Associations Between Hemoglobin and Serum Iron Levels and the Risk of Mortality Among Patients with Coronary Artery Disease
Abstract
1. Introduction
2. Methods
2.1. Study Population
2.2. Clinical Data Collection and Biological Measurements
2.3. Prospective Follow-Up
2.4. Statistical Analyses
3. Results
3.1. Baseline Characteristics
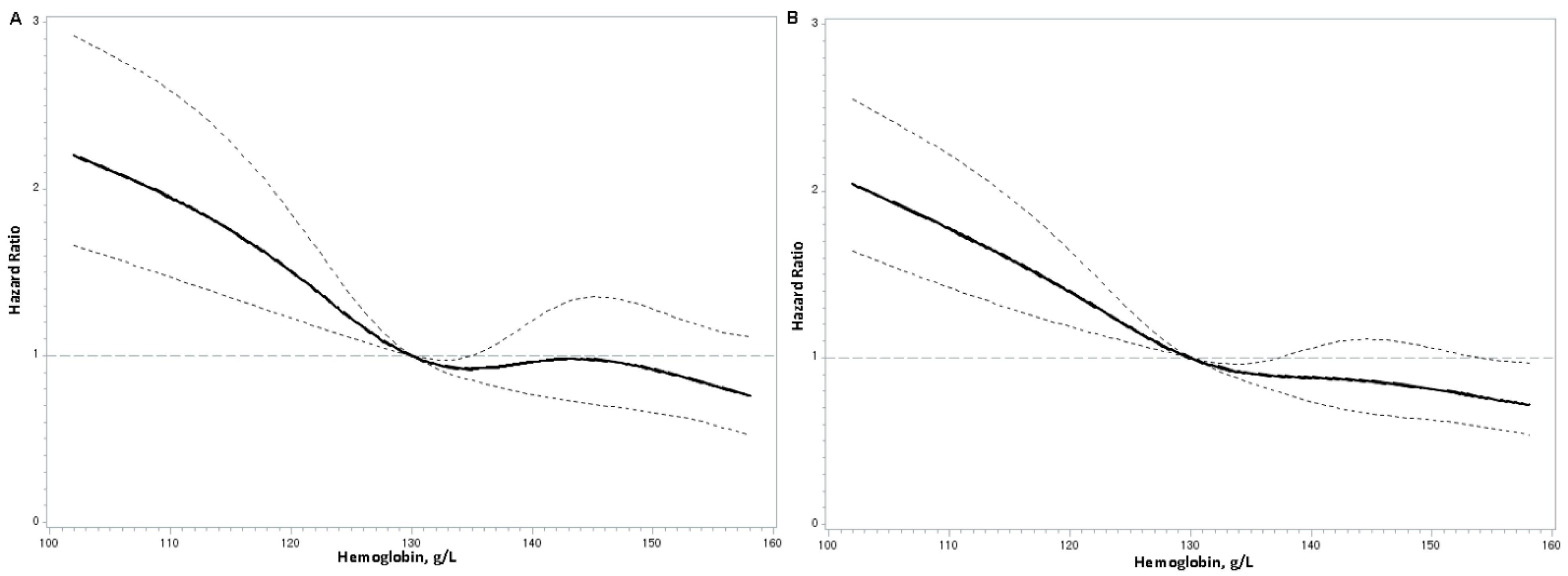
3.2. Hemoglobin Concentrations and Mortality Risks
3.3. Serum Iron Concentrations and Mortality Risks
3.4. Serum Ferritin and Mortality Risks
3.5. Serum Transferrin and Mortality Risks
3.6. TIBC and Mortality Risks
3.7. Transferrin Saturation and Mortality Risks
4. Discussion
5. Conclusions
Supplementary Materials
Author Contributions
Funding
Institutional Review Board Statement
Informed Consent Statement
Data Availability Statement
Conflicts of Interest
Abbreviations
| BMI | Body mass index |
| CAD | Coronary artery disease |
| CVD | Cardiovascular disease |
| CRP | C-reactive protein |
| eGFR | Estimated glomerular filtration rate |
| FPG | Fasting plasma glucose |
| HDL-C | High-density lipoprotein cholesterol |
| HRs | Hazard ratios |
| LDL-C | Low-density lipoprotein cholesterol |
| SBP | Systolic blood pressure |
| SD | standard deviation |
| TC | Total cholesterol |
| TG | Total triglycerides |
| TIBC | Total iron-binding capacity |
References
- Kobayashi, M.; Suhara, T.; Baba, Y.; Kawasaki, N.K.; Higa, J.K.; Matsui, T. Pathological Roles of Iron in Cardiovascular Disease. Curr. Drug Targets 2018, 19, 1068–1076. [Google Scholar] [CrossRef] [PubMed]
- Bi, Y.; Ajoolabady, A.; Demillard, L.J.; Yu, W.; Hilaire, M.L.; Zhang, Y.; Ren, J. Dysregulation of iron metabolism in cardiovascular diseases: From iron deficiency to iron overload. Biochem. Pharmacol. 2021, 190, 114661. [Google Scholar] [CrossRef] [PubMed]
- Xu, J.; Jia, Z.; Knutson, M.D.; Leeuwenburgh, C. Impaired iron status in aging research. Int. J. Mol. Sci. 2012, 13, 2368–2386. [Google Scholar] [CrossRef] [PubMed]
- Dhingra, R.; Vasan, R.S. Age as a risk factor. Med. Clin. N. Am. 2012, 96, 87–91. [Google Scholar] [CrossRef] [PubMed]
- Stauder, R.; Thein, S.L. Anemia in the elderly: Clinical implications and new therapeutic concepts. Haematologica 2014, 99, 1127–1130. [Google Scholar] [CrossRef]
- Semenova, Y.; Bjørklund, G.; Butnariu, M.; Peana, M. Iron-related Biomarkers in the Diagnosis and Management of Iron Disorders. Curr. Med. Chem. 2024, 37, 4233–4248. [Google Scholar] [CrossRef] [PubMed]
- Sullivan, J.L. Iron and the sex difference in heart disease risk. Lancet 1981, 1, 1293–1294. [Google Scholar] [CrossRef] [PubMed]
