Body Mass Index and Weight Change as Predictors of Hypertension Development: A Sex-Specific Analysis
Abstract
1. Introduction
2. Methods
2.1. Study Design and Study Participants
2.2. Inclusion and Exclusion Criteria
2.3. Measurements
2.4. Statistical Analysis
3. Results
3.1. Participants
3.2. Cumulative Incidence of Hypertension
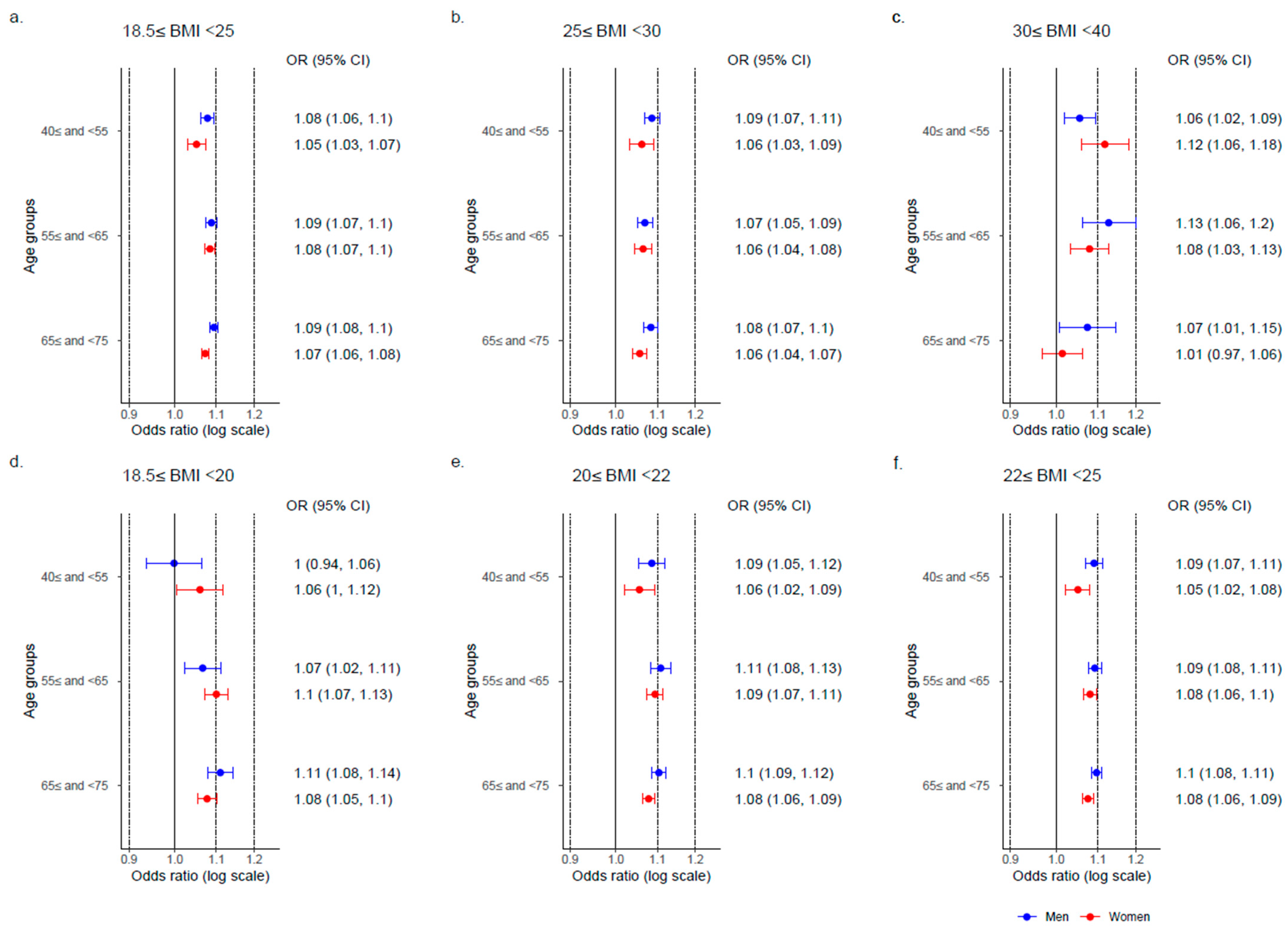
3.3. Association Between the Incidence of Hypertension and BMI and Weight Change
4. Discussion
Strengths and Weaknesses of This Study
5. Conclusions
Author Contributions
Funding
Institutional Review Board Statement
Informed Consent Statement
Data Availability Statement
Acknowledgments
Conflicts of Interest
Abbreviations
References
- Johnson, R.J.; Sánchez-Lozada, L.G.; Lanaspa, M.A. The Fructose Survival Hypothesis as a Mechanism for Unifying the Various Obesity Hypotheses. Obesity 2024, 32, 12–22. [Google Scholar] [CrossRef] [PubMed]
- NCD Risk Factor Collaboration (NCD-RisC). Trends in Adult Body-Mass Index in 200 Countries from 1975 to 2014: A Pooled Analysis of 1698 Population-Based Measurement Studies with 19·2 Million Participants. Lancet 2016, 387, 1377–1396. [Google Scholar] [CrossRef] [PubMed]
- NCD Risk Factor Collaboration (NCD-RisC). Worldwide Trends in Underweight and Obesity from 1990 to 2022: A Pooled Analysis of 3663 Population-Representative Studies with 222 Million Children, Adolescents, and Adults. Lancet 2024, 403, 1027–1050. [Google Scholar] [CrossRef] [PubMed]
- Obesity Atlas 2023. Available online: https://data.worldobesity.org/publications/?cat=19 (accessed on 23 August 2024).
- GBD 2021 Risk Factors Collaborators. Global Burden and Strength of Evidence for 88 Risk Factors in 204 Countries and 811 Subnational Locations, 1990–2021: A Systematic Analysis for the Global Burden of Disease Study 2021. Lancet 2024, 403, 2162–2203. [Google Scholar] [CrossRef] [PubMed]
- Garvey, W.T.; Mechanick, J.I.; Brett, E.M.; Garber, A.J.; Hurley, D.L.; Jastreboff, A.M.; Nadolsky, K.; Pessah-Pollack, R.; Plodkowski, R.; Reviewers of the AACE/ACE Obesity Clinical Practice Guidelines. American Association of Clinical Endocrinologists and American College of Endocrinology Comprehensive Clinical Practice Guidelines for Medical Care of Patients with Obesity. Endocr. Pract. 2016, 22 (Suppl. S3), 842–884. [Google Scholar] [CrossRef]
