Effects of Betaine and Polydextrose on Intestinal Microbiota and Liver Ergothioneine in a High-Fat Diet-Fed Mouse Model and a Human Colonic Simulation Model
Abstract
1. Introduction
2. Materials and Methods
2.1. Animals and Diets
2.2. In Vitro Fermentation
2.3. Microbiological Analysis of Mouse Digestive Tract
2.4. Microbial Analysis of Colon Simulator Samples
2.5. Nontargeted Metabolomic Profiling of Liver and Muscle Samples
2.6. Determination of EGT in Colon Simulator Samples by LCMS
2.7. Analysis of Short-Chain and Branched-Chain Fatty Acids
2.8. Statistical Analysis
3. Results
3.1. Metabolomic Analysis of Liver and Muscle Samples
3.2. Microbiological Analysis of Mouse Gastrointestinal Tract
3.3. Microbiological Analysis of In Vitro Colon Simulation Samples
3.3.1. α- and β-Diversity of Simulated Microbiota
3.3.2. Microbiota Composition of In Vitro Colon Simulation Samples
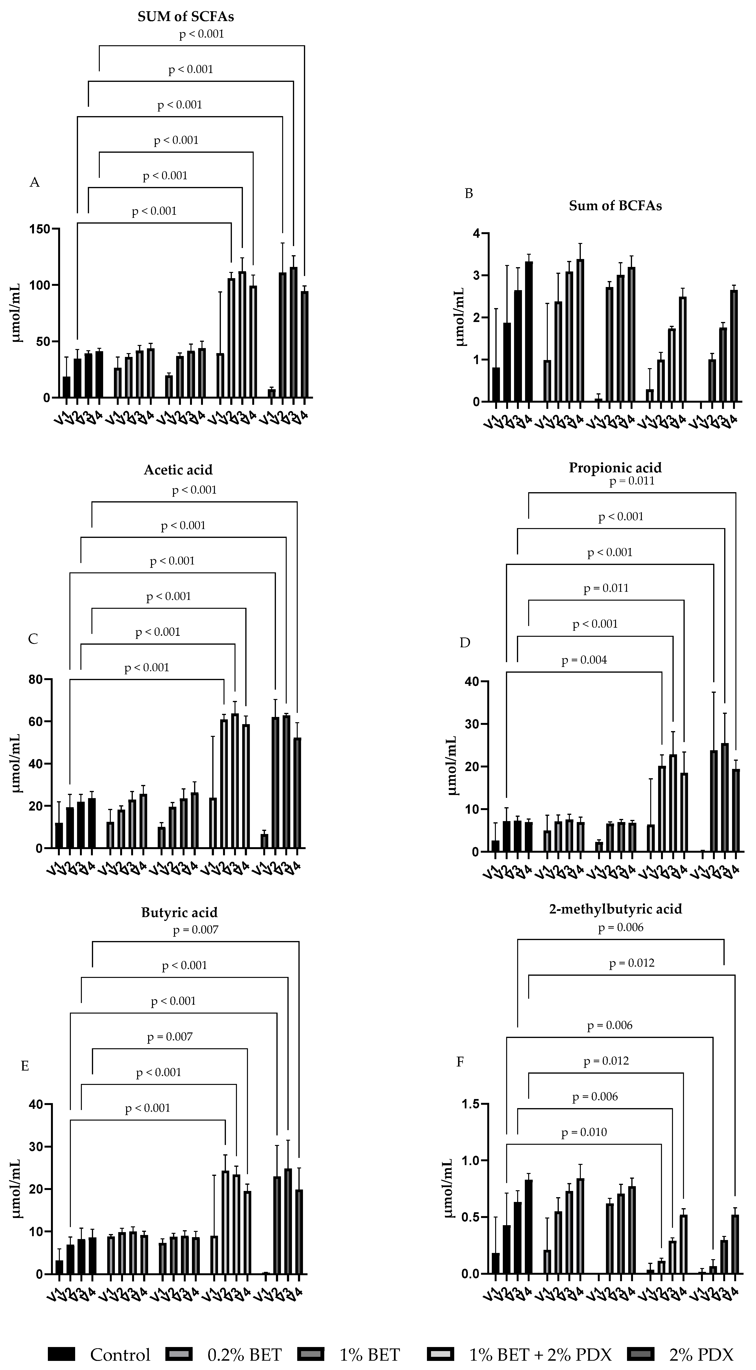
3.4. Microbial Metabolites in Colon Simulation Samples
3.5. Correlation Between Microbiota and Metabolites in the Colon Simulator Samples
3.6. EGT in Colon Simulation Samples
4. Discussion
5. Conclusions
Supplementary Materials
Author Contributions
Funding
Institutional Review Board Statement
Informed Consent Statement
Data Availability Statement
Acknowledgments
Conflicts of Interest
References
- Röytiö, H.; Ouwehand, A.C. The fermentation of polydextrose in the large intestine and its beneficial effects. Benef. Microbes 2014, 5, 305–313. [Google Scholar] [CrossRef] [PubMed]
- Lahtinen, S.J.; Knoblock, K.; Drakoularakou, A.; Jacob, M.; Stowell, J.; Gibson, G.R.; Ouwehand, A.C. Effect of molecule branching and glycosidic linkage on the degradation of polydextrose by gut microbiota. Biosci. Biotechnol. Biochem. 2010, 74, 2016–2021. [Google Scholar] [CrossRef] [PubMed]
- Lamichhane, S.; Yde, C.C.; Forssten, S.; Ouwehand, A.C.; Saarinen, M.; Jensen, H.M.; Gibson, G.R.; Rastall, R.; Fava, F.; Bertram, H.C. Impact of dietary polydextrose fiber on the human gut metabolome. J. Agric. Food Chem. 2014, 62, 9944–9951. [Google Scholar] [CrossRef] [PubMed]
- Saarinen, M.T.; Kärkkäinen, O.; Hanhineva, K.; Tiihonen, K.; Hibberd, A.; Mäkelä, K.A.; Raza, G.S.; Herzig, K.-H.; Anglenius, H. Metabolomics analysis of plasma and adipose tissue samples from mice orally administered with polydextrose and correlations with cecal microbiota. Sci. Rep. 2020, 10, 21577. [Google Scholar] [CrossRef]
- Ibarra, A.; Astbury, N.M.; Olli, K.; Alhoniemi, E.; Tiihonen, K. Effects of polydextrose on different levels of energy intake. A systematic review and meta-analysis. Appetite 2015, 87, 30–37. [Google Scholar] [CrossRef] [PubMed]