- Corti, M.-C.; Guralnik, J.M.; Salive, M.E.; Ferrucci, L.; Pahor, M.; Wallace, R.B.; Hennekens, C.H. Serum Iron Level, Coronary Artery Disease, and All-Cause Mortality in Older Men and Women. Am. J. Cardiol. 1997, 79, 120–127. [Google Scholar] [CrossRef]
- Grammer, T.B.; Kleber, M.E.; Silbernagel, G.; Pilz, S.; Scharnagl, H.; Tomaschitz, A.; König, W.; März, W. Hemoglobin, iron metabolism and angiographic coronary artery disease (The Ludwigshafen Risk and Cardiovascular Health Study). Atherosclerosis 2014, 236, 292–300. [Google Scholar] [CrossRef] [PubMed]
- Parikh, A.; Natarajan, S.; Lipsitz, S.R.; Katz, S.D. Iron deficiency in community-dwelling US adults with self-reported heart failure in the National Health and Nutrition Examination Survey III: Prevalence and associations with anemia and inflammation. Circ. Heart Fail. 2011, 4, 599–606. [Google Scholar] [CrossRef]
- Bagheri, B.; Shokrzadeh, M.; Mokhberi, V.; Azizi, S.; Khalilian, A.; Akbari, N.; Habibi, V.; Yousefnejad, K.; Tabiban, S.; Nabati, M. Association between Serum Iron and the Severity of Coronary Artery Disease. Int. Cardiovasc. Res. J. 2013, 7, 95–98. [Google Scholar] [PubMed]
- Salonen, J.T.; Nyyssönen, K.; Korpela, H.; Tuomilehto, J.; Seppänen, R.; Salonen, R. High stored iron levels are associated with excess risk of myocardial infarction in eastern Finnish men. Circulation 1992, 86, 803–811. [Google Scholar] [CrossRef]
- Magnusson, M.K.; Sigfusson, N.; Sigvaldason, H.; Johannesson, G.M.; Magnusson, S.; Thorgeirsson, G. Low iron-binding capacity as a risk factor for myocardial infarction. Circulation 1994, 89, 102–108. [Google Scholar] [CrossRef]
- Danesh, J.; Appleby, P. Coronary heart disease and iron status: Meta-analyses of prospective studies. Circulation 1999, 99, 852–854. [Google Scholar] [CrossRef]
- Cleland, J.G.F.; Zhang, J.; Pellicori, P.; Dicken, B.; Dierckx, R.; Shoaib, A.; Wong, K.; Rigby, A.; Goode, K.; Clark, A.L. Prevalence and Outcomes of Anemia and Hematinic Deficiencies in Patients with Chronic Heart Failure. JAMA Cardiol. 2016, 1, 539–547. [Google Scholar] [CrossRef] [PubMed]
- Paterek, A.; Mackiewicz, U.; Mączewski, M. Iron and the heart: A paradigm shift from systemic to cardiomyocyte abnormalities. J. Cell. Physiol. 2019, 234, 21613–21629. [Google Scholar] [CrossRef] [PubMed]
- Shah, S.V.; Alam, M.G. Role of iron in atherosclerosis. Am. J. Kidney Dis. 2003, 41, S80-3. [Google Scholar] [CrossRef] [PubMed]
- Tuomainen, T.-P.; Diczfalusy, U.; Kaikkonen, J.; Nyyssönen, K.; Salonen, J.T. Serum ferritin concentration is associated with plasma levels of cholesterol oxidation products in man. Free Radic. Biol. Med. 2003, 35, 922–928. [Google Scholar] [CrossRef]