- Seravalle, G.; Grassi, G. Obesity and Hypertension. Pharmacol. Res. 2017, 122, 1–7. [Google Scholar] [CrossRef] [PubMed]
- Khan, S.S.; Ning, H.; Wilkins, J.T.; Allen, N.; Carnethon, M.; Berry, J.D.; Sweis, R.N.; Lloyd-Jones, D.M. Association of Body Mass Index with Lifetime Risk of Cardiovascular Disease and Compression of Morbidity. JAMA Cardiol. 2018, 3, 280–287. [Google Scholar] [CrossRef]
- Powell-Wiley, T.M.; Poirier, P.; Burke, L.E.; Després, J.-P.; Gordon-Larsen, P.; Lavie, C.J.; Lear, S.A.; Ndumele, C.E.; Neeland, I.J.; Sanders, P.; et al. Obesity and Cardiovascular Disease: A Scientific Statement from the American Heart Association. Circulation 2021, 143, e984–e1010. [Google Scholar] [CrossRef] [PubMed]
- Bays, H.E.; Kirkpatrick, C.; Maki, K.C.; Toth, P.P.; Morgan, R.T.; Tondt, J.; Christensen, S.M.; Dixon, D.; Jacobson, T.A. Obesity, Dyslipidemia, and Cardiovascular Disease: A Joint Expert Review from the Obesity Medicine Association and the National Lipid Association 2024. Obes. Pillars 2024, 10, 100108. [Google Scholar] [CrossRef]
- Kivimäki, M.; Strandberg, T.; Pentti, J.; Nyberg, S.T.; Frank, P.; Jokela, M.; Ervasti, J.; Suominen, S.B.; Vahtera, J.; Sipilä, P.N.; et al. Body-Mass Index and Risk of Obesity-Related Complex Multimorbidity: An Observational Multicohort Study. Lancet Diabetes Endocrinol. 2022, 10, 253–263. [Google Scholar] [CrossRef]
- Welsh, A.; Hammad, M.; Piña, I.L.; Kulinski, J. Obesity and Cardiovascular Health. Eur. J. Prev. Cardiol. 2024, 31, 1026–1035. [Google Scholar] [CrossRef] [PubMed]
- Muramoto, A.; Matsushita, M.; Kato, A.; Yamamoto, N.; Koike, G.; Nakamura, M.; Numata, T.; Tamakoshi, A.; Tsushita, K. Three Percent Weight Reduction Is the Minimum Requirement to Improve Health Hazards in Obese and Overweight People in Japan. Obes. Res. Clin. Pract. 2014, 8, e466–e475. [Google Scholar] [CrossRef] [PubMed]
- Ryan, D.H.; Yockey, S.R. Weight Loss and Improvement in Comorbidity: Differences at 5%, 10%, 15%, and Over. Curr. Obes. Rep. 2017, 6, 187–194. [Google Scholar] [CrossRef]
- LeBlanc, E.L.; Patnode, C.D.; Webber, E.M.; Redmond, N.; Rushkin, M.; O’Connor, E.A. Behavioral and Pharmacotherapy Weight Loss Interventions to Prevent Obesity-Related Morbidity and Mortality in Adults: An Updated Systematic Review for the U.S. Preventive Services Task Force; Agency for Healthcare Research and Quality (US): Rockville, MD, USA, 2018.