- Ibarra, A.; Olli, K.; Pasman, W.; Hendriks, H.; Alhoniemi, E.; Raza, G.S.; Herzig, K.H.; Tiihonen, K. Effects of polydextrose with breakfast or with a midmorning preload on food intake and other appetite-related parameters in healthy normal-weight and overweight females: An acute, randomized, double-blind, placebo-controlled, and crossover study. Appetite 2017, 110, 15–24. [Google Scholar] [CrossRef] [PubMed]
- Tiihonen, K.; Rautonen, N.; Alhoniemi, E.; Ahotupa, M.; Stowell, J.; Vasankari, T. Postprandial triglyceride response in normolipidemic, hyperlipidemic and obese subjects—The influence of polydextrose, a non-digestible carbohydrate. Nutr. J. 2015, 14, 23. [Google Scholar] [CrossRef]
- Stenman, L.K.; Lehtinen, M.J.; Meland, N.; Christensen, J.E.; Yeung, N.; Saarinen, M.T.; Courtney, M.; Burcelin, R.; Lähdeaho, M.L.; Linros, J.; et al. Probiotic With or Without Fiber Controls Body Fat Mass, Associated With Serum Zonulin, in Overweight and Obese Adults-Randomized Controlled Trial. EBioMedicine 2016, 13, 190–200. [Google Scholar] [CrossRef] [PubMed]
- Gao, X.; Wang, Y.; Randell, E.; Pedram, P.; Yi, Y.; Gulliver, W.; Sun, G. Higher Dietary Choline and Betaine Intakes Are Associated with Better Body Composition in the Adult Population of Newfoundland, Canada. PLoS ONE 2016, 11, e0155403. [Google Scholar] [CrossRef]
- Du, J.; Zhang, P.; Luo, J.; Shen, L.; Zhang, S.; Gu, H.; He, J.; Wang, L.; Zhao, X.; Gan, M.; et al. Dietary betaine prevents obesity through gut microbiota-drived microRNA-378a family. Gut Microbes 2021, 13, 1862612. [Google Scholar] [CrossRef]
- Paul, B.D. Ergothioneine: A Stress Vitamin with Antiaging, Vascular, and Neuroprotective Roles? Antioxid. Redox Signal. 2022, 36, 1306–1317. [Google Scholar] [CrossRef] [PubMed]
- Borodina, I.; Kenny, L.C.; McCarthy, C.M.; Paramasivan, K.; Pretorius, E.; Roberts, T.J.; van der Hoek, S.A.; Kell, D.B. The biology of ergothioneine, an antioxidant nutraceutical. Nutr. Res. Rev. 2020, 33, 190–217. [Google Scholar] [CrossRef] [PubMed]
- Halliwell, B.; Cheah, I.K.; Tang, R.M.Y. Ergothioneine—A diet-derived antioxidant with therapeutic potential. FEBS Lett. 2018, 592, 3357–3366. [Google Scholar] [CrossRef] [PubMed]
- Airaksinen, K.; Jokkala, J.; Ahonen, I.; Auriola, S.; Kolehmainen, M.; Hanhineva, K.; Tiihonen, K. High-Fat Diet, Betaine, and Polydextrose Induce Changes in Adipose Tissue Inflammation and Metabolism in C57BL/6J Mice. Mol. Nutr. Food Res. 2018, 62, e1800455. [Google Scholar] [CrossRef] [PubMed]
- Pekkinen, J.; Olli, K.; Huotari, A.; Tiihonen, K.; Keski-Rahkonen, P.; Lehtonen, M.; Auriola, S.; Kolehmainen, M.; Mykkänen, H.; Poutanen, K.; et al. Betaine supplementation causes increase in carnitine metabolites in the muscle and liver of mice fed a high-fat diet as studied by nontargeted LC-MS metabolomics approach. Mol. Nutr. Food Res. 2013, 57, 1959–1968. [Google Scholar] [CrossRef] [PubMed]
