Plant-Based Diets and Their Associations with Physical Performance in the Baltimore Longitudinal Study of Aging
Abstract
1. Introduction
2. Materials and Methods
2.1. Study Population
2.2. Dietary Intake Assessment
Plant-Based Diet Indices
2.3. Physical Performance
2.4. Statistical Analysis
3. Results
3.1. Baseline Characteristics by Plant-Based Diet Indices
3.2. Physical Performance and Plant-Based Diet Indices
3.3. Physical Performance and Plant-Based Diet Indices in Older Adults
4. Discussion
5. Conclusions
Supplementary Materials
Author Contributions
Funding
Institutional Review Board Statement
Informed Consent Statement
Data Availability Statement
Acknowledgments
Conflicts of Interest
References
- Granic, A.; Sayer, A.A.; Cooper, R.; Robinson, S.M. Nutrition in the prevention and treatment of skeletal muscle ageing and sarcopenia: A single nutrient, a whole food, and a whole diet approach. In Proceedings of the Nutrition Society; Cambridge University Press: Cambridge, UK, 2024; pp. 1–16. [Google Scholar] [CrossRef]
- Tieland, M.; Trouwborst, I.; Clark, B.C. Skeletal muscle performance and ageing. J. Cachex Sarcopenia Muscle 2017, 9, 3–19. [Google Scholar] [CrossRef] [PubMed]
- Ko, S.-U.; Stenholm, S.; Metter, E.J.; Ferrucci, L. Age-associated gait patterns and the role of lower extremity strength—Results from the Baltimore Longitudinal Study of Aging. Arch. Gerontol. Geriatr. 2012, 55, 474–479. [Google Scholar] [CrossRef] [PubMed]
- Granic, A.; Suetterlin, K.; Shavlakadze, T.; Grounds, M.D.; Sayer, A.A. Hallmarks of ageing in human skeletal muscle and implications for understanding the pathophysiology of sarcopenia in women and men. Clin. Sci. 2023, 137, 1721–1751. [Google Scholar] [CrossRef] [PubMed]
- Mitchell, W.K.; Williams, J.; Atherton, P.; Larvin, M.; Lund, J.; Narici, M. Sarcopenia, dynapenia, and the impact of advancing age on human skeletal muscle size and strength: A quantitative review. Front. Physiol. 2012, 3, 260. [Google Scholar] [CrossRef]
- Granic, A.; Dismore, L.; Hurst, C.; Robinson, S.M.; Sayer, A.A. Myoprotective Whole Foods, Muscle Health and Sarcopenia: A Systematic Review of Observational and Intervention Studies in Older Adults. Nutrients 2020, 12, 2257. [Google Scholar] [CrossRef]
- Berrazaga, I.; Micard, V.; Gueugneau, M.; Walrand, S. The Role of the Anabolic Properties of Plant- versus Animal-Based Protein Sources in Supporting Muscle Mass Maintenance: A Critical Review. Nutrients 2019, 11, 1825. [Google Scholar] [CrossRef]
- Uchida, M. Relative Protein Intake and Physical Function in Older Adults: A Systematic Review and Meta-Analysis of Observational Studies. Nutrients 2018, 10, 1330. [Google Scholar] [CrossRef]
- Neville, C.E.; Young, I.S.; Gilchrist, S.E.C.M.; McKinley, M.C.; Gibson, A.; Edgar, J.D.; Woodside, J.V. Effect of increased fruit and vegetable consumption on physical function and muscle strength in older adults. AGE 2013, 35, 2409–2422. [Google Scholar] [CrossRef]