- Carey, R.M.; Moran, A.E.; Whelton, P.K. Treatment of Hypertension. JAMA 2022, 328, 1849. [Google Scholar] [CrossRef] [PubMed]
- Tokunaga, K.; Matsuzawa, Y.; Kotani, K.; Keno, Y.; Kobatake, T.; Fujioka, S.; Tarui, S. Ideal Body Weight Estimated from the Body Mass Index with the Lowest Morbidity. Int. J. Obes. 1991, 15, 1–5. [Google Scholar]
- Ikeda, N.; Takimoto, H.; Imai, S.; Miyachi, M.; Nishi, N. Data Resource Profile: The Japan National Health and Nutrition Survey (NHNS). Int. J. Epidemiol. 2015, 44, 1842–1849. [Google Scholar] [CrossRef] [PubMed]
- Chiu, M.; Austin, P.C.; Manuel, D.G.; Shah, B.R.; Tu, J.V. Deriving Ethnic-Specific BMI Cutoff Points for Assessing Diabetes Risk. Diabetes Care 2011, 34, 1741–1748. [Google Scholar] [CrossRef] [PubMed]
- Kodama, K.; Tojjar, D.; Yamada, S.; Toda, K.; Patel, C.J.; Butte, A.J. Ethnic Differences in the Relationship between Insulin Sensitivity and Insulin Response: A Systematic Review and Meta-Analysis. Diabetes Care 2013, 36, 1789–1796. [Google Scholar] [CrossRef]
- Tillin, T.; Sattar, N.; Godsland, I.F.; Hughes, A.D.; Chaturvedi, N.; Forouhi, N.G. Ethnicity-Specific Obesity Cut-Points in the Development of Type 2 Diabetes—A Prospective Study Including Three Ethnic Groups in the United Kingdom. Diabet. Med. 2015, 32, 226–234. [Google Scholar] [CrossRef] [PubMed]
- Gray, L.J.; Yates, T.; Davies, M.J.; Brady, E.; Webb, D.R.; Sattar, N.; Khunti, K. Defining Obesity Cut-off Points for Migrant South Asians. PLoS ONE 2011, 6, e26464. [Google Scholar] [CrossRef] [PubMed]
- NCD Risk Factor Collaboration (NCD-RisC). General and Abdominal Adiposity and Hypertension in Eight World Regions: A Pooled Analysis of 837 Population-Based Studies with 7·5 Million Participants. Lancet 2024, 404, 851–863. [Google Scholar] [CrossRef]
- Kuwabara, M.; Kuwabara, R.; Niwa, K.; Hisatome, I.; Smits, G.; Roncal-Jimenez, C.A.; MacLean, P.S.; Yracheta, J.M.; Ohno, M.; Lanaspa, M.A.; et al. Different Risk for Hypertension, Diabetes, Dyslipidemia, and Hyperuricemia According to Level of Body Mass Index in Japanese and American Subjects. Nutrients 2018, 10, 1011. [Google Scholar] [CrossRef] [PubMed]
- Kohro, T.; Furui, Y.; Mitsutake, N.; Fujii, R.; Morita, H.; Oku, S.; Ohe, K.; Nagai, R. The Japanese National Health Screening and Intervention Program Aimed at Preventing Worsening of the Metabolic Syndrome. Int. Heart J. 2008, 49, 193–203. [Google Scholar] [CrossRef]
- Matsuzawa, Y.; Funahashi, T.; Nakamura, T. The Concept of Metabolic Syndrome: Contribution of Visceral Fat Accumulation and Its Molecular Mechanism. J. Atheroscler. Thromb. 2011, 18, 629–639. [Google Scholar] [CrossRef] [PubMed]
