Evaluation of the Nutritional Impact of Baobab Leaves (Adansonia digitata L.) as a Dietary Intervention to Combat Nutrient Deficiencies and Poverty-Related Health Problems
Abstract
1. Introduction
2. Materials and Methods
2.1. Plant Materials
2.2. Mineral Analysis
2.3. Proximate Compositions Have Been Determined as Follows
2.3.1. Dry Matter Determination (ISO 6496:2001)
2.3.2. Nitrogen and Crude Protein Content (ISO 5983-2:2005)
2.3.3. Crude Fat Content (ISO 11085:2015)
2.3.4. Crude Ash Content (ISO 5984:2002)
2.3.5. pH Value Determination (Hungarian Standard MSZ-08-0206-2:1978)
2.4. Determination of Antioxidant Content
2.5. Estimation of Baobab Leaf Intake (BLI)
2.6. Statistical Analysis
3. Results
3.1. Health Condition and Poverty
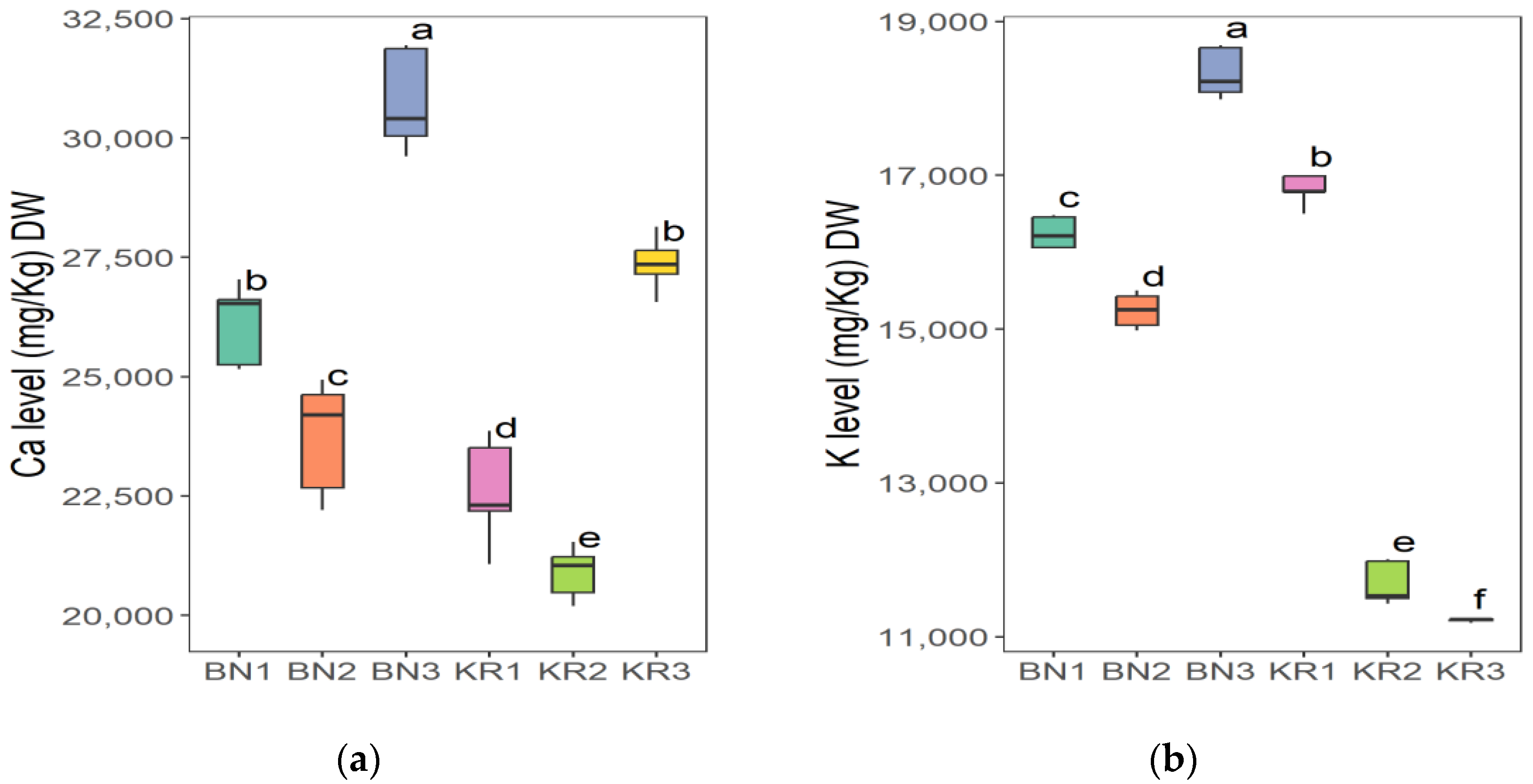
3.2. The Nutritional Levels of Baobab Leaves
3.3. The Estimated Amount of Baobab Leaves (BLI) as a Food Supplement
4. Discussion
4.1. Current Health Situation
4.2. Nutritional Composition of Baobab Leaves
4.3. Key Implications of the Research
5. Strengths and Limitations
6. Recommendation
7. Conclusions
Author Contributions
Funding
Institutional Review Board Statement
Informed Consent Statement
Data Availability Statement
Acknowledgments
Conflicts of Interest
References
- World Health Organization. The State of Food Security and Nutrition in the World 2023: Urbanization, Agrifood Systems Transformation and Healthy Diets Across the Rural–Urban Continuum; Food and Agriculture Organization: Rome, Italy, 2023. [CrossRef]
- Lopes, S.O.; Abrantes, L.C.S.; Azevedo, F.M.; Morais, N.D.S.D.; Morais, D.D.C.; Gonçalves, V.S.S.; Priore, S.E. Food insecurity and micronutrient deficiency in adults: A systematic review and meta-analysis. Nutrients 2023, 15, 1074. [Google Scholar] [CrossRef]
- Xie, H.; Wen, Y.; Choi, Y.; Zhang, X. Global trends on food security research: A bibliometric analysis. Land 2021, 10, 119. [Google Scholar] [CrossRef]
- Al Sharjabi, S.J.; Al Jawaldeh, A.; El Hajj Hassan, O.; Dureab, F. Understanding the Food and Nutrition Insecurity Drivers in Some Emergency-Affected Countries in the Eastern Mediterranean Region from 2020 to 2024. Nutrients 2024, 16, 3853. [Google Scholar] [CrossRef]
- Anwar, A.; Hyder, S.; Mohamed Nor, N.; Younis, M. Government health expenditures and health outcome nexus: A study on OECD countries. Front. Public Health 2023, 11, 1123759. [Google Scholar] [CrossRef] [PubMed]
- Woodhill, J.; Kishore, A.; Njuki, J.; Jones, K.; Hasnain, S. Food systems and rural wellbeing: Challenges and opportunities. Food Secur. 2022, 14, 1099–1121. [Google Scholar] [CrossRef]
- Jha, R.; Zhang, K.; He, Y.; Mendler-Drienyovszki, N.; Magyar-Tábori, K.; Quinet, M.; Zhou, M. Global nutritional challenges and opportunities: Buckwheat, a potential bridge between nutrient deficiency and food security. Trends Food Sci. Technol. 2024, 145, 104365. [Google Scholar] [CrossRef]
- Bushra, M.; Elhassan, E.M.; Ali, N.I.; Osman, E.; Bakheit, K.H.; Adam, I.I. Anaemia, zinc and copper deficiencies among pregnant women in central Sudan. Biol. Trace Elem. Res. 2010, 137, 255–261. [Google Scholar] [CrossRef] [PubMed]
- Homeida, A. The complexities of conflict-induced severe malnutrition in Sudan. BMJ Glob. Health 2023, 8, e014152. [Google Scholar] [CrossRef] [PubMed]