- Forssten, S.D.; Röytiö, H.; Hibberd, A.A.; Ouwehand, A.C. The effect of polydextrose and probiotic lactobacilli in a Clostridium difficile-infected human colonic model. Microb. Ecol. Health Dis. 2015, 26, 27988. [Google Scholar] [CrossRef] [PubMed]
- Rinne, M.M.; Gueimonde, M.; Kalliomäki, M.; Hoppu, U.; Salminen, S.J.; Isolauri, E. Similar bifidogenic effects of prebiotic-supplemented partially hydrolyzed infant formula and breastfeeding on infant gut microbiota. FEMS Immunol. Med. Microbiol. 2005, 43, 59–65. [Google Scholar] [CrossRef] [PubMed]
- Forssten, S.; Evans, M.; Wilson, D.; Ouwehand, A.C. Influence of a probiotic mixture on antibiotic induced microbiota disturbances. World J. Gastroenterol. 2014, 20, 11878–11885. [Google Scholar] [CrossRef]
- Rintala, H.; Nevalainen, A.; Rönkä, E.; Suutari, M. PCR primers targeting the 16S rRNA gene for the specific detection of streptomycetes. Mol. Cell. Probes 2001, 15, 337–347. [Google Scholar] [CrossRef] [PubMed]
- Mäkivuokko, H.; Nurmi, J.; Nurminen, P.; Stowell, J.; Rautonen, N. In vitro effects on polydextrose by colonic bacteria and caco-2 cell cyclooxygenase gene expression. Nutr. Cancer 2005, 52, 94–104. [Google Scholar] [CrossRef]
- Kaclíková, E.; Pangallo, D.; Oravcová, K.; Drahovská, H.; Kuchta, T. Quantification of Escherichia coli by kinetic 5′-nuclease polymerase chain reaction (real-time PCR) oriented to sfmD gene. Lett. Appl. Microbiol. 2005, 41, 132–135. [Google Scholar] [CrossRef] [PubMed]
- Pitt, J.; Bond, J.; Roper, J.; Tenning, P.; Mukherjea, R.; Evans, K.; Saarinen, M.T.; Anglenius, H.; Hirvonen, J.; Hasselwander, O.; et al. A 21-day safety evaluation of biotechnologically produced 3-fucosyllactose (3-FL) in neonatal farm piglets to support use in infant formulas. Food Chem. Toxicol. 2024, 187, 114592. [Google Scholar] [CrossRef]
- Sotgia, S.; Pisanu, E.; Pintus, G.; Erre, G.L.; Pinna, G.A.; Deiana, L.; Carru, C.; Zinellu, A. Plasma L-Ergothioneine Measurement by High-Performance Liquid Chromatography and Capillary Electrophoresis after a Pre-Column Derivatization with 5-Iodoacetamidofluorescein (5-IAF) and Fluorescence Detection. PLoS ONE 2013, 8, e70374. [Google Scholar] [CrossRef]
- Yue, Y.; Nielsen, D.S.G.; Forssten, S.D.; Knudsen, K.E.B.; Saarinen, M.T.; Ouwehand, A.C.; Purup, S. Effects of Colonic Fermentation Products of Polydextrose, Lactitol and Xylitol on Intestinal Barrier Repair In Vitro. Appl. Sci. 2021, 11, 4174. [Google Scholar] [CrossRef]
- Bakdash, J.Z.; Marusich, L.R. Repeated Measures Correlation. Front. Psychol. 2017, 8, 456. [Google Scholar] [CrossRef]
- Cheah, I.K.; Halliwell, B. Ergothioneine, recent developments. Redox Biol. 2021, 42, 101868. [Google Scholar] [CrossRef]
- Gründemann, D.; Hartmann, L.; Flögel, S. The ergothioneine transporter (ETT): Substrates and locations, an inventory. FEBS Lett. 2022, 596, 1252–1269. [Google Scholar] [CrossRef]