- Park, K.-Y.; Park, H.-K.; Hwang, H.-S. Relationship between Abdominal Obesity and Alcohol Drinking Pattern in Normal-Weight, Middle-Aged Adults: The Korea National Health and Nutrition Examination Survey 2008-2013. Public Health Nutr. 2017, 20, 2192–2200. [Google Scholar] [CrossRef] [PubMed]
- Kim, B.-Y.; Nam, H.; Yoo, J.-J.; Cho, Y.-Y.; Choi, D.-H.; Jung, C.-H.; Mok, J.-O.; Kim, C.-H. Association between Alcohol Consumption Status and Obesity-Related Comorbidities in Men: Data from the 2016 Korean Community Health Survey. BMC Public Health 2021, 21, 733. [Google Scholar] [CrossRef]
- Barzin, M.; Piri, Z.; Serahati, S.; Valizadeh, M.; Azizi, F.; Hosseinpanah, F. Incidence of Abdominal Obesity and Its Risk Factors among Tehranian Adults. Public Health Nutr. 2018, 21, 3111–3117. [Google Scholar] [CrossRef] [PubMed]
- Leskinen, T.; Stenholm, S.; Pulakka, A.; Pentti, J.; Kivimäki, M.; Vahtera, J. Comparison between Recent and Long-Term Physical Activity Levels as Predictors of Cardiometabolic Risk: A Cohort Study. BMJ Open 2020, 10, e033797. [Google Scholar] [CrossRef]
- Lohse, T.; Rohrmann, S.; Bopp, M.; Faeh, D. Heavy Smoking Is More Strongly Associated with General Unhealthy Lifestyle than Obesity and Underweight. PLoS ONE 2016, 11, e0148563. [Google Scholar] [CrossRef] [PubMed]
- Chatkin, R.; Chatkin, J.M.; Spanemberg, L.; Casagrande, D.; Wagner, M.; Mottin, C. Smoking Is Associated with More Abdominal Fat in Morbidly Obese Patients. PLoS ONE 2015, 10, e0126146. [Google Scholar] [CrossRef] [PubMed]
- International Expert Committee. International Expert Committee Report on the Role of the A1C Assay in the Diagnosis of Diabetes. Diabetes Care 2009, 32, 1327–1334. [Google Scholar] [CrossRef] [PubMed]
- Okamura, T.; Tsukamoto, K.; Arai, H.; Fujioka, Y.; Ishigaki, Y.; Koba, S.; Ohmura, H.; Shoji, T.; Yokote, K.; Yoshida, H.; et al. Japan Atherosclerosis Society (JAS) Guidelines for Prevention of Atherosclerotic Cardiovascular Diseases 2022. J. Atheroscler. Thromb. 2024, 31, 641–853. [Google Scholar] [PubMed]
- Katanoda, K.; Matsumura, Y. National Nutrition Survey in Japan--Its Methodological Transition and Current Findings. J. Nutr. Sci. Vitaminol. 2002, 48, 423–432. [Google Scholar] [CrossRef] [PubMed]
- Fallah-Fini, S.; Ikeda, N.; Nishi, N. Trends in Energy Imbalance Gap and Body Weight Status in the Japanese Adult Population: A System Dynamics Approach. J. Epidemiol. 2021, 31, 335–342. [Google Scholar] [CrossRef] [PubMed]
- Chapman, N.; Ching, S.M.; Konradi, A.O.; Nuyt, A.M.; Khan, T.; Twumasi-Ankrah, B.; Cho, E.J.; Schutte, A.E.; Touyz, R.M.; Steckelings, U.M.; et al. Arterial Hypertension in Women: State of the Art and Knowledge Gaps. Hypertension 2023, 80, 1140–1149. [Google Scholar] [CrossRef] [PubMed]