- Yu, T.; Oguma, Y.; Asakura, K.; Abe, Y.; Arai, Y. Relationship between dietary patterns and physical performance in the very old population: A cross-sectional study from the Kawasaki Aging and Wellbeing Project. Public Health Nutr. 2023, 26, 1163–1171. [Google Scholar] [CrossRef]
- Bigman, G.; Ryan, A.S. Healthy Eating Index-2015 Is Associated with Grip Strength among the US Adult Population. Nutrients 2021, 13, 3358. [Google Scholar] [CrossRef]
- Kim, H.; Kwon, O. Higher diet quality is associated with lower odds of low hand grip strength in the Korean elderly population. Nutrients 2019, 11, 1487. [Google Scholar] [CrossRef] [PubMed]
- Talegawkar, S.A.; Jin, Y.; Xue, Q.-L.; Tanaka, T.; Simonsick, E.M.; Tucker, K.L.; Ferrucci, L. Dietary Pattern Trajectories in Middle Age and Physical Function in Older Age. J. Gerontol. Ser. A 2020, 76, 513–519. [Google Scholar] [CrossRef] [PubMed]
- Huang, C.H.; Okada, K.; Matsushita, E.; Uno, C.; Satake, S.; Martins, B.A.; Kuzuya, M. Dietary patterns and muscle mass, muscle strength, and physical performance in the elderly: A 3-year cohort study. J. Nutr. Heal. Aging 2020, 25, 108–115. [Google Scholar] [CrossRef]
- Talegawkar, S.A.; Jin, Y.; Simonsick, E.M.; Tucker, K.L.; Ferrucci, L.; Tanaka, T. The Mediterranean-DASH Intervention for Neurodegenerative Delay (MIND) diet is associated with physical function and grip strength in older men and women. Am. J. Clin. Nutr. 2021, 115, 625–632. [Google Scholar] [CrossRef]
- Perälä, M.-M.; von Bonsdorff, M.B.; Männistö, S.; Salonen, M.K.; Simonen, M.; Kanerva, N.; Rantanen, T.; Pohjolainen, P.; Eriksson, J.G. The healthy Nordic diet predicts muscle strength 10 years later in old women, but not old men. Age Ageing 2017, 46, 588–594. [Google Scholar] [CrossRef]
- Barrea, L.; Muscogiuri, G.; Di Somma, C.; Tramontano, G.; De Luca, V.; Illario, M.; Colao, A.; Savastano, S. Association between Mediterranean diet and hand grip strength in older adult women. Clin. Nutr. 2019, 38, 721–729. [Google Scholar] [CrossRef] [PubMed]
- Kelaiditi, E.; Jennings, A.; Steves, C.J.; Skinner, J.; Cassidy, A.; MacGregor, A.J.; Welch, A.A. Measurements of skeletal muscle mass and power are positively related to a Mediterranean dietary pattern in women. Osteoporos. Int. 2016, 27, 3251–3260. [Google Scholar] [CrossRef] [PubMed]
- Rahi, B.; Ajana, S.; Tabue-Teguo, M.; Dartigues, J.-F.; Peres, K.; Feart, C. High adherence to a Mediterranean diet and lower risk of frailty among French older adults community-dwellers: Results from the Three-City-Bordeaux Study. Clin. Nutr. 2017, 37, 1293–1298. [Google Scholar] [CrossRef]
- Willett, W.; Rockström, J.; Loken, B.; Springmann, M.; Lang, T.; Vermeulen, S.; Garnett, T.; Tilman, D.; DeClerck, F.; Wood, A.; et al. Food in the Anthropocene: The EAT-Lancet Commission on healthy diets from sustainable food systems. Lancet 2019, 393, 447–492. [Google Scholar] [CrossRef]
- Sullivan, V.K.; Martínez-Steele, E.; Garcia-Larsen, V.; Rebholz, C.M. Trends in Plant-Based Diets among United States Adults, 1999–March 2020. J. Nutr. 2024, 154, 3575–3584. [Google Scholar] [CrossRef]