- Gamage, A.M.; Liao, C.; Cheah, I.K.; Chen, Y.; Lim, D.R.X.; Ku, J.W.K.; Chee, R.S.L.; Gengenbacher, M.; Seebeck, F.P.; Halliwell, B.; et al. The proteobacterial species Burkholderia pseudomallei produces ergothioneine, which enhances virulence in mammalian infection. FASEB J. 2018, 32, 6395–6409. [Google Scholar] [CrossRef] [PubMed]
- Genghof, D.S. Biosynthesis of ergothioneine and hercynine by fungi and Actinomycetales. J. Bacteriol. 1970, 103, 475–478. [Google Scholar] [CrossRef]
- Sao Emani, C.; Williams, M.J.; Wiid, I.J.; Hiten, N.F.; Viljoen, A.J.; Pietersen, R.D.; van Helden, P.D.; Baker, B. Ergothioneine is a secreted antioxidant in Mycobacterium smegmatis. Antimicrob. Agents Chemother. 2013, 57, 3202–3207. [Google Scholar] [CrossRef]
- Wolff, J.B. Ergothionase from Escherichia coli. J. Biol. Chem. 1962, 237, 874–881. [Google Scholar] [CrossRef]
- Dumitrescu, D.G.; Gordon, E.M.; Kovalyova, Y.; Seminara, A.B.; Duncan-Lowey, B.; Forster, E.R.; Zhou, W.; Booth, C.J.; Shen, A.; Kranzusch, P.J.; et al. A microbial transporter of the dietary antioxidant ergothioneine. Cell 2022, 185, 4526–4540.e4518. [Google Scholar] [CrossRef]
- Matsuda, Y.; Ozawa, N.; Shinozaki, T.; Wakabayashi, K.-I.; Suzuki, K.; Kawano, Y.; Ohtsu, I.; Tatebayashi, Y. Ergothioneine, a metabolite of the gut bacterium Lactobacillus reuteri, protects against stress-induced sleep disturbances. Transl. Psychiatry 2020, 10, 170. [Google Scholar] [CrossRef]
- Cheah, I.K.; Lee, J.Z.; Tang, R.M.Y.; Koh, P.W.; Halliwell, B. Does Lactobacillus reuteri influence ergothioneine levels in the human body? FEBS Lett. 2022, 596, 1241–1251. [Google Scholar] [CrossRef] [PubMed]
- Seebeck, F.P. In Vitro Reconstitution of Mycobacterial Ergothioneine Biosynthesis. J. Am. Chem. Soc. 2010, 132, 6632–6633. [Google Scholar] [CrossRef]
- Anderson, M.J. A new method for non-parametric multivariate analysis of variance. Austral Ecol. 2001, 26, 32–46. [Google Scholar] [CrossRef]
- Ley, R.E.; Turnbaugh, P.J.; Klein, S.; Gordon, J.I. Microbial ecology: Human gut microbes associated with obesity. Nature 2006, 444, 1022–1023. [Google Scholar] [CrossRef] [PubMed]
- Raza, G.S.; Putaala, H.; Hibberd, A.A.; Alhoniemi, E.; Tiihonen, K.; Mäkelä, K.A.; Herzig, K.H. Polydextrose changes the gut microbiome and attenuates fasting triglyceride and cholesterol levels in Western diet fed mice. Sci. Rep. 2017, 7, 5294. [Google Scholar] [CrossRef] [PubMed]
- Hu, Q.; Niu, Y.; Yang, Y.; Mao, Q.; Lu, Y.; Ran, H.; Zhang, H.; Li, X.; Gu, H.; Su, Q. Polydextrose Alleviates Adipose Tissue Inflammation and Modulates the Gut Microbiota in High-Fat Diet-Fed Mice. Front. Pharmacol. 2022, 12, 795483. [Google Scholar] [CrossRef]
- Singh, R.P.; Halaka, D.A.; Hayouka, Z.; Tirosh, O. High-Fat Diet Induced Alteration of Mice Microbiota and the Functional Ability to Utilize Fructooligosaccharide for Ethanol Production. Front. Cell. Infect. Microbiol. 2020, 10, 376. [Google Scholar] [CrossRef]