- Nappi, R.E.; Chedraui, P.; Lambrinoudaki, I.; Simoncini, T. Menopause: A Cardiometabolic Transition. Lancet Diabetes Endocrinol. 2022, 10, 442–456. [Google Scholar] [CrossRef]
- Lobo, R.A.; Gompel, A. Management of Menopause: A View towards Prevention. Lancet Diabetes Endocrinol. 2022, 10, 457–470. [Google Scholar] [CrossRef]
- Liu, Y.; Li, C. Hormone Therapy and Biological Aging in Postmenopausal Women. JAMA Netw. Open 2024, 7, e2430839. [Google Scholar] [CrossRef] [PubMed]
- Johansson, T.; Karlsson, T.; Bliuc, D.; Schmitz, D.; Ek, W.E.; Skalkidou, A.; Center, J.R.; Johansson, Å. Contemporary Menopausal Hormone Therapy and Risk of Cardiovascular Disease: Swedish Nationwide Register Based Emulated Target Trial. BMJ 2024, 387, e078784. [Google Scholar] [CrossRef] [PubMed]
- Lanaspa, M.A.; Kuwabara, M.; Andres-Hernando, A.; Li, N.; Cicerchi, C.; Jensen, T.; Orlicky, D.J.; Roncal-Jimenez, C.A.; Ishimoto, T.; Nakagawa, T.; et al. High Salt Intake Causes Leptin Resistance and Obesity in Mice by Stimulating Endogenous Fructose Production and Metabolism. Proc. Natl. Acad. Sci. USA 2018, 115, 3138–3143. [Google Scholar] [CrossRef]
- Andres-Hernando, A.; Cicerchi, C.; Kuwabara, M.; Orlicky, D.J.; Sanchez-Lozada, L.G.; Nakagawa, T.; Johnson, R.J.; Lanaspa, M.A. Umami-Induced Obesity and Metabolic Syndrome Is Mediated by Nucleotide Degradation and Uric Acid Generation. Nat. Metab. 2021, 3, 1189–1201. [Google Scholar] [CrossRef] [PubMed]






| Characteristic | Overall, n = 397,181 | Women, n = 243,825 | Men, n = 153,356 |
|---|---|---|---|
| Age, mean (SD), years | 62 (8) | 63 (8) | 62 (9) |
| Age group, n (%) | |||
| ≥40 and <55 years old | 69,677 (18%) | 36,025 (15%) | 33,652 (22%) |
| ≥55 and <65 years old | 133,442 (34%) | 90,663 (37%) | 42,779 (28%) |
| ≥65 and <75 years old | 194,062 (49%) | 117,137 (48%) | 76,925 (50%) |
| BMI, mean (SD) | 22.58 (2.61) | 22.21 (2.57) | 23.16 (2.56) |
| BMI group, n (%) | |||
| 18.5 ≤ BMI < 20 kg/m2 | 63,358 (16%) | 48,910 (20%) | 14,448 (9.4%) |
| 20 ≤ BMI < 22 kg/m2 | 120,854 (30%) | 81,731 (34%) | 39,123 (26%) |
| 22 ≤ BMI < 25 kg/m2 | 148,352 (37%) | 80,966 (33%) | 67,386 (44%) |
| 25 ≤ BMI < 30 kg/m2 | 59,689 (15%) | 29,386 (12%) | 30,303 (20%) |
| 30 ≤ BMI < 35 kg/m2 | 4540 (1.1%) | 2600 (1.1%) | 1940 (1.3%) |
| 35 ≤ BMI < 40 kg/m2 | 388 (<0.1%) | 232 (<0.1%) | 156 (0.1%) |
| Systolic blood pressure, mean (SD), mmHg | 120 (12) | 120 (12) | 121 (11) |
| Diastolic blood pressure, mean (SD), mmHg | 72 (9) | 71 (9) | 74 (8) |
| Smoking habit, n (%) | 50,067 (13%) | 12,739 (5.2%) | 37,328 (24%) |
| Drinking habit, n (%) | 182,490 (46%) | 79,327 (33%) | 103,163 (67%) |
| Exercise habit, n (%) | 253,146 (64%) | 154,173 (63%) | 98,973 (65%) |
| Body weight change, mean (SD), kg | −0.23 (2.31) | −0.24 (2.17) | −0.22 (2.53) |
| Body weight change group, No. (%) | |||