- Quek, J.; Lim, G.; Lim, W.H.; Ng, C.H.; So, W.Z.; Toh, J.; Pan, X.H.; Chin, Y.H.; Muthiah, M.D.; Chan, S.P.; et al. The association of plant-based diet with cardiovascular disease and mortality: A meta-analysis and systematic review of prospective cohort studies. Front. Cardiovasc. Med. 2021, 8, 756810. [Google Scholar] [CrossRef] [PubMed]
- Capodici, A.; Mocciaro, G.; Gori, D.; Landry, M.J.; Masini, A.; Sanmarchi, F.; Fiore, M.; Coa, A.A.; Castagna, G.; Gardner, C.D.; et al. Cardiovascular health and cancer risk associated with plant based diets: An umbrella review. PLoS ONE 2024, 19, e0300711. [Google Scholar] [CrossRef] [PubMed]
- Chen, Z.; Drouin-Chartier, J.-P.; Li, Y.; Baden, M.Y.; Manson, J.E.; Willett, W.C.; Voortman, T.; Hu, F.B.; Bhupathiraju, S.N. Changes in plant-based diet indices and subsequent risk of type 2 diabetes in women and men: Three U.S. prospective cohorts. Diabetes Care 2021, 44, 663–671. [Google Scholar] [CrossRef] [PubMed]
- Vega-Cabello, V.; Al Hinai, M.; Yévenes-Briones, H.; Caballero, F.F.; Lopez-García, E.; Baylin, A. Plant-Based Diets and Risk of Multimorbidity: The Health and Retirement Study. J. Nutr. 2024, 154, 2264–2272. [Google Scholar] [CrossRef] [PubMed]
- Satija, A.; Bhupathiraju, S.N.; Rimm, E.B.; Spiegelman, D.; Chiuve, S.E.; Borgi, L.; Willett, W.C.; Manson, J.E.; Sun, Q.; Hu, F.B. Plant-Based Dietary Patterns and Incidence of Type 2 Diabetes in US Men and Women: Results from Three Prospective Cohort Studies. PLoS Med. 2016, 13, e1002039. [Google Scholar] [CrossRef]
- Chan, H.H.L.; Ribeiro, R.V.; Haden, S.; Hirani, V. Plant-Based Dietary Patterns, Body Composition, Muscle Strength and Function in Middle and Older Age: A Systematic Review. J. Nutr. Heal. Aging 2021, 25, 1012–1022. [Google Scholar] [CrossRef]
- Qi, R.; Yang, Y.; Sheng, B.; Li, H.; Zhang, X. Plant-Based Diet Indices and Their Association with Frailty in Older Adults: A CLHLS-Based Cohort Study. Nutrients 2023, 15, 5120. [Google Scholar] [CrossRef]
- Lynch, H.; Johnston, C.; Wharton, C. Plant-based diets: Considerations for environmental impact, protein quality, and exercise performance. Nutrients 2018, 10, 1841. [Google Scholar] [CrossRef]
- Shock, N.W. Normal Human Aging: The Baltimore Longitudinal Study of Aging; US Government Printing Office: Washington, DC, USA, 1984.
- Talegawkar, S.A.; Tanaka, T.; Maras, J.E.; Ferrucci, L.; Tucker, K.L. Validation of nutrient intake estimates derived using a semi-quantitative FFQ against 3 day diet records in the Baltimore Longitudinal Study of Aging. J. Nutr. Health Aging. 2015, 19, 994–1002. [Google Scholar] [CrossRef]
- Loth, K.A. Nutritional Data Systems for Research. In Encyclopedia of Feeding and Eating Disorders; Wade, T., Ed.; Springer: Singapore, 2015. [Google Scholar] [CrossRef]
- Guralnik, J.M.; Ferrucci, L.; Simonsick, E.M.; Salive, M.E.; Wallace, R.B. Lower-extremity function in persons over the age of 70 years as a predictor of subsequent disability. N. Eng. J. Med. 1995, 332, 556–562. [Google Scholar] [CrossRef]
- Talbot, L.A.; Fleg, J.L.; Metter, E. Secular trends in leisure-time physical activity in men and women across four decades. Prev. Med. 2003, 37, 52–60. [Google Scholar] [CrossRef] [PubMed]
