Scott, S.M.; van den Berg, M.M.; Benninga, M.A. Rectal sensorimotor dysfunction in constipation. Best Pract. Res. Clin. Gastroenterol. 2011, 25, 103–118. [Google Scholar] [CrossRef] [PubMed]
- Chitkara, D.K.; Bredenoord, A.J.; Cremonini, F.; Delgado-Aros, S.; Smoot, R.L.; El-Youssef, M.; Freese, D.; Camilleri, M. The Role of Pelvic Floor Dysfunction and Slow Colonic Transit in Adolescents with Refractory Constipation. Am. J. Gastroenterol. 2004, 99, 1579–1584. [Google Scholar] [CrossRef]
- Simrén, M.; Törnblom, H.; Palsson, O.S.; Van Oudenhove, L.; Whitehead, W.E.; Tack, J. Cumulative Effects of Psychologic Distress, Visceral Hypersensitivity, and Abnormal Transit on Patient-reported Outcomes in Irritable Bowel Syndrome. Gastroenterology 2019, 157, 391–402.e392. [Google Scholar] [CrossRef] [PubMed]
- Mancabelli, L.; Milani, C.; Lugli, G.A.; Turroni, F.; Mangifesta, M.; Viappiani, A.; Ticinesi, A.; Nouvenne, A.; Meschi, T.; van Sinderen, D.; et al. Unveiling the gut microbiota composition and functionality associated with constipation through metagenomic analyses. Sci. Rep. 2017, 7, 9879. [Google Scholar] [CrossRef]
- Bassotti, G.; Villanacci, V.; Rostami Nejad, M. Chronic constipation: No more idiopathic, but a true neuropathological entity. Gastroenterol. Hepatol. Bed Bench 2011, 4, 109–115. [Google Scholar] [PubMed]
- Vacca, M.; Celano, G.; Calabrese, F.M.; Portincasa, P.; Gobbetti, M.; De Angelis, M. The Controversial Role of Human Gut Lachnospiraceae. Microorganisms 2020, 8, 573. [Google Scholar] [CrossRef] [PubMed]
- Ullah, H.; Arbab, S.; Tian, Y.; Liu, C.Q.; Chen, Y.; Qijie, L.; Khan, M.I.U.; Hassan, I.U.; Li, K. The gut microbiota-brain axis in neurological disorder. Front. Neurosci. 2023, 17, 1225875. [Google Scholar] [CrossRef] [PubMed]
- Faber, W.; Stolwijk-Swuste, J.; van Ginkel, F.; Nachtegaal, J.; Zoetendal, E.; Winkels, R.; Witteman, B. Faecal Microbiota in Patients with Neurogenic Bowel Dysfunction and Spinal Cord Injury or Multiple Sclerosis-A Systematic Review. J. Clin. Med. 2021, 10, 1598. [Google Scholar] [CrossRef] [PubMed]
- Erhardt, R.; Harnett, J.E.; Steels, E.; Steadman, K.J. Functional constipation and the effect of prebiotics on the gut microbiota: A review. Br. J. Nutr. 2023, 130, 1015–1023. [Google Scholar] [CrossRef]
- Robbe, C.; Capon, C.; Coddeville, B.; Michalski, J.C. Structural diversity and specific distribution of O-glycans in normal human mucins along the intestinal tract. Biochem. J. 2004, 384, 307–316. [Google Scholar] [CrossRef]
- Grondin, J.A.; Kwon, Y.H.; Far, P.M.; Haq, S.; Khan, W.I. Mucins in Intestinal Mucosal Defense and Inflammation: Learning From Clinical and Experimental Studies. Front. Immunol. 2020, 11, 2054. [Google Scholar] [CrossRef] [PubMed]
- Castro-Combs, J.; Garcia, C.J.; Majewski, M.; Wallner, G.; Sarosiek, J. Impaired viscosity of gastric secretion and its mucin content as potential contributing factors to the development of chronic constipation. Dig. Dis. Sci. 2014, 59, 2730–2734. [Google Scholar] [CrossRef] [PubMed]
- Qu, S.; Zheng, Y.; Huang, Y.; Feng, Y.; Xu, K.; Zhang, W.; Wang, Y.; Nie, K.; Qin, M. Excessive consumption of mucin by over-colonized Akkermansia muciniphila promotes intestinal barrier damage during malignant intestinal environment. Front. Microbiol. 2023, 14, 1111911. [Google Scholar] [CrossRef] [PubMed]