- Noorallah, T.; Elgadi, A.; Altayeb, F. Child malnutrition is a devastating consequence of the conflict in Sudan. BMJ 2024, 384, q296. [Google Scholar] [CrossRef] [PubMed]
- Abbas, W.; Elmugabil, A.; Hamdan, H.Z.; Rayis, D.A.; Adam, I. Iron deficiency and thyroid dysfunction among Sudanese women in first trimester of pregnancy: A cross-sectional study. BMC Endocr. Disord. 2023, 23, 223. [Google Scholar] [CrossRef] [PubMed]
- Singh, C.; Arti; Yadav, N.; Rao, K.; Bharti; Bansal, N.; Archna, K.M. Nutrition Role in Maintaining Health and Preventing Disease. Curr. Nutr. Food Sci. 2024, 20, 966–972. [Google Scholar] [CrossRef]
- Rocha, I. The influence of calcium and phosphorus on immune cell activity. Int. J. Immunol. Res. 2024, 6, 31–34. [Google Scholar] [CrossRef]
- Qu, X.Q.; Mu, L.Y.; Liang, X.Y.; Jiang, Z.Y.; Feng, J.H.; She, R.L.; Ma, C.Y.; Song, J.Y.; Li, Z.X.; Peng, B.Q.; et al. Partial primary osteoporosis maybe due to parathyroid hyperfunction caused by calcium intake insufficiency and/or vitamin D insufficiency/deficiency. Med. Hypotheses 2024, 182, 111236. [Google Scholar] [CrossRef]
- Makatsariya, A.D.; Bitsadze, V.O.; Solopova, A.G.; Gromova, O.A.; Korabelnikov, D.I.; Blinov, D.V.; Ampilogova, D.M. Female magnesium deficiency and its management: Review of current knowledge. Obstet. Gynecol. Reprod. 2024, 18, 218–230. [Google Scholar] [CrossRef]
- Luo, X.; Tang, M.; Wei, X.; Peng, Y. Association between magnesium deficiency score and sleep quality in adults: A population-based cross-sectional study. J. Affect Disord. 2024, 358, 105–112. [Google Scholar] [CrossRef] [PubMed]
- Sankova, M.V.; Nikolenko, V.N.; Oganesyan, M.V.; Sankov, S.V.; Sinelnikov, M.Y.; Suslov, A.V.; Zharikov, Y.O. Magnesium deficiency and its interaction with the musculoskeletal system, exercise, and connective tissue: An evidence synthesis. Sport Sci. Health 2024, 20, 715–726. [Google Scholar] [CrossRef]
- Goncharova, N.A.; Merzlyakova, N.V. Food shortages and hunger as a global problem. Food Sci. Technol. 2022, 42, e70621. [Google Scholar] [CrossRef]
- Hashash, J.G.; Elkins, J.; Lewis, J.D.; Binion, D.G. AGA Clinical Practice Update on Diet and Nutritional Therapies in Patients With Inflammatory Bowel Disease: Expert Review. Gastroenterology 2024, 166, 521–532. [Google Scholar] [CrossRef]
- Bankole, B.M.; Bodjrenou, S.; Bodecker, J.; Noukpoakou, E.; Chadare, F.J.; Termote, C.; Hounkpatin, W.A. Formulation of children’s nutrient-dense recipes from Adansonia digitata pulp and Ocimum gratissimum leaves in North Benin. NFS J. 2024, 35, 2352–3646. [Google Scholar] [CrossRef]
- Gebauer, J.; El-Siddig, K.; Ebert, G. Baobab (Adansonia digitata L.): A Review on a multipurpose tree with promising future in the Sudan. Gartenbauwiss 2002, 67, 155–160. [Google Scholar]
- Zahra’u, B.; Mohammed, A.S.; Ghazali, H.M.; Karim, R. Baobab tree (Adansonia digitata L.) parts: Nutrition, applications in food and uses in ethno-medicine—A review. Ann. Nutr. Disord. Ther. 2014, 1, 1011. [Google Scholar]
- Sanchez, A.C.; Osborne, P.E.; Haq, N. Identifying the global potential for baobab tree cultivation using ecological niche modeling. Agrofor. Syst. 2010, 80, 191–201. [Google Scholar] [CrossRef]
- Yazzie, D.; VanderJagt, D.J.; Pastuszyn, A.; Okolo, A.; Glew, R.H. The amino acid and mineral content of baobab (Adansonia digitata L.) leaves. J. Food Compos. Anal. 1994, 7, 189–193. [Google Scholar] [CrossRef]