- Chen, Q.; Li, Q.; Li, D.; Chen, X.; Liu, Z.; Hu, G.; Wang, J.; Ling, W. Association between liver fibrosis scores and the risk of mortality among patients with coronary artery disease. Atherosclerosis 2020, 299, 45–52. [Google Scholar] [CrossRef]
- Liu, Y.; Clarke, R.; Bennett, D.A.; Zong, G.; Gan, W. Iron Status and Risk of Heart Disease, Stroke, and Diabetes: A Mendelian Randomization Study in European Adults. J. Am. Heart Assoc. 2024, 13, e031732. [Google Scholar] [CrossRef] [PubMed]
- Sabatine, M.S.; Morrow, D.A.; Giugliano, R.P.; Burton, P.B.J.; Murphy, S.A.; McCabe, C.H.; Gibson, C.M.; Braunwald, E. Association of hemoglobin levels with clinical outcomes in acute coronary syndromes. Circulation 2005, 111, 2042–2049. [Google Scholar] [CrossRef] [PubMed]
- Lee, G.; Choi, S.; Kim, K.; Yun, J.-M.; Son, J.S.; Jeong, S.-M.; Kim, S.M.; Park, S.M. Association of Hemoglobin Concentration and Its Change with Cardiovascular and All-Cause Mortality. J. Am. Heart Assoc. 2018, 7, e007723. [Google Scholar] [CrossRef] [PubMed]
- Grammer, T.B.; Scharnagl, H.; Dressel, A.; Kleber, M.E.; Silbernagel, G.; Pilz, S.; Tomaschitz, A.; Koenig, W.; Mueller-Myhsok, B.; März, W.; et al. Iron Metabolism, Hepcidin, and Mortality (the Ludwigshafen Risk and Cardiovascular Health Study). Clin. Chem. 2019, 65, 849–861. [Google Scholar] [CrossRef] [PubMed]
- Leon, B.M.; Maddox, T.M. Diabetes and cardiovascular disease: Epidemiology, biological mechanisms, treatment recommendations and future research. World J. Diabetes 2015, 6, 1246–1258. [Google Scholar] [CrossRef]
- Gill, D.; Del Greco M, F.; Walker, A.P.; Srai, S.K.S.; Laffan, M.A.; Minelli, C. The Effect of Iron Status on Risk of Coronary Artery Disease: A Mendelian Randomization Study-Brief Report. Arterioscler. Thromb. Vasc. Biol. 2017, 37, 1788–1792. [Google Scholar] [CrossRef]
- Jankowska, E.A.; Wojtas, K.; Kasztura, M.; Mazur, G.; Butrym, A.; Kalicinska, E.; Rybinska, I.; Skiba, J.; von Haehling, S.; Doehner, W.; et al. Bone marrow iron depletion is common in patients with coronary artery disease. Int. J. Cardiol. 2015, 182, 517–522. [Google Scholar] [CrossRef] [PubMed]
- Kiechl, S.; Willeit, J.; Egger, G.; Poewe, W.; Oberhollenzer, F. Body iron stores and the risk of carotid atherosclerosis: Prospective results from the Bruneck study. Circulation 1997, 96, 3300–3307. [Google Scholar] [CrossRef]