- Deters, A.; Petereit, F.; Schmidgall, J.; Hensel, A. N-Acetyl-D-glucosamine oligosaccharides induce mucin secretion from colonic tissue and induce differentiation of human keratinocytes. J. Pharm. Pharmacol. 2008, 60, 197–204. [Google Scholar] [CrossRef] [PubMed]
- Cox, L.M.; Weiner, H.L. Microbiota Signaling Pathways that Influence Neurologic Disease. Neurotherapeutics 2018, 15, 135–145. [Google Scholar] [CrossRef] [PubMed]
- Geng, Z.H.; Zhu, Y.; Li, Q.L.; Zhao, C.; Zhou, P.H. Enteric Nervous System: The Bridge Between the Gut Microbiota and Neurological Disorders. Front. Aging Neurosci. 2022, 14, 810483. [Google Scholar] [CrossRef] [PubMed]
- Procházková, N.; Falony, G.; Dragsted, L.O.; Licht, T.R.; Raes, J.; Roager, H.M. Advancing human gut microbiota research by considering gut transit time. Gut 2023, 72, 180–191. [Google Scholar] [CrossRef] [PubMed]
- He, P.; Yu, L.; Tian, F.; Zhang, H.; Chen, W.; Zhai, Q. Dietary Patterns and Gut Microbiota: The Crucial Actors in Inflammatory Bowel Disease. Adv. Nutr. 2022, 13, 1628–1651. [Google Scholar] [CrossRef]
- Tailford, L.E.; Crost, E.H.; Kavanaugh, D.; Juge, N. Mucin glycan foraging in the human gut microbiome. Front. Genet. 2015, 6, 81. [Google Scholar] [CrossRef] [PubMed]
- Simpson, H.L.; Campbell, B.J. Review article: Dietary fibre-microbiota interactions. Aliment. Pharmacol. Ther. 2015, 42, 158–179. [Google Scholar] [CrossRef] [PubMed]
- Martinez-Guryn, K.; Hubert, N.; Frazier, K.; Urlass, S.; Musch, M.W.; Ojeda, P.; Pierre, J.F.; Miyoshi, J.; Sontag, T.J.; Cham, C.M.; et al. Small Intestine Microbiota Regulate Host Digestive and Absorptive Adaptive Responses to Dietary Lipids. Cell Host Microbe 2018, 23, 458–469.e455. [Google Scholar] [CrossRef]







| Normal (n = 48) | Slow-Transit (n = 46) | Regression Coefficient (β) for Colonic Transit Time | |
|---|---|---|---|
| Age (years) | 37.5 ± 1.32 | 37.2 ± 1.35 | −0.0294 ± 0.028 |
| Gender (Women, N, %) | 40 (80.0) | 44 (91.7) | 0.0017 ± 0.001 |
| BMI (kg/m2) | 22.8 ± 0.41 | 22.2 ± 0.42 | −0.0103 ± 0.010 |
| Serum total cholesterol (mg/dL) | 187 ± 6.2 | 182 ± 6.3 | 0.0715 ± 0.134 |
| Serum triglyceride (mg/dL) | 93.6 ± 6.39 | 84.9 ± 6.53 | −0.380 ± 0.153 + |
| Serum glucose | 84.8 ± 0.94 | 81.7 ± 0.97 | −0.0672 ± 0.0294 + |
| Serum AST (IU/L) | 22.3 ± 0.91 | 21.5 ± 0.92 | −0.0161 ± 0.0211 |
| Serum ALT (IU/L) | 19.5 ± 1.09 | 18.2 ± 1.11 | −0.0234 ± 0.0271 |
| Serum ALP (IU/L) | 54.3 ± 2.03 | 57.1 ± 2.07 | 0.0512 ± 0.0518 |
| Serum BUN (mg/dL) | 13.6 ± 2.71 | 13.2 ± 3.99 | 0.0197 ± 0.0124 |
| Serum creatinine (mg/dL) | 0.68 ± 0.01 | 0.72 ± 0.02 | 0.0012 ± 0.0004 ++ |
| Plasma platelet (×1011/U) | 251 ± 6.74 | 261 ± 6.88 | 0.4615 ± 0.1744 ++ |
| Blood WBC (×109/L) | 5.10 ± 0.18 | 5.52 ± 0.18 | 0.0040 ± 0.0044 |
| Exercise (min/week) | 1353 ± 1202 | 1276 ± 1148 | −0.0001 ± 0.0022 |
| Current smoking (Yes, N, %) | 7(14.0) | 2 (4.17) | −0.0014 ± 0.0009 |
| Smoking duration (year) | 1.3 ± 0.5 | 0.4 ± 0.51 | −0.0251 ± 0.013 |
| Alcohol drinking duration (year) | 7.43 ± 1.10 | 6.68 ± 1.12 | −0.0067 ± 0.011 |
| Baseline Assessment | Final Assessment After Intervention | |||
|---|---|---|---|---|
| Normal (n = 48) | Slow-Transit (n = 46) | Normal (n = 48) | Slow-Transit (n = 46) | |
| Healthy diet pattern | 10 (21.7) | 12 (26.1) | 9 (20.5) | 11 (26.2) |
| Plant-based diet pattern (Yes, N, %) | 15 (32.6) | 16(34.8) | 2 (4.55) | 13 (31.0) |