- Williamson, J. Useful Plants of Malawi; University of Malawi: Zomba, Malawi, 1975; p. 336, ASIN: B0006CSWJI. [Google Scholar]
- Dovie, B.D.; Shackleton, C.M.; Witkowski, E.T.F. Involving local people: Reviewing participatory approaches for inventorying the resource base, harvesting, and utilization of non-wood forest products. In Proceedings of the Joint FAO/ECE/ILO Committee on Forest Technology, Management and Training, Seminar on Harvesting of Non-Wood Forest Products, Izmir, Turkey, 2–8 October 2000; pp. 2–8. [Google Scholar]
- Nordeide, M.B.; Hatløy, A.; Følling, M.; Lied, E.; Oshaug, A. Nutrient composition and nutritional importance of green leaves and wild food resources in an agricultural district, Koutiala, in southern Mali. Int. J. Food Sci. Nutr. 1996, 47, 455–468. [Google Scholar] [CrossRef] [PubMed]
- Babiker, M.; El-Hddad, S.; Eltawaty, S.; Jaqdoul, A. HPLC-PDA-MS Identification of Phenolic Profile and In Vitro Antioxidant Activity of Adansonia digitata L. Leaves from Sudan. Mor. J. Chem. 2024, 12, 221–232. [Google Scholar] [CrossRef]
- European Parliament and of the Council. Authorising the placing on the market of baobab dried fruit pulp as a novel food ingredient under regulation (EC) No 258/97 of the European parliament and of the council (Notified under document number C(2008) 3046). In Official Journal of the European Union; European Union: Brussels, Belgium, 2008; Available online: https://eur-lex.europa.eu/legal-content/EN/TXT/PDF/?uri=CELEX:32008D0575 (accessed on 27 March 2024).
- El Amin, H.M. Trees and Shrubs of the Sudan. Extracted from Trees and Shrubs of the Sudan. Ph.D. Thesis, University of Khartoum-Sudan, Khartoum, Sudan, 1990; p. 163. [Google Scholar]
- Wiehle, M.; Prinz, K.; Kehlenbeck, K.; Goenster, S.; Mohamed, S.A.; Finkeldey, R.; Gebauer, J. The African baobab (Adansonia digitata, Malvaceae): Genetic resources in neglected populations of the Nuba Mountains. Sudan. Am. J. Bot. 2014, 101, 1498–1507. [Google Scholar] [CrossRef]
- Kovács, B.; Gyori, Z.; Prokisch, J.; Loch, J.; Daniel, P. A study of plant sample preparation and inductively coupled plasma emission spectrometry parameters. Commun. Soil Sci. Plant Anal. 1996, 27, 1177–1198. [Google Scholar] [CrossRef]
- ISO 6496:2001; Animal Feeding Stuffs—Determination of Moisture and Other Volatile Matter Content. International Organization for Standardization: Geneva, Switzerland, 1999.
- ISO 5983-2:2005; Animal Feeding Stuffs—Determination of Nitrogen Content and Calculation of Crude Protein Content—Part 2: Block Digestion/Steam Distillation Method. International Organization for Standardization: Geneva, Switzerland, 2005.
- ISO 11085:2015; Cereals, Cereals-Based Products and Animal Feeding Stuffs—Determination of Crude Fat and Total Fat Content by the Randall Extraction Method. International Organization for Standardization: Geneva, Switzerland, 2015.
- ISO 5984:2002; Animal Feeding Stuffs—Determination of Crude Ash. International Organization for Standardization: Geneva, Switzerland, 2002.
- MSZ-08-0206-2:1978; Evaluation of Some Chemical Properties of the Soil. Laboratory Tests (pH Value, Phenolphtalein Alkalinity Expressed in Soda, Total Water Soluble Salt Content, Hydrolytic (y1 Value) and Exchangeable Acidity (y2 Value). Hungarian Standard Association: Budapest, Hungary, 1978.