- Guedes, M.; Muenz, D.G.; Zee, J.; Bieber, B.; Stengel, B.; Massy, Z.A.; Mansencal, N.; Wong, M.M.Y.; Charytan, D.M.; Reichel, H.; et al. Serum Biomarkers of Iron Stores Are Associated with Increased Risk of All-Cause Mortality and Cardiovascular Events in Nondialysis CKD Patients, with or without Anemia. J. Am. Soc. Nephrol. 2021, 32, 2020–2030. [Google Scholar] [CrossRef]
- Zhang, H.; Zhabyeyev, P.; Wang, S.; Oudit, G.Y. Role of iron metabolism in heart failure: From iron deficiency to iron overload. Biochim. Biophys. Acta Mol. Basis Dis. 2019, 1865, 1925–1937. [Google Scholar] [CrossRef] [PubMed]
- Lupu, M.; Tudor, D.; Filip, A. Iron metabolism and cardiovascular disease: Basic to translational purviews and therapeutical approach. Rev. Port. Cardiol. 2022, 41, 1037–1046. [Google Scholar] [CrossRef] [PubMed]
- Das De, S.; Krishna, S.; Jethwa, A. Iron status and its association with coronary heart disease: Systematic review and meta-analysis of prospective studies. Atherosclerosis 2015, 238, 296–303. [Google Scholar] [CrossRef]
- Duffy, S.J.; Biegelsen, E.S.; Holbrook, M.; Russell, J.D.; Gokce, N.; Keaney, J.F.; Vita, J.A. Iron chelation improves endothelial function in patients with coronary artery disease. Circulation 2001, 103, 2799–2804. [Google Scholar] [CrossRef] [PubMed]
- Gillum, R.F.; Sempos, C.T.; Makuc, D.M.; Looker, A.C.; Chien, C.Y.; Ingram, D.D. Serum transferrin saturation, stroke incidence, and mortality in women and men. The NHANES I Epidemiologic Followup Study. National Health and Nutrition Examination Survey. Am. J. Epidemiol. 1996, 144, 59–68. [Google Scholar] [CrossRef]
- Zheng, H.; Cable, R.; Spencer, B.; Votto, N.; Katz, S.D. Iron stores and vascular function in voluntary blood donors. Arterioscler. Thromb. Vasc. Biol. 2005, 25, 1577–1583. [Google Scholar] [CrossRef] [PubMed]
- You, S.-A.; Archacki, S.R.; Angheloiu, G.; Moravec, C.S.; Rao, S.; Kinter, M.; Topol, E.J.; Wang, Q. Proteomic approach to coronary atherosclerosis shows ferritin light chain as a significant marker: Evidence consistent with iron hypothesis in atherosclerosis. Physiol. Genomics 2003, 13, 25–30. [Google Scholar] [CrossRef] [PubMed]
- Baer, D.M.; Tekawa, I.S.; Hurley, L.B. Iron stores are not associated with acute myocardial infarction. Circulation 1994, 89, 2915–2918. [Google Scholar] [CrossRef] [PubMed]
- Knuiman, M.W.; Divitini, M.L.; Olynyk, J.K.; Cullen, D.J.; Bartholomew, H.C. Serum ferritin and cardiovascular disease: A 17-year follow-up study in Busselton, Western Australia. Am. J. Epidemiol. 2003, 158, 144–149. [Google Scholar] [CrossRef] [PubMed]
- Sawicki, K.T.; de Jesus, A.; Ardehali, H. Iron Metabolism in Cardiovascular Disease: Physiology, Mechanisms, and Therapeutic Targets. Circ. Res. 2023, 132, 379–396. [Google Scholar] [CrossRef] [PubMed]