- Fabbri, E.; An, Y.; Schrack, J.A.; Gonzalez-Freire, M.; Zoli, M.; Simonsick, E.M.; Guralnik, J.M.; Boyd, C.M.; Studenski, S.A.; Ferrucci, L. Energy Metabolism and the Burden of Multimorbidity in Older Adults: Results from the Baltimore Longitudinal Study of Aging. J. Gerontol. Ser. A 2014, 70, 1297–1303. [Google Scholar] [CrossRef] [PubMed]
- Webster, J.; Via, J.D.; Langley, C.; Smith, C.; Sale, C.; Sim, M. Nutritional strategies to optimise musculoskeletal health for fall and fracture prevention: Looking beyond calcium, vitamin D and protein. Bone Rep. 2023, 19, 101684. [Google Scholar] [CrossRef]
- Ren, L.; Tang, Y.; Yang, R.; Hu, Y.; Wang, J.; Li, S.; Yu, M.; Jiang, Y.; Liu, Z.; Wu, Y.; et al. Plant-based dietary pattern and low muscle mass: A nation-wide cohort analysis of Chinese older adults. BMC Geriatr. 2023, 23, 569. [Google Scholar] [CrossRef]
- Robinson, S.M.; Westbury, L.D.; Cooper, R.; Kuh, D.; Ward, K.; E Syddall, H.; A Sayer, A.; Cooper, C. Adult Lifetime Diet Quality and Physical Performance in Older Age: Findings from a British Birth Cohort. J. Gerontol. Ser. A 2017, 73, 1532–1537. [Google Scholar] [CrossRef]
- Maroto-Rodriguez, J.; Ortolá, R.; García-Esquinas, E.; Kales, S.N.; Rodríguez-Artalejo, F.; Sotos-Prieto, M. Quality of plant-based diets and frailty incidence: A prospective analysis of UK biobank participants. Age Ageing 2024, 53, afae092. [Google Scholar] [CrossRef]
- Sotos-Prieto, M.; Struijk, E.A.; Fung, T.T.; Rodríguez-Artalejo, F.; Willett, W.C.; Hu, F.B.; Lopez-Garcia, E. Association between the quality of plant-based diets and risk of frailty. J. Cachex Sarcopenia Muscle 2022, 13, 2854–2862. [Google Scholar] [CrossRef]
- Silva, R.; Pizato, N.; Da Mata, F.; Figueiredo, A.; Ito, M.; Pereira, M.G. Mediterranean Diet and Musculoskeletal-Functional Outcomes in Community-Dwelling Older People: A Systematic Review and Meta-Analysis. J. Nutr. Health Aging 2018, 22, 655–663. [Google Scholar] [CrossRef] [PubMed]
- Rusu, M.E.; Fizeșan, I.; Vlase, L.; Popa, D.-S. Antioxidants in age-related diseases and anti-aging strategies. Antioxidants 2022, 11, 1868. [Google Scholar] [CrossRef]
- Ghosh, T.S.; Rampelli, S.; Jeffery, I.B.; Santoro, A.; Neto, M.; Capri, M.; Giampieri, E.; Jennings, A.; Candela, M.; Turroni, S.; et al. Mediterranean diet intervention alters the gut microbiome in older people, reducing frailty and improving health status. Gut 2020, 69, 1218–1228. [Google Scholar] [CrossRef]
- Mateș, L.; Banc, R.; Zaharie, F.A.; Rusu, M.E.; Popa, D.-S. Mechanistic insights into the biological effects and antioxidant activity of walnut ellagitannins. Antioxidants 2024, 13, 974. [Google Scholar] [CrossRef] [PubMed]
- Park, S.; Chae, M.; Park, H.; Park, K. Higher branched-chain amino acid intake is associated with handgrip strength among Korean older adults. Nutrients 2021, 13, 1522. [Google Scholar] [CrossRef] [PubMed]
- Cailleaux, A.; Via Dalla, J.; Langley, C.; Sale, C.; Smith, C.; Sim, M. Novel dietary strategies to manage sarcopenia. Curr. Opin. Clin. Nutr. Metab. Care 2024, 27, 234–243. [Google Scholar] [CrossRef] [PubMed]