| <−2.5 kg | 52,112 (13%) | 29,036 (12%) | 23,076 (15%) |
| −2.5≤ and <−1.5 kg | 44,251 (11%) | 26,847 (11%) | 17,404 (11%) |
| −1.5≤ and <−0.5 kg | 69,654 (18%) | 44,498 (18%) | 25,156 (16%) |
| −0.5≤ and <0.5 kg | 84,079 (21%) | 55,277 (23%) | 28,802 (19%) |
| 0.5≤ and <1.5 kg | 67,772 (17%) | 43,321 (18%) | 24,451 (16%) |
| 1.5≤ and <2.5 kg | 39,723 (10%) | 23,971 (9.8%) | 15,752 (10%) |
| 2.5 kg≤ | 39,590 (10.0%) | 20,875 (8.6%) | 18,715 (12%) |
| Dyslipidemia, n (%) | 217,790 (55%) | 137,543 (56%) | 80,247 (52%) |
| Diabetes, n (%) | 25,405 (6.4%) | 10,581 (4.3%) | 14,824 (9.7%) |
| Characteristic | 40 ≤ Age < 55, n = 33,652 | 55 ≤ Age < 65, n = 42,779 | 65 ≤ Age < 75, n = 76,925 |
|---|---|---|---|
| Age, mean (SD), years | 47 (4) | 61 (3) | 69 (2) |
| BMI, mean (SD) | 23.66 (2.97) | 23.21 (2.53) | 22.92 (2.34) |
| BMI group, n (%) | |||
| ≥18.5 and <20 kg/m2 | 2817 (8.4%) | 3920 (9.2%) | 7711 (10%) |
| ≥20 and <22 kg/m2 | 7774 (23%) | 10,653 (25%) | 20,696 (27%) |
| ≥22 and <25 kg/m2 | 13,603 (40%) | 18,744 (44%) | 35,039 (46%) |
| ≥25 and <30 kg/m2 | 8354 (25%) | 8963 (21%) | 12,986 (17%) |
| ≥30 and <35 kg/m2 | 990 (2.9%) | 475 (1.1%) | 475 (0.6%) |
| ≥35 and <40 kg/m2 | 114 (0.3%) | 24 (<0.1%) | 18 (<0.1%) |
| Systolic blood pressure, mean (SD), mmHg | 118 (11) | 122 (11) | 123 (11) |
| Diastolic blood pressure, mean (SD), mmHg | 74 (9) | 75 (8) | 74 (8) |
| Smoking habit, n (%) | 11,882 (35%) | 11,689 (27%) | 13,757 (18%) |
| Drinking habit, n (%) | 23,057 (69%) | 29,183 (68%) | 50,923 (66%) |
| Exercise habit, n (%) | 17,314 (51%) | 25,197 (59%) | 56,462 (73%) |
| Body weight change, mean (SD), kg | −0.02 (2.94) | −0.25 (2.54) | −0.30 (2.31) |
| Body weight change group, n (%) | |||
| <−2.5 kg | 5639 (17%) | 6559 (15%) | 10,878 (14%) |
| ≥−2.5 and <−1.5 kg | 3316 (9.9%) | 4955 (12%) | 9133 (12%) |
| ≥−1.5 and <−0.5 kg | 4637 (14%) | 6996 (16%) | 13,523 (18%) |
| ≥−0.5 and <0.5 kg | 5322 (16%) | 7921 (19%) | 15,559 (20%) |
| ≥0.5 and <1.5 kg | 5090 (15%) | 6723 (16%) | 12,638 (16%) |
| ≥1.5 and <2.5 kg | 3777 (11%) | 4396 (10%) | 7579 (9.9%) |
| ≥2.5 kg | 5871 (17%) | 5229 (12%) | 7615 (9.9%) |
| Dyslipidemia, n (%) | 17,890 (53%) | 23,321 (55%) | 39,036 (51%) |
| Diabetes, n (%) | 1464 (4.4%) | 4201 (9.8%) | 9159 (12%) |
| Characteristic | 40 ≤ Age < 55, n = 36,025 | 55 ≤ Age < 65, n = 90,663 | 65 ≤ Age < 75, n = 117,137 |
|---|---|---|---|
| Age, mean (SD), years | 47 (4) | 61 (3) | 69 (2) |
| BMI, mean (SD) | 22.09 (2.88) | 22.18 (2.55) | 22.28 (2.48) |
| BMI group, n (%) | |||
| ≥18.5 and <20 kg/m2 | 9061 (25%) | 18,461 (20%) | 21,388 (18%) |
| ≥20 and <22 kg/m2 | 12,173 (34%) | 30,676 (34%) | 38,882 (33%) |
| ≥22 and <25 kg/m2 | 9792 (27%) | 29,820 (33%) | 41,354 (35%) |