- Sun, Q.; Ma, J.; Rifai, N.; Franco, O.H.; Rexrode, K.M.; Hu, F.B. Excessive body iron stores are not associated with risk of coronary heart disease in women. J. Nutr. 2008, 138, 2436–2441. [Google Scholar] [CrossRef]
- Carpenter, J.-P.; He, T.; Kirk, P.; Roughton, M.; Anderson, L.J.; de Noronha, S.V.; Sheppard, M.N.; Porter, J.B.; Walker, J.M.; Wood, J.C.; et al. On T2* magnetic resonance and cardiac iron. Circulation 2011, 123, 1519–1528. [Google Scholar] [CrossRef]
- Von Haehling, S.; Jankowska, E.A.; van Veldhuisen, D.J.; Ponikowski, P.; Anker, S.D. Iron deficiency and cardiovascular disease. Nat. Rev. Cardiol. 2015, 12, 659–669. [Google Scholar] [CrossRef]
- Ponikowska, B.; Suchocki, T.; Paleczny, B.; Olesinska, M.; Powierza, S.; Borodulin-Nadzieja, L.; Reczuch, K.; von Haehling, S.; Doehner, W.; Anker, S.D.; et al. Iron status and survival in diabetic patients with coronary artery disease. Diabetes Care 2013, 36, 4147–4156. [Google Scholar] [CrossRef] [PubMed]
- Syrovatka, P.; Kraml, P.; Potockova, J.; Fialova, L.; Vejrazka, M.; Crkovska, J.; Andel, M. Relationship between increased body iron stores, oxidative stress and insulin resistance in healthy men. Ann. Nutr. Metab. 2009, 54, 268–274. [Google Scholar] [CrossRef]


| Variables | Total (n = 3224) | Male (n = 2052) | Female (n = 1172) | p Value |
|---|---|---|---|---|
| Serum iron (μmol/L) | 13.1 (9.1–17.5) | 13.2 (9.2–18.2) | 12.9 (9.1–16.5) | 0.001 |
| Hemoglobin (g/L) | 133.0 (121.0–143.0) | 138.0 (127.0–147.0) | 125.0 (115.0–133.0) | <0.001 |
| Age, year | 64.2 (11.1) | 62.4 (11.6) | 67.3 (9.5) | <0.001 |
| Body mass index, kg/m2 | 24.0 (3.4) | 24.0 (3.2) | 24.0 (3.6) | 0.968 |
| Systolic blood pressure, mmHg | 135.4 (22.4) | 133.4 (22.4) | 138.7 (22.0) | <0.001 |
| Diastolic blood pressure, mmHg | 78.1 (12.7) | 78.3 (13.1) | 77.8 (12.0) | 0.301 |
| Fasting plasma glucose, mmol/L | 6.62 (2.84) | 6.55 (2.61) | 6.74 (3.20) | 0.060 |
| Total cholesterol, mmol/L | 4.80 (1.15) | 4.65 (1.12) | 5.05 (1.16) | <0.001 |
| Low-density lipoprotein cholesterol, mmol/L | 2.99 (0.98) | 2.93 (0.97) | 3.09 (1.00) | <0.001 |
| High-density lipoprotein cholesterol, mmol/L | 1.14 (0.31) | 1.08 (0.28) | 1.25 (0.33) | <0.001 |
| Triglycerides, mmol/L | 1.53 (1.09–2.17) | 1.51 (1.07–2.14) | 1.56 (1.12–2.21) | 0.036 |
| C-reactive protein *, mg/L | 3.11 (1.11–11.16) | 3.39 (1.11–13.28) | 2.70 (1.10–8.26) | <0.001 |
| Estimated glomerular filtration rate, mL/min per 1.73 m2, % | <0.001 | |||
| <60 | 28.7 | 24.5 | 35.8 | |
| ≥60 | 71.3 | 75.5 | 64.2 | |