- Tessier, A.-J.; Chevalier, S. An update on protein, leucine, omega-3 fatty acids, and vitamin D in the prevention and treatment of sarcopenia and functional decline. Nutrients 2018, 10, 1099. [Google Scholar] [CrossRef] [PubMed]
- Kim, N.; Kang, Y.; Choi, Y.J.; Lee, Y.; Park, S.J.; Park, H.S.; Kwon, M.; Chung, Y.-S.; Park, Y.K. Musculoskeletal health of the adults over 50 years of age in relation to antioxidant vitamin intakes. Clin. Nutr. Res. 2022, 11, 84–97. [Google Scholar] [CrossRef]
- Popa, D.-S.; Bigman, G.; Rusu, M.E. The Role of Vitamin K in Humans: Implication in Aging and Age-Associated. Antioxidants 2021, 10, 566. [Google Scholar] [CrossRef]
- Shin, S. Association between dietary fiber intake and low muscle strength among Korean adults. Clin. Nutr. Res. 2024, 13, 33–41. [Google Scholar] [CrossRef]
- Thoma, A.; Akter-Miah, T.; Reade, R.L.; Lightfoot, A.P. Targeting reactive oxygen species (ROS) to combat the age-related loss of muscle mass and function. Biogerontology 2020, 21, 475–484. [Google Scholar] [CrossRef]
- Fernandez-Marcos, P.J.; Auwerx, J. Regulation of PGC-1α, a nodal regulator of mitochondrial biogenesis. Am. J. Clin. Nutr. 2011, 93, 884S–890S. [Google Scholar] [CrossRef]
- Prokopidis, K.; Chambers, E.; Ni Lochlainn, M.; Witard, O.C. Mechanisms linking the gut-muscle axis with muscle protein metabolism and anabolic resistance. Front. Physiol. 2021, 12, 770455. [Google Scholar] [CrossRef]
- Lv, W.; Lin, X.; Shen, H.; Liu, H.; Qiu, X.; Li, B.; Shen, W.; Ge, C.; Lv, F.; Shen, J.; et al. Human gut microbiome impacts skeletal muscle mass via gut microbial synthesis of the short-chain fatty acid butyrate. J. Cachex Sarcopenia Muscle 2021, 12, 1860–1870. [Google Scholar] [CrossRef] [PubMed]
- Den Besten, G.; van Eunen, K.; Groen, A.K.; Venema, K.; Reijngoud, D.-J.; Bakker, B.M. The role of short-chain fatty acids in diet, gut microbiota, and host energy metabolism. J. Lipid Res. 2013, 54, 2325–2340. [Google Scholar] [CrossRef] [PubMed]



| First Diet Visit | Overall | PDI | hPDI | uPDI | |||||||||
|---|---|---|---|---|---|---|---|---|---|---|---|---|---|
| N (%)/Mean ± SD | N (%)/Mean ± SD | p-Value | N (%)/Mean ± SD | p-Value | N (%)/Mean ± SD | p-Value | |||||||
| Characteristics | T1 | T2 | T3 | T1 | T2 | T3 | T1 | T2 | T3 | ||||
| Sample Size | 1389 (100) | 471 (34) | 501 (36) | 417 (30) | 487 (35.0) | 466 (33.6) | 436 (31.4) | 469 (33.8) | 460 (33.1) | 460 (33.1) | |||
| Age (years) | 68.3 ± 12.8 | 66.9 ± 12.4 | 69.0 ± 12.8 | 68.9 ± 12.9 | 0.018 | 69.8 ± 13.1 | 68.0 ± 12.6 | 66.8 ± 12.4 | 0.001 | 67.6 ± 11.6 | 68.9 ± 12.5 | 68.3 ± 14.1 | 0.295 |
| Race | <0.001 | <0.001 | 0.034 | ||||||||||
| NH-Black | 313 (22.8) | 90 (23.1) | 120 (24.2) | 103 (25.0) | 129 (26.9) | 104 (22.6) | 80 (18.5) | 87 (18.7) | 115 (25.1) | 111 (24.7) | |||
| NH-White | 992 (72.3) | 361 (71.3) | 359 (72.4) | 272 (66.0) | 341 (71.0) | 341 (74.0) | 310 (71.8) | 347 (74.6) | 322 (70.3) | 323 (71.8) | |||
| Other | 68 (4.9) | 14 (5.6) | 17 (3.4) | 37 (9.0) | 10 (2.1) | 16 (3.4) | 42 (9.7) | 31 (6.7) | 21 (4.6) | 16 (3.6) | |||
| Sex | <0.001 | <0.001 | <0.001 | ||||||||||