- Wu, F.; Guo, X.; Zhang, J.; Zhang, M.; Ou, Z.; Peng, Y. Phascolarctobacterium faecium abundant colonization in human gastrointestinal tract. Exp. Ther. Med. 2017, 14, 3122–3126. [Google Scholar] [CrossRef] [PubMed]
- Yeoh, Y.K.; Sun, Y.; Ip, L.Y.T.; Wang, L.; Chan, F.K.L.; Miao, Y.; Ng, S.C. Prevotella species in the human gut is primarily comprised of Prevotella copri, Prevotella stercorea and related lineages. Sci. Rep. 2022, 12, 9055. [Google Scholar] [CrossRef]
- Kwon, J.; Bae, M.; Szamosvári, D.; Cassilly, C.D.; Bolze, A.S.; Jackson, D.R.; Xavier, R.J.; Clardy, J. Collinsella aerofaciens Produces a pH-Responsive Lipid Immunogen. J. Am. Chem. Soc. 2023, 145, 7071–7074. [Google Scholar] [CrossRef]
- Liu, X.; Mao, B.; Gu, J.; Wu, J.; Cui, S.; Wang, G.; Zhao, J.; Zhang, H.; Chen, W. Blautia—A new functional genus with potential probiotic properties? Gut Microbes 2021, 13, 1875796. [Google Scholar] [CrossRef] [PubMed]
- Ozato, N.; Saito, S.; Yamaguchi, T.; Katashima, M.; Tokuda, I.; Sawada, K.; Katsuragi, Y.; Kakuta, M.; Imoto, S.; Ihara, K.; et al. Blautia genus associated with visceral fat accumulation in adults 20–76 years of age. NPJ Biofilms Microbiomes 2019, 5, 28. [Google Scholar] [CrossRef]
- Vinelli, V.; Biscotti, P.; Martini, D.; Del Bo, C.; Marino, M.; Meroño, T.; Nikoloudaki, O.; Calabrese, F.M.; Turroni, S.; Taverniti, V.; et al. Effects of Dietary Fibers on Short-Chain Fatty Acids and Gut Microbiota Composition in Healthy Adults: A Systematic Review. Nutrients 2022, 14, 2559. [Google Scholar] [CrossRef]
- Tiamani, K.; Luo, S.; Schulz, S.; Xue, J.; Costa, R.; Khan Mirzaei, M.; Deng, L. The role of virome in the gastrointestinal tract and beyond. FEMS Microbiol. Rev. 2022, 46, fuac027. [Google Scholar] [CrossRef] [PubMed]
- Fen, Z.; Dominik, A.; Ji Youn, Y.; Tao, Z. The gut mycobiome in health, disease, and clinical applications in association with the gut bacterial microbiome assembly. Lancet Microbe 2022, 3, e969–e983. [Google Scholar] [CrossRef]
- Mims, T.S.; Abdallah, Q.A.; Stewart, J.D.; Watts, S.P.; White, C.T.; Rousselle, T.V.; Gosain, A.; Bajwa, A.; Han, J.C.; Willis, K.A.; et al. The gut mycobiome of healthy mice is shaped by the environment and correlates with metabolic outcomes in response to diet. Commun. Biol. 2021, 4, 281. [Google Scholar] [CrossRef] [PubMed]





| LFD | HFD | |
|---|---|---|
| Protein | 20 | 20 |
| Carbohydrate | 70 | 35 |
| Fat | 10 | 45 |
| Fiber % (w/w) | 0.5 | 0.6 |
| Total | 100 | 100 |
| kcal/g | 4.02 | 4.99 |
| Neglecta timonensis | Blautia faecis | Faecali-bacillus | Stenotrophomo-nas maltophilia | Akkermansia muciniphila | ||
|---|---|---|---|---|---|---|
| Acetic acid | p-value | <0.001 | <0.001 | <0.001 | <0.001 | 0.03 |
| R-value | 0.75 | 0.59 | 0.82 | −0.73 | 0.32 | |