| Duration of coronary artery disease, year | ||||
| First diagnosed coronary artery disease (n = 2114) | - | - | - | - |
| History of coronary artery disease (n = 1110) | 3.00 (0.86–7.16) | 2.34 (0.73–6.34) | 4.00 (1.00–9.80) | <0.001 |
| Smoking status, % | <0.001 | |||
| Never | 60.8 | 41.2 | 95.2 | |
| Current | 29.1 | 43.9 | 3.2 | |
| Past | 10.1 | 15.0 | 1.6 | |
| Alcohol drinking status, % | <0.001 | |||
| Never | 83.9 | 75.3 | 98.7 | |
| Current | 11.7 | 17.8 | 1.1 | |
| Past | 4.4 | 6.8 | 0.2 | |
| Type of coronary artery disease, % | <0.001 | |||
| Acute coronary syndrome (n = 1823) | 56.5 | 61.5 | 47.9 | |
| Chronic coronary artery disease (n = 1401) | 43.5 | 38.5 | 52.1 | |
| History of diseases (yes), % | ||||
| Hypertension | 76.2 | 74.5 | 79.4 | 0.002 |
| Dyslipidemia | 19.3 | 18.7 | 20.4 | 0.232 |
| Diabetes | 23.7 | 21.7 | 27.0 | 0.001 |
| Use of medication before admission (Yes), % | ||||
| Anti-hypertensive drugs | 48.6 | 44.2 | 57.2 | <0.001 |
| Cholesterol-lowering drugs | 12.3 | 12.5 | 11.8 | 0.668 |
| Anti-diabetic drugs | 16.7 | 14.7 | 20.5 | 0.002 |
| Anti-platelet drugs | 19.9 | 20.7 | 18.2 | 0.202 |
| Hemoglobin Levels | |||||||
|---|---|---|---|---|---|---|---|
| Quartile 1 | Quartile 2 | Quartile 3 | Quartile 4 | p Value | Hazard Ratio per 1 SD Increment | p Value | |
| Cardiovascular mortality | |||||||
| N | 816 | 819 | 799 | 790 | |||
| Person-years | 7.86 | 8.44 | 8.60 | 8.78 | |||
| Number of deaths | 143 | 104 | 80 | 76 | |||
| Model 1 | 1.00 | 0.61 (0.47–0.78) | 0.50 (0.38–0.66) | 0.51 (0.38–0.69) | <0.001 | 0.74 (0.68–0.82) | <0.001 |
| Model 2 | 1.00 | 0.61 (0.47–0.79) | 0.52 (0.39–0.69) | 0.53 (0.39–0.72) | <0.001 | 0.76 (0.68–0.84) | <0.001 |
| Model 3 | 1.00 | 0.64 (0.50–0.83) | 0.58 (0.44–0.77) | 0.62 (0.46–0.85) | <0.001 | 0.81 (0.73–0.90) | <0.001 |
| All-cause mortality | |||||||
| N | 816 | 819 | 799 | 790 | |||
| Person-years | 7.86 | 8.44 | 8.60 | 8.78 | |||
| Number of deaths | 228 | 161 | 134 | 113 | |||
| Model 1 | 1.00 | 0.59 (0.48–0.72) | 0.55 (0.45–0.69) | 0.51 (0.41–0.65) | <0.001 | 0.74 (0.68–0.79) | <0.001 |
| Model 2 | 1.00 | 0.61 (0.50–0.75) | 0.60 (0.48–0.75) | 0.56 (0.44–0.72) | <0.001 | 0.77 (0.71–0.83) | <0.001 |
| Model 3 | 1.00 | 0.64 (0.52–0.79) | 0.66 (0.53–0.82) | 0.64 (0.50–0.83) | <0.001 | 0.81 (0.74–0.88) | <0.001 |
| Serum Iron Levels | |||||||
|---|---|---|---|---|---|---|---|
| Quartile 1 | Quartile 2 | Quartile 3 | Quartile 4 | p Value | Hazard Ratio per 1 SD Increment | p Value | |
| Cardiovascular mortality | |||||||
| N | 811 | 807 | 802 | 804 | |||
| Person-years | 7.82 | 8.41 | 8.81 | 8.63 | |||