- Singleton, V.L.; Orthofer, R.; Lamuela-Raventós, R.M. Analysis of total phenols and other oxidation substrates and antioxidants by means of folin-ciocalteu reagent. In Methods in Enzymology; Academic Press: Cambridge, MA, USA, 1999; Volume 299, pp. 152–178. [Google Scholar] [CrossRef]
- Jiménez, F.G.; Beltrán-Orozco, M.C.; Martínez, M.V. The antioxidant capacity and phenolic content of chía’s (Salvia hispánica L.). Integral seed and oil. J. Biotechnol. 2010, 150, 315. [Google Scholar] [CrossRef]
- Orsolya, V. International of the Use of Glycerol Supplementation in the Nutrition of Lactating Sows. Ph.D. Thesis, Szechenyi Istvan University, Budapest, Hungary, 2021. [Google Scholar]
- Kim, D.O.; Jeong, S.W.; Lee, C.Y. Antioxidant capacity of phenolic phytochemicals from various cultivars of plums. Food Chem. 2003, 81, 321–326. [Google Scholar] [CrossRef]
- Hong, E.; Kim, G.H. Comparison of extraction conditions for phenolic, flavonoid content and determination of rosmarinic acid from Perilla frutescens var. acuta. Int. J. Food Sci. Technol. 2010, 45, 1353–1359. [Google Scholar] [CrossRef]
- EFSA (European Food Safety Authority). Dietary Reference Values for Nutrients: Summary Report; EFSA Supporting Publication: Parma, Italy, 2017; p. e15121. [CrossRef]
- Agostoni, C.; Berni Canani, R.; Fairweather Tait, S.; Heinonen, M.; Korhonen, H.; La Vieille, S.; Turck, D. Scientific Opinion on Dietary Reference Values for manganese. EFSA J. 2013, 11, 3419. [Google Scholar] [CrossRef]
- Bresson, J.L.; Burlingame, B.; Dean, T.; Fairweather-Tait, S.; Heinonen, M.; Hirsch-Ernst, K.I.; Willatts, P. Scientific opinion on dietary reference values for iron. EFSA J. 2015, 13, 4254. [Google Scholar] [CrossRef]
- Agostoni, C.; Bresson, J.L.; Fairweather Tait, S.; Flynn, A.; Golly, I.; Korhonen, H.; Verhagen, H. Scientific opinion on dietary reference values for protein: EFSA panel on dietetic products, nutrition and allergies (NDA). EFSA J. 2012, 10, 2557. [Google Scholar] [CrossRef]
- Turck, D.; Castenmiller, J.; de Henauw, S.; Naska, A. Dietary reference values for sodium. EFSA J. 2019, 17, 9. [Google Scholar] [CrossRef]
- EFSA Panel on Dietetic Products. Nutrition and Allergies (NDA). Scientific opinion on dietary reference values for calcium. EFSA J. 2015, 13, 4101. [Google Scholar] [CrossRef]
- Turck, D.; Castenmiller, J.; de Henauw, S.; Naska, A. Dietary reference values for potassium. EFSA J. 2016, 14, e04592. [Google Scholar] [CrossRef]
- Habte, T.Y.; Suleiman, I.; Ahmed, A.I.; Latif, S.; Krawinkel, M.B. Nutritional Value of Baobab Leaves (Adansonia digitata L.) from North-and West-Kordofan in Sudan: In-Vitro Minerals Bioavailability and Protein Quality. Int. J. Food Sci. Agric. 2021, 5, 482–491. [Google Scholar] [CrossRef]
- Balla, S.A.; Abdalla, A.A.; Elmukashfi, T.A.; Ahmed, H.A. Hypertension among rural population in four states: Sudan. Glob. J. Health Sci. 2014, 6, 206. [Google Scholar] [CrossRef]
- Ebaidalla, E.M.; Ali, M.E.M. Determinants and impact of household’s out-of-pocket healthcare expenditure in Sudan: Evidence from urban and rural population. Middle East Dev. J. 2019, 11, 181–198. [Google Scholar] [CrossRef]
- Bilal, J.A.; Rayis, D.A.; AlEed, A.; Al-Nafeesah, A.; Adam, I. Maternal undernutrition and low birth weight in a tertiary hospital in Sudan: A cross-sectional study. Front. Pediatr. 2022, 10, 927518. [Google Scholar] [CrossRef]
- Swareldhab, E.S.E.; Al-Jawaldeh, A.; Qureshi, A.B.; Ali, A.M.E.; Abu-Manga, M.; Al-Areeqi, M.; Dureab, F. Assessment of Micronutrient Situation among Reproductive-Age Women (15–49) and under-five children in Sudan. Nutrients 2021, 13, 2784. [Google Scholar] [CrossRef] [PubMed]
- Asogwa, I.S.; Ibrahim, A.N.; Agbaka, J.I. African baobab: Its role in enhancing nutrition, health, and the environment. Trees People 2021, 3, 100043. [Google Scholar] [CrossRef]