| ≥25 and <30 kg/m2 | 4228 (12%) | 10,705 (12%) | 14,453 (12%) |
| ≥30 and <35 kg/m2 | 660 (1.8%) | 938 (1.0%) | 1002 (0.9%) |
| ≥35 and <40 kg/m2 | 111 (0.3%) | 63 (<0.1%) | 58 (<0.1%) |
| Systolic blood pressure, mean (SD), mmHg | 113 (13) | 119 (12) | 122 (12) |
| Diastolic blood pressure, mean (SD), mmHg | 69 (9) | 72 (9) | 72 (9) |
| Smoking habit, n (%) | 4640 (13%) | 4827 (5.3%) | 3272 (2.8%) |
| Drinking habit, n (%) | 16,313 (45%) | 30,472 (34%) | 32,542 (28%) |
| Exercise habit, n (%) | 18,242 (51%) | 53,619 (59%) | 82,312 (70%) |
| Body weight change, mean (SD), kg | 0.00 (2.53) | −0.23 (2.16) | −0.32 (2.05) |
| Body weight change group, No. (%) | |||
| <−2.5 kg | 4741 (13%) | 10,737 (12%) | 13,558 (12%) |
| ≥−2.5 and <−1.5 kg | 3399 (9.4%) | 9894 (11%) | 13,554 (12%) |
| ≥−1.5 and <−0.5 kg | 5507 (15%) | 16,554 (18%) | 22,437 (19%) |
| ≥−0.5 and <0.5 kg | 7064 (20%) | 20,497 (23%) | 27,716 (24%) |
| ≥0.5 and <1.5 kg | 6204 (17%) | 16,283 (18%) | 20,834 (18%) |
| ≥1.5 and <2.5 kg | 4104 (11%) | 8956 (9.9%) | 10,911 (9.3%) |
| ≥2.5 kg | 5006 (14%) | 7742 (8.5%) | 8127 (6.9%) |
| Dyslipidemia, n (%) | 11,230 (31%) | 53,560 (59%) | 72,753 (62%) |
| Diabetes, n (%) | 533 (1.5%) | 3717 (4.1%) | 6331 (5.4%) |
Disclaimer/Publisher’s Note: The statements, opinions and data contained in all publications are solely those of the individual author(s) and contributor(s) and not of MDPI and/or the editor(s). MDPI and/or the editor(s) disclaim responsibility for any injury to people or property resulting from any ideas, methods, instructions or products referred to in the content. |
© 2024 by the authors. Licensee MDPI, Basel, Switzerland. This article is an open access article distributed under the terms and conditions of the Creative Commons Attribution (CC BY) license (https://creativecommons.org/licenses/by/4.0/).
Share and Cite
Kosami, K.; Kuwabara, M.; Okayama, A.; Ae, R. Body Mass Index and Weight Change as Predictors of Hypertension Development: A Sex-Specific Analysis. Nutrients 2025, 17, 119. https://doi.org/10.3390/nu17010119
Kosami K, Kuwabara M, Okayama A, Ae R. Body Mass Index and Weight Change as Predictors of Hypertension Development: A Sex-Specific Analysis. Nutrients. 2025; 17(1):119. https://doi.org/10.3390/nu17010119
Chicago/Turabian StyleKosami, Koki, Masanari Kuwabara, Akira Okayama, and Ryusuke Ae. 2025. "Body Mass Index and Weight Change as Predictors of Hypertension Development: A Sex-Specific Analysis" Nutrients 17, no. 1: 119. https://doi.org/10.3390/nu17010119
APA StyleKosami, K., Kuwabara, M., Okayama, A., & Ae, R. (2025). Body Mass Index and Weight Change as Predictors of Hypertension Development: A Sex-Specific Analysis. Nutrients, 17(1), 119. https://doi.org/10.3390/nu17010119