| Propionic acid | p-value | <0.001 | <0.001 | <0.001 | <0.001 | 0.1 |
| R-value | 0.66 | 0.68 | 0.8 | −0.74 | 0.24 | |
| Butyric acid | p-value | <0.001 | <0.001 | <0.001 | <0.001 | 0.17 |
| R-value | 0.68 | 0.63 | 0.82 | −0.7 | 0.2 | |
| Valeric acid | p-value | 0.015 | 0.88 | 0.75 | <0.001 | 0.002 |
| R-value | 0.37 | 0.02 | 0.05 | −0.49 | 0.47 | |
| Isobutyric acid | p-value | 0.006 | 0.62 | 0.54 | <0.001 | <0.001 |
| R-value | 0.42 | −0.08 | 0.1 | −0.58 | 0.66 | |
| Isovaleric acid | p-value | 0.015 | 0.85 | 0.34 | <0.001 | <0.001 |
| R-value | 0.37 | −0.03 | 0.14 | −0.60 | 0.64 | |
| 2-methyl-butyric acid | p-value | 0.055 | 0.97 | 0.58 | <0.001 | <0.001 |
| R-value | 0.3 | −0.007 | 0.09 | −0.54 | 0.64 |
Disclaimer/Publisher’s Note: The statements, opinions and data contained in all publications are solely those of the individual author(s) and contributor(s) and not of MDPI and/or the editor(s). MDPI and/or the editor(s) disclaim responsibility for any injury to people or property resulting from any ideas, methods, instructions or products referred to in the content. |
© 2024 by the authors. Licensee MDPI, Basel, Switzerland. This article is an open access article distributed under the terms and conditions of the Creative Commons Attribution (CC BY) license (https://creativecommons.org/licenses/by/4.0/).
Share and Cite
Saarinen, M.T.; Forssten, S.D.; Evans, K.; Airaksinen, K.; Telving, R.; Hornshøj, B.H.; Jensen, H.M.; Jokkala, J.; Hanhineva, K.; Tiihonen, K. Effects of Betaine and Polydextrose on Intestinal Microbiota and Liver Ergothioneine in a High-Fat Diet-Fed Mouse Model and a Human Colonic Simulation Model. Nutrients 2025, 17, 109. https://doi.org/10.3390/nu17010109
Saarinen MT, Forssten SD, Evans K, Airaksinen K, Telving R, Hornshøj BH, Jensen HM, Jokkala J, Hanhineva K, Tiihonen K. Effects of Betaine and Polydextrose on Intestinal Microbiota and Liver Ergothioneine in a High-Fat Diet-Fed Mouse Model and a Human Colonic Simulation Model. Nutrients. 2025; 17(1):109. https://doi.org/10.3390/nu17010109
Chicago/Turabian StyleSaarinen, Markku T., Sofia D. Forssten, Kara Evans, Kaisa Airaksinen, Rasmus Telving, Bettina Høj Hornshøj, Henrik Max Jensen, Jenna Jokkala, Kati Hanhineva, and Kirsti Tiihonen. 2025. "Effects of Betaine and Polydextrose on Intestinal Microbiota and Liver Ergothioneine in a High-Fat Diet-Fed Mouse Model and a Human Colonic Simulation Model" Nutrients 17, no. 1: 109. https://doi.org/10.3390/nu17010109
APA StyleSaarinen, M. T., Forssten, S. D., Evans, K., Airaksinen, K., Telving, R., Hornshøj, B. H., Jensen, H. M., Jokkala, J., Hanhineva, K., & Tiihonen, K. (2025). Effects of Betaine and Polydextrose on Intestinal Microbiota and Liver Ergothioneine in a High-Fat Diet-Fed Mouse Model and a Human Colonic Simulation Model. Nutrients, 17(1), 109. https://doi.org/10.3390/nu17010109