- Assogbadjo, A.E.; Chadare, F.J.; Manda, L.; Sinsin, B. A 20-year journey through an orphan African Baobab (Adansonia digitata L.) towards improved food and nutrition security in Africa. Front. Sustain. Food Syst. 2021, 5, 675382. [Google Scholar] [CrossRef]
- Alba, K.; Offiah, V.; Laws, A.P.; Falade, K.O.; Kontogiorgos, V. Baobab polysaccharides from fruits and leaves. Food Hydrocoll. 2020, 106, 105874. [Google Scholar] [CrossRef]
- Dimopoulou, M.; Alba, K.; Sims, I.M.; Kontogiorgos, V. Structure and rheology of pectic polysaccharides from baobab fruit and leaves. Carbohydr. Polym. 2021, 273, 118540. [Google Scholar] [CrossRef] [PubMed]
- Capra, M.E.; Stanyevic, B.; Giudice, A.; Monopoli, D.; Decarolis, N.M.; Esposito, S.; Biasucci, G. Nutrition for Children and Adolescents Who Practice Sport: A Narrative Review. Nutrients 2024, 16, 2803. [Google Scholar] [CrossRef] [PubMed]
- Carbone, J.W.; Pasiakos, S.M. Dietary protein and muscle mass: Translating science to application and health benefit. Nutrients 2019, 11, 1136. [Google Scholar] [CrossRef] [PubMed]
- Hirahatake, K.M.; Astrup, A.; Hill, J.O.; Slavin, J.L.; Allison, D.B.; Maki, K.C. Potential Cardiometabolic Health Benefits of Full-Fat Dairy: The Evidence Base. Adv. Nutr. 2020, 11, 533–547. [Google Scholar] [CrossRef]
- Klempel, M.C.; Kroeger, C.M.; Norkeviciute, E.; Goslawski, M.; Phillips, S.A.; Varady, K.A. Benefit of a low-fat over high-fat diet on vascular health during alternate day fasting. Nutr. Diabetes 2013, 3, e71. [Google Scholar] [CrossRef]
- Gbaguidi, A.M.; Chadare, F.J.; Salako, V.K.; Idohou, Y.O.V.; Assogbadjo, A.E. Optimisation of oven-drying of baobab leaves using a central composite design. Afr. Crop Sci. J. 2020, 28 (Suppl. S1), 15–26. [Google Scholar] [CrossRef]
- Abioye, V.F.; Adejuyitan, J.A.; Idowu, C.F. Effects of different drying methods on the nutritional and quality attributes of baobab leaves (Adansonia digitata). Agric. Biol. J. N. Am. 2014, 5, 104–108. [Google Scholar]
- Chadare, F.J.; Linnemann, A.R.; Hounhouigan, J.D.; Nout, M.J.R.; Van Boekel, M.A.J.S. Baobab Food Products: A Review on their Composition and Nutritional Value. Crit. Rev. Food Sci. Nutr. 2008, 49, 254–274. [Google Scholar] [CrossRef]
- Ogbaga, C.C.; Nuruddeen, F.A.; Alonge, O.O.; Nwagbara, O.F. Phytochemical, elemental and proximate analyses of stored, sun-dried and shade-dried baobab (Adansonia digitata) leaves. In Proceedings of the 2017 13th International Conference on Electronics, Computer and Computation (ICECCO), Abuja, Nigeria, 28–29 November 2017; pp. 1–5. [Google Scholar] [CrossRef]
- Arowora, K.A.; Yakubu, O.E.; Shaibu, C.; Iornenge, T.J.; Ugwuoke, K.C. Chemical Composition of Baobab Leaves and Fractionation of its Ethanolic Extract Using Column Chromatography Running title: Baobab Leaves Composition and Ethanolic Extract Fractionation Using Chromatography. Int. J. Sci. Res. 2019, 8, 812–821. [Google Scholar]
- Dobrowolska-Iwanek, J.; Zagrodzki, P.; Galanty, A.; Fołta, M.; Kryczyk-Kozioł, J.; Szlósarczyk, M.; Paśko, P. Determination of Essential Minerals and Trace Elements in Edible Sprouts from Different Botanical Families—Application of Chemometric Analysis. Foods 2022, 11, 371. [Google Scholar] [CrossRef]
- Quintaes, K.D.; Diez-Garcia, R.W. The importance of minerals in the human diet. In Handbook of Mineral Elements in Food; John Wiley & Sons, Ltd.: Hoboken, NJ, USA, 2015; pp. 1–21. [Google Scholar] [CrossRef]
- Assogbadjo, A.E.; Chadare, F.J.; Kakaï, R.G.; Fandohan, B.; Baidu-Forson, J.J. Variation in biochemical composition of baobab (Adansonia digitata) pulp, leaves and seeds in relation to soil types and tree provenances. Agric. Ecosyst. Environ. 2012, 157, 94–99. [Google Scholar] [CrossRef]
- Fimbres-Acedo, Y.E.; Traversari, S.; Cacini, S.; Costamagna, G.; Ginepro, M.; Massa, D. Testing the Effect of High pH and Low Nutrient Concentration on Four Leafy Vegetables in Hydroponics. Agronomy 2023, 13, 41. [Google Scholar] [CrossRef]