| Traditional Korean diet pattern (Yes, N, %) | 21 (45.7) | 18 (39.1) | 26 (59.1) | 18 (42.9) |
| Energy intake | 1593 ± 59.8 | 1517 ± 61.1 | 1542 ± 61.1 | 1461 ± 61.9 |
| EER % | 61.2 ± 2.01 | 62.3 ± 2.0 | 57.8 ± 1.92 | 60.6 ± 2.06 |
| CHO intake (En%) | 54.1 ± 1.13 | 53.3 ± 1.15 | 53.4 ± 0.01 | 54.7 ± 0.01 |
| Protein intake (En%) | 15.9 ± 0.41 | 16.5 ± 0.42 | 16.4 ± 0.36 | 16.1 ± 0.36 |
| Fat intake (En%) | 29.3 ± 0.89 | 29.1 ± 0.93 | 28.9 ± 0.87 | 29.2 ± 0.28 |
| Dietary fiber (g/day) | 16.0 ± 0.73 | 15.8 ± 0.74 | 15.7 ± 0.54 | 16.1 ± 0.55 |
| Kimchi (g/day) | 76.9 ± 8.86 | 74.6 ± 9.05 | 82.3 ± 9.14 | 58.0 ± 9.24 |
| Sugar beverage (g/day) | 46.7 ± 9.70 | 32.8 ± 9.90 | 29.4 ± 10.4 | 33.4 ± 10.5 |
| Beans (g/day) | 20.4 ± 7.9 | 32.4 ± 8.03 | 16.2 ± 4.04 | 24.5 ± 4.09 |
| Jang (g/day) | 0.32 ± 0.20 | 0.18 ± 0.21 | 0.20 ± 0.26 | 0.55 ± 0.25 |
| Chungkookjang (N, %) | - | - | 23 (48.9) | 21 (50.0) |
| Fruits (g/day) | 77.3 ± 11.1 | 80.9 ± 11.3 | 73.0 ± 10.8 | 76.7 ± 11.0 |
| Green vegetables(g/day) | 26.6 ± 7.63 | 33.9 ± 7.79 | 16.4 ± 3.94 | 19.2 ± 3.99 |
| White vegetables (g/day) | 29.3 ± 5.56 | 29.0 ± 5.68 | 37.4 ± 5.08 | 32.1 ± 5.87 |
| Mushroom (g/day) | 1.70 ± 0.81 | 0.80 ± 0.81 | 4.26 ± 1.78 | 3.18 ± 1.80 |
| Pickle (g/day) | 2.20 ± 1.14 | 4.90 ± 1.17 | 2.96 ± 1.10 | 2.39 ± 1.12 |
| Smoking (each cigarette/day) | 0.89 ± 0.28 | 0.45 ± 0.28 | 1.13 ± 0.28 | 0.23 ± 0.28 |
| Alcohol intake (g/day) | 2.24 ± 0.43 | 1.67 ± 0.79 | 2.02 ± 0.44 | 1.76 ± 0.44 |
Disclaimer/Publisher’s Note: The statements, opinions and data contained in all publications are solely those of the individual author(s) and contributor(s) and not of MDPI and/or the editor(s). MDPI and/or the editor(s) disclaim responsibility for any injury to people or property resulting from any ideas, methods, instructions or products referred to in the content. |
© 2024 by the authors. Licensee MDPI, Basel, Switzerland. This article is an open access article distributed under the terms and conditions of the Creative Commons Attribution (CC BY) license (https://creativecommons.org/licenses/by/4.0/).
Share and Cite
Wu, X.; Yang, H.-J.; Ryu, M.-S.; Jung, S.-J.; Ha, K.; Jeong, D.-Y.; Park, S. Association of Mucin-Degrading Gut Microbiota and Dietary Patterns with Colonic Transit Time in Constipation: A Secondary Analysis of a Randomized Clinical Trial. Nutrients 2025, 17, 138. https://doi.org/10.3390/nu17010138
Wu X, Yang H-J, Ryu M-S, Jung S-J, Ha K, Jeong D-Y, Park S. Association of Mucin-Degrading Gut Microbiota and Dietary Patterns with Colonic Transit Time in Constipation: A Secondary Analysis of a Randomized Clinical Trial. Nutrients. 2025; 17(1):138. https://doi.org/10.3390/nu17010138
Chicago/Turabian StyleWu, Xuangao, Hee-Jong Yang, Myeong-Seon Ryu, Su-Jin Jung, Kwangsu Ha, Do-Yeon Jeong, and Sunmin Park. 2025. "Association of Mucin-Degrading Gut Microbiota and Dietary Patterns with Colonic Transit Time in Constipation: A Secondary Analysis of a Randomized Clinical Trial" Nutrients 17, no. 1: 138. https://doi.org/10.3390/nu17010138
APA StyleWu, X., Yang, H.-J., Ryu, M.-S., Jung, S.-J., Ha, K., Jeong, D.-Y., & Park, S. (2025). Association of Mucin-Degrading Gut Microbiota and Dietary Patterns with Colonic Transit Time in Constipation: A Secondary Analysis of a Randomized Clinical Trial. Nutrients, 17(1), 138. https://doi.org/10.3390/nu17010138