| Number of deaths | 169 | 105 | 58 | 71 | |||
| Model 1 | 1.00 | 0.63 (0.50–0.81) | 0.37 (0.27–0.49) | 0.40 (0.29–0.53) | <0.001 | 0.67 (0.60–0.75) | <0.001 |
| Model 2 | 1.00 | 0.68 (0.53–0.87) | 0.41 (0.30–0.55) | 0.46 (0.34–0.62) | <0.001 | 0.72 (0.64–0.81) | <0.001 |
| Model 3 | 1.00 | 0.72 (0.56–0.92) | 0.44 (0.33–0.59) | 0.51 (0.37–0.69) | <0.001 | 0.76 (0.67–0.85) | <0.001 |
| All–cause mortality | |||||||
| N | 811 | 807 | 802 | 804 | |||
| Person-years | 7.82 | 8.41 | 8.81 | 8.63 | |||
| Number of deaths | 241 | 174 | 99 | 122 | |||
| Model 1 | 1.00 | 0.74 (0.61–0.90) | 0.42 (0.33–0.53) | 0.51 (0.41–0.64) | <0.001 | 0.72 (0.65–0.78) | <0.001 |
| Model 2 | 1.00 | 0.79 (0.65–0.97) | 0.47 (0.37–0.59) | 0.59 (0.47–0.75) | <0.001 | 0.77 (0.70–0.84) | <0.001 |
| Model 3 | 1.00 | 0.84 (0.69–1.03) | 0.51 (0.40–0.64) | 0.67 (0.53–0.85) | <0.001 | 0.81 (0.74–0.89) | <0.001 |
Disclaimer/Publisher’s Note: The statements, opinions and data contained in all publications are solely those of the individual author(s) and contributor(s) and not of MDPI and/or the editor(s). MDPI and/or the editor(s) disclaim responsibility for any injury to people or property resulting from any ideas, methods, instructions or products referred to in the content. |
© 2024 by the authors. Licensee MDPI, Basel, Switzerland. This article is an open access article distributed under the terms and conditions of the Creative Commons Attribution (CC BY) license (https://creativecommons.org/licenses/by/4.0/).
Share and Cite
Li, Q.; Pan, Z.; Zeng, Y.; Wang, X.; Li, D.; Yin, T.; Chen, Q.; Ling, W. Associations Between Hemoglobin and Serum Iron Levels and the Risk of Mortality Among Patients with Coronary Artery Disease. Nutrients 2025, 17, 139. https://doi.org/10.3390/nu17010139
Li Q, Pan Z, Zeng Y, Wang X, Li D, Yin T, Chen Q, Ling W. Associations Between Hemoglobin and Serum Iron Levels and the Risk of Mortality Among Patients with Coronary Artery Disease. Nutrients. 2025; 17(1):139. https://doi.org/10.3390/nu17010139
Chicago/Turabian StyleLi, Qing, Zhijun Pan, Yupeng Zeng, Xu Wang, Dan Li, Ting Yin, Qian Chen, and Wenhua Ling. 2025. "Associations Between Hemoglobin and Serum Iron Levels and the Risk of Mortality Among Patients with Coronary Artery Disease" Nutrients 17, no. 1: 139. https://doi.org/10.3390/nu17010139
APA StyleLi, Q., Pan, Z., Zeng, Y., Wang, X., Li, D., Yin, T., Chen, Q., & Ling, W. (2025). Associations Between Hemoglobin and Serum Iron Levels and the Risk of Mortality Among Patients with Coronary Artery Disease. Nutrients, 17(1), 139. https://doi.org/10.3390/nu17010139