- Parcheta, M.; Świsłocka, R.; Orzechowska, S.; Akimowicz, M.; Choińska, R.; Lewandowski, W. Recent developments in effective antioxidants: The structure and antioxidant properties. Materials 2021, 14, 1984. [Google Scholar] [CrossRef] [PubMed]
- Rudrapal, M.; Khairnar, S.J.; Khan, J.; Dukhyil, A.B.; Ansari, M.A.; Alomary, M.N.; Devi, R. Dietary Polyphenols and Their Role in Oxidative Stress-Induced Human Diseases: Insights Into Protective Effects, Antioxidant Potentials and Mechanism(s) of Action. Front. Pharmacol. 2022, 13, 806470. [Google Scholar] [CrossRef]
- Mutha, R.E.; Tatiya, A.U.; Surana, S.J. Flavonoids as natural phenolic compounds and their role in therapeutics: An overview. Future J. Pharm. Sci. 2021, 7, 25. [Google Scholar] [CrossRef]
- Boukari, I.; Shier, N.W.; Frisch, J.; Watkins, B.A.; Pawloski, L.; Fly, A.D. Calcium Analysis of Selected Western African Foods. J. Food Compos. Anal. 2001, 14, 37–42. [Google Scholar] [CrossRef]
- Hyacinthe, T.; Charles, P.; Adama, K.; Diarra, C.; Dicko, M.H.; Svejgaard, J.J.; Diawara, B. Variability of vitamins B1, B2 and minerals content in baobab (Adansonia digitata) leaves in East and West Africa. Food Sci. Nutr. 2015, 3, 17–24. [Google Scholar] [CrossRef]
- Bennet, D.; Khorsandian, Y.; Pelusi, J.; Mirabella, A.; Pirrotte, P.; Zenhausern, F. Molecular and physical technologies for monitoring fluid and electrolyte imbalance: A focus on cancer population. Clin. Transl. Med. 2021, 11, e461. [Google Scholar] [CrossRef] [PubMed]
- Cruz-Jentoft, A.J.; Hughes, B.D.; Scott, D.; Sanders, K.M.; Rizzoli, R. Nutritional strategies for maintaining muscle mass and strength from middle age to later life: A narrative review. Maturitas 2020, 132, 57–64. [Google Scholar] [CrossRef]
- Fardol, D.; Gulmez, A.; Yoldas, Z.; Lourdel, S. Blood pressure regulation: A crucial role of potassium intake. Med. Sci. M/S 2022, 38, 743–745. [Google Scholar] [CrossRef]
- Proia, P.; Amato, A.; Drid, P.; Korovljev, D.; Vasto, S.; Baldassano, S. The Impact of Diet and Physical Activity on Bone Health in Children and Adolescents. Front. Endocrinol. 2021, 12, 704647. [Google Scholar] [CrossRef]
- Mwangi, M.N.; Mzembe, G.; Moya, E.; Verhoef, H. Iron deficiency anaemia in sub-Saharan Africa: A review of current evidence and primary care recommendations for high-risk groups. Lancet Haematol. 2021, 810, e732–e743. [Google Scholar] [CrossRef] [PubMed]
- Stoltzfus, R.J. Iron interventions for women and children in low-income countries. J. Nutr. 2011, 141, 756S–762S. [Google Scholar] [CrossRef] [PubMed]
- Banach, W.; Nitschke, K.; Krajewska, N.; Mongiałło, W.; Matuszak, O.; Muszyński, J.; Skrypnik, D. The association between excess body mass and disturbances in somatic mineral levels. Int. J. Mol. Sci. 2020, 21, 7306. [Google Scholar] [CrossRef]
- Martins, A.C.; Krum, B.N.; Queirós, L.; Tinkov, A.A.; Skalny, A.V.; Bowman, A.B.; Aschner, M. Manganese in the Diet: Bioaccessibility, Adequate Intake, and Neurotoxicological Effects. J. Agric. Food Chem. 2020, 68, 12893–12903. [Google Scholar] [CrossRef] [PubMed]
- Ahmed, A.E.M.; Mozzon, M.; Omer, A.; Shaikh, A.M.; Kovács, B. Major and Trace Elements of Baobab Leaves in Different Habitats and Regions in Sudan: Implication for Human Dietary Needs and Overall Health. Foods 2024, 13, 1938. [Google Scholar] [CrossRef] [PubMed]
- Jeyakumar, E.; Lawrence, R. 10 - Microbial fermentation for reduction of antinutritional factors. In Current Developments in Biotechnology and Bioengineering; Rai, A.K., Singh, S.P., Pandey, A., Larroche, C., Soccol, C.R., Eds.; Elsevier: Amsterdam, The Netherlands, 2022; pp. 239–260. [Google Scholar] [CrossRef]
- Ertop, M.H.; Bektaş, M. Enhancement of bioavailable micronutrients and reduction of antinutrients in foods with some processes. Food Health 2018, 4, 159–165. [Google Scholar] [CrossRef]
- Mongwaketse, T.; Kruger, J.; Lewies, A.; Baumgartner, J.; Mattheus Smuts, C. Minerals, antinutrients content and the bioaccessibility of iron and zinc in cooked, spontaneously fermented-dried, and blanched-dried dark green leafy vegetables commonly consumed in Sub-Saharan Africa. Food Sci. Technol. 2022, 42, e37921. [Google Scholar] [CrossRef]
- Man, Y.; Xu, T.; Adhikari, B.; Zhou, C.; Wang, Y.; Wang, B. Iron supplementation and iron-fortified foods: A review. Food Sci. Nutr. 2022, 2, 4504–4525. [Google Scholar] [CrossRef] [PubMed]
- Hurrell, R.F. Iron Fortification Practices and Implications for Iron Addition to Salt. J. Nutr. 2021, 151, 3S–14S. [Google Scholar] [CrossRef] [PubMed]













| Group/Age | Potassium (mg/Day) | Calcium (mg/Day) | Magnesium (mg/Day) | Sodium (g/Day) | Protein (g/kg/Day) | Iron (mg/Day) | Manganese (mg/Day) |
|---|---|---|---|---|---|---|---|
| Children (1–3 years) | 800 | 450 | 170 | 1.1 | 0.66 | 7 | - |
| Children (4–6 years) | - | 800 | 230 | 1.3 | 0.66 | 7 | - |
| Children (7–10 years) | - | 800 | 230 | 1.7 | 0.66 | 11 | - |
| Children (10–18 years) | 3500 | 1150 | B: 300, G: 250 | 2.0 | 0.66 | B: 11, G: 13 | - |
| Adults (≥25 years) | 3500 | 750 | M: 350, W: 300 | 2.0 | 0.83 | M: 11, W: 16 | 3 |
| Pregnant Women | 3500 | 750 | 300 | 2.0 | 1 g (1st), 9 g (2nd), 28 g (3rd) | 16 | 3 |
| Lactating Women | 4000 | 750 | 300 | 2.0 | 19 g (FI), 13 g (AF) | 16 | 3 |
| KR1 | KR2 | KR3 | BN1 | BN2 | BN3 | |
|---|---|---|---|---|---|---|
| Dry matter (m/m%) | 92.6 a ± 0.028 | 92.3 a ± 0.089 | 92.4 a ± 0.094 | 92.7 a ± 0.075 | 91.8 a ± 0.072 | 92.45 a ± 0.026 |
| Ash (g/100 g) | 10.49 a ± 0.051 | 8.93 b ± 0.02 | 10.53 c ± 0.127 | 11.69 d ± 0.035 | 11.30 e ± 0.021 | 12.83 f ± 0.01 |
| Fat (g/100 g) | 1.79 a ±0.093 | 1.86 b ± 0.045 | 2.28 c ± 0.021 | 1.79 d ± 0.041 | 2.14 e ± 0.016 | 1.49 f ± 0.013 |
| Protein (g/100 g) | 16.29 a ± 0.012 | 16.38 b ± 0.021 | 13.24 c ± 0.025 | 15.65 d ± 0.012 | 16.86 e ± 0.014 | 13.99 f ± 0.5 |
| pH | 5.88 a ± 0.012 | 5.76 b ± 0.021 | 5.81 c ± 0.016 | 5.97 d ± 0.036 | 5.86 e ± 0.024 | 6.12 f ± 0.026 |
| Ca (mg/kg) | 22,342 a ± 1292 | 20,917 b ± 480 | 27,364 c ± 498 | 26,177 d ± 748 | 23,803 e ± 1076 | 30,712 f ± 940 |
| K (mg/kg) | 16,826 a ± 163 | 11,662 b ± 250 | 11,218 c ± 21.47 | 16,243 d ± 183 | 15,244 e ± 196 | 18,312 f ± 286 |
| Na (mg/kg) | 86.52 a ± 8.12 | 73.11 b ± 5.23 | 72.91 c ± 2.95 | 67.021 d ± 4.03 | 66.4 e ± 0.63 | 74.56 f ±3.11 |
| Mg (mg/kg) | 5015 a ± 133 | 6263 b ± 227 | 5394 c ± 120 | 4413 d ± 49.985 | 4307 e ± 55 | 4604 f ± 89.9 |
| Fe (mg/kg) | 179 a ± 10.06 | 198 b ± 7.91 | 136.5 c ± 3.68 | 117.9 d ± 2.92 | 118 e ± 5.85 | 144.6 f ± 5.61 |
| Mn (mg/kg) | 20.37 a ± 1.16 | 96.30 b ± 0.68 | 54.20 c ± 0.85 | 25.29 d ± 0.434 | 20.6 e ± 6.69 | 24.07 f ± 0.65 |
| TPC (mg/100 g) | 371 a ± 4.26 | 351 b ± 3.31 | 363 c ± 3.06 | 351 d ± 4.583 | 396 e ± 8.36 | 338 f ± 7.21 |
| TFC (mg/100 g) | 1417 a ± 28.65 | 1554 b ± 16.93 | 1441 c ± 13.5 | 1449 d ± 8.50 | 1238 e ± 12 | 1294 f ± 8.63 |
| C1 | C4 | A | PW | LW | |
|---|---|---|---|---|---|
| KR1 | 48 | 208 | 208 | 208 | 238 |
| KR2 | 69 | 300 | 300 | 300 | 343 |
| KR3 | 71 | 312 | 312 | 312 | 357 |
| BN1 | 49 | 216 | 216 | 215 | 246 |
| BN2 | 53 | 229 | 229 | 229 | 262 |
| BN3 | 44 | 191 | 191 | 191 | 218 |
| C1 | C2 | C3 | C4 | AD | PW | LW | |
|---|---|---|---|---|---|---|---|
| KR1 | 64 | 114 | 114 | 163 | 107 | 107 | 107 |
| KR2 | 68 | 121 | 121 | 175 | 114 | 114 | 114 |
| KR3 | 52 | 93 | 93 | 133 | 87 | 87 | 87 |
| BN1 | 55 | 97 | 97 | 139 | 91 | 91 | 91 |
| BN2 | 60 | 107 | 107 | 153 | 100 | 100 | 100 |
| BN3 | 47 | 83 | 83 | 119 | 78 | 77.52 | 78 |
| C1 | C2 | C3 | C4-B | C4-G | AD-M | AD-W | PW | LW | |
|---|---|---|---|---|---|---|---|---|---|
| KR1 | 57 | 78 | 78 | 101 | 84 | 118 | 101 | 101 | 101. |
| KR2 | 46 | 63 | 62 | 81 | 68 | 95 | 81 | 81 | 81 |
| KR3 | 53 | 72 | 72. | 94 | 78 | 110 | 94 | 94 | 94 |
| BN1 | 65 | 88 | 88 | 115 | 96 | 96 | 115 | 115 | 115 |
| BN2 | 67 | 91 | 91 | 118 | 98 | 138 | 118 | 118 | 118 |
| BN3 | 63 | 85 | 85 | 110 | 92 | 129 | 110 | 110 | 110 |
| C1 | C2 | C3 | C4 | AD | PW | LW | |
|---|---|---|---|---|---|---|---|
| KR1 | 13 | 15 | 20 | 23 | 23 | 23 | 23 |
| KR2 | 15 | 18 | 23 | 27 | 27 | 27 | 27 |
| KR3 | 15 | 18 | 23 | 27 | 27 | 27 | 27 |
| BN1 | 16 | 19 | 25 | 30 | 30 | 30 | 30 |
| BN2 | 17 | 20 | 26 | 30 | 30 | 30 | 30 |
| BN3 | 15 | 17 | 23 | 27 | 27 | 27 | 30 |
| Age Group | C1 | C2 | C3 | C4-B | C4-G | AD-M | AD-W | PW | LW |
|---|---|---|---|---|---|---|---|---|---|
| KR1 | 39 | 39 | 61 | 61 | 73 | 61 | 89 | 89 | 89 |
| KR2 | 35 | 35 | 56 | 56 | 66 | 56 | 81 | 81 | 81 |
| KR3 | 51 | 51 | 81 | 81 | 95 | 81 | 117 | 117 | 117 |
| BN1 | 59 | 59 | 93 | 93 | 110 | 93 | 136 | 136 | 136 |
| BN2 | 59 | 59 | 93 | 93 | 110 | 93 | 136 | 136 | 136 |
| BN3 | 48 | 48 | 76 | 76 | 90 | 76 | 111 | 111 | 111 |
| AD | PW | LW | |
|---|---|---|---|
| KR1 | 0.598 | 0.598 | 0.598 |
| KR2 | 0.479 | 0.479 | 0.479 |
| KR3 | 0.556 | 0.556 | 0.556 |
| BN1 | 0.68 | 0.68 | 0.68 |
| BN2 | 0.697 | 0.697 | 0.697 |
| BN3 | 0.652 | 0.652 | 0.652 |
| C1 | C2 | C3 | C4 | AD | PW (1st) | PW (2nd) | PW (3rd) | LW (FI) | LW (AF) | |
|---|---|---|---|---|---|---|---|---|---|---|
| KR1 | 4.052 | 4.052 | 4.052 | 4.052 | 5.095 | 6 | 55 | 172 | 117 | 79.8 |
| KR2 | 4.029 | 4.029 | 4.029 | 4.029 | 5.067 | 6 | 55 | 170 | 115.9 | 79.4 |
| KR3 | 4.985 | 4.985 | 4.985 | 4.985 | 6.269 | 7.5 | 67.9 | 211.5 | 143.5 | 98 |
| BN1 | 4.217 | 4.217 | 4.217 | 4.217 | 5.304 | 6.4 | 57.5 | 178.9 | 121.4 | 83 |
| BN2 | 3.915 | 3.915 | 3.915 | 3.915 | 4.923 | 5.9 | 53.3 | 166 | 113 | 77 |
| BN3 | 4.718 | 4.718 | 4.718 | 4.718 | 5.933 | 7 | 64.3 | 200 | 1135 | 92.9 |
Disclaimer/Publisher’s Note: The statements, opinions and data contained in all publications are solely those of the individual author(s) and contributor(s) and not of MDPI and/or the editor(s). MDPI and/or the editor(s) disclaim responsibility for any injury to people or property resulting from any ideas, methods, instructions or products referred to in the content. |
© 2024 by the authors. Licensee MDPI, Basel, Switzerland. This article is an open access article distributed under the terms and conditions of the Creative Commons Attribution (CC BY) license (https://creativecommons.org/licenses/by/4.0/).
Share and Cite
Ahmed, A.E.M.; Mozzon, M.; Dawod, A.B.A.; Mustafa, E.O.A.; Mukarram, S.A.; ElObeid, T.; Mohammed, E.A.H.; Kovács, B. Evaluation of the Nutritional Impact of Baobab Leaves (Adansonia digitata L.) as a Dietary Intervention to Combat Nutrient Deficiencies and Poverty-Related Health Problems. Nutrients 2024, 16, 4340. https://doi.org/10.3390/nu16244340
Ahmed AEM, Mozzon M, Dawod ABA, Mustafa EOA, Mukarram SA, ElObeid T, Mohammed EAH, Kovács B. Evaluation of the Nutritional Impact of Baobab Leaves (Adansonia digitata L.) as a Dietary Intervention to Combat Nutrient Deficiencies and Poverty-Related Health Problems. Nutrients. 2024; 16(24):4340. https://doi.org/10.3390/nu16244340
Chicago/Turabian StyleAhmed, Abdelhakam Esmaeil Mohamed, Massimo Mozzon, Abdaljbbar B. A. Dawod, Eltayeb Omaima Awad Mustafa, Shaikh Ayaz Mukarram, Tahra ElObeid, Elshafia Ali Hamid Mohammed, and Béla Kovács. 2024. "Evaluation of the Nutritional Impact of Baobab Leaves (Adansonia digitata L.) as a Dietary Intervention to Combat Nutrient Deficiencies and Poverty-Related Health Problems" Nutrients 16, no. 24: 4340. https://doi.org/10.3390/nu16244340
APA StyleAhmed, A. E. M., Mozzon, M., Dawod, A. B. A., Mustafa, E. O. A., Mukarram, S. A., ElObeid, T., Mohammed, E. A. H., & Kovács, B. (2024). Evaluation of the Nutritional Impact of Baobab Leaves (Adansonia digitata L.) as a Dietary Intervention to Combat Nutrient Deficiencies and Poverty-Related Health Problems. Nutrients, 16(24), 4340. https://doi.org/10.3390/nu16244340