| Female | 730 (53.2) | 211 (45.4) | 277 (55.9) | 242 (58.7) | 219 (45.6) | 245 (53.2) | 266 (61.6) | 309 (66.5) | 244 (53.3) | 177 (39.3) | |||
| Male | 643 (46.8) | 254 (54.6) | 219 (44.2) | 170 (41.3) | 261 (54.4) | 216 (46.8) | 166 (38.4) | 156 (33.5) | 214 (46.7) | 273 (60.7) | |||
| BMI (kg/m2) | <0.001 | <0.001 | 0.762 | ||||||||||
| <25 | 525 (37.9) | 147 (31.3) | 193 (38.7) | 185 (44.5) | 147 (30.4) | 187 (40.1) | 191 (43.9) | 185 (39.5) | 177 (38.5) | 163 (35.8) | |||
| 25–29 | 535 (38.7) | 186 (39.7) | 190 (38.1) | 159 (38.2) | 189 (39.1) | 183 (39.3) | 163 (37.5) | 180 (38.5) | 173 (37.6) | 182 (39.9) | |||
| ≥30+ | 324 (23.4) | 136 (29.0) | 116 (23.3) | 72 (17.3) | 147 (30.4) | 96 (20.6) | 81 (18.6) | 103 (22.0) | 110 (23.9) | 111 (24.3) | |||
| Kcal/day | 1995 ± 715 | 2161 ± 750 | 1915 ± 680 | 1904 ± 683 | <0.001 | 1888 ± 700 | 1987 ± 728 | 2124 ± 699 | <0.001 | 2018 ± 649 | 1862 ± 681 | 2104 ± 789 | <0.001 |
| Physical activity MET (minutes/day) | 0.989 | <0.001 | 0.001 | ||||||||||
| <50 | 135 (9.8) | 44 (9.5) | 48 (9.6) | 43 (10.3) | 72 (14.9) | 33 (7.2) | 30 (6.9) | 32 (6.9) | 45 (9.9) | 58 (12.7) | |||
| 50–250 | 538 (39.0) | 182 (39.3) | 199 (39.8) | 157 (37.7) | 205 (42.4) | 184 (40.0) | 149 (34.3) | 159 (34.1) | 189 (41.3) | 190 (41.9) | |||
| 250–500 | 380 (27.6) | 124 (26.7) | 138 (27.6) | 118 (28.3) | 116 (24.0) | 122 (26.5) | 142 (32.7) | 152 (32.5) | 122 (26.7) | 106 (23.4) | |||
| >500 | 325 (23.6) | 113 (24.4) | 114 (22.8) | 98 (23.5) | 91 (18.8) | 121 (26.3) | 113 (26.0) | 124 (26.5) | 101 (22.1) | 100 (22.0) | |||
| Smoking history | 0.037 | 0.529 | 0.017 | ||||||||||
| Never smoked | 867 (63.2) | 289 (62.2) | 298 (60.1) | 280 (68.1) | 303 (63.1) | 284 (61.5) | 280 (65.1) | 273 (58.7) | 309 (67.8) | 285 (63.2) | |||
| Former/Current smoker | 505 (36.8) | 176 (37.8) | 198 (39.9) | 131 (31.9) | 177 (36.9) | 178 (38.5) | 150 (34.9 | 192 (41.3) | 147 (32.2) | 166 (36.8) | |||
| Alcohol intake (gr/day) | 13.0 ± 27.2 | 18.5 ± 33.4 | 12.2 ± 26.8 | 7.7 ± 16.5 | <0.001 | 7.8 ± 13.8 | 12.3 ± 22.4 | 19.4 ± 39.2 | <0.001 | 14.1 ± 25.7 | 10.9 ± 26.4 | 14.0 ± 29.5 | 0.144 |
| Education (years) | 17.6 ± 3.6 | 17.7 ± 5.0 | 17.5 ± 2.7 | 17.6 ± 2.7 | 0.723 | 17.3 ± 4.3 | 17.6 ± 3.9 | 18.0 ± 2.5 | 0.031 | 17.9 ± 2.4 | 17.6 ± 3.9 | 17.4 ± 4.4 | 0.091 |
| Number of Chronic Diseases | 2.35 ± 1.8 | 2.23 ± 1.83 | 2.39 ± 1.78 | 2.45 ± 1.68 | 0.289 | 2.54 ± 1.87 | 2.24 ± 1.76 | 2.25 ± 1.63 | 0.054 | 2.32 ± 1.71 | 2.33 ± 1.76 | 2.41 ± 1.84 | 0.827 |
| Overall Plant-Based Diet Score | SPPB | Grip Strength (kg) | Gait Speed (m/s) | |
|---|---|---|---|---|
| Mean ± SD/(Range) | ||||
| Range | (0–12) | (3–182) | (0–2) | |
| Overall Mean score | 11.2 ± 2.0 | 30.6 ± 12.2 | 1.14 ± 0.28 | |
| PDI (30–75) | ||||
| T1 | 47.2 ± 3.6 | 11.3 ± 1.8 | 32.6 ± 14.5 | 1.15 ± 0.29 |
| T2 | 54.5 ± 1.7 | 11.1 ± 2.1 | 29.5 ± 10.4 | 1.13 ± 0.28 |
| T3 | 61.6 ± 3.4 | 11.1 ± 2.0 | 29.6 ± 11.3 | 1.12 ± 0.27 |
| p-value | <0.001 | 0.216 | <0.001 | 0.275 |
| hPDI (33–80) | ||||
| T1 | 46.0 ± 3.5 | 10.7 ± 2.6 | 30.9 ± 13.1 | 1.09 ± 0.31 |
| T2 | 53.9 ± 2.0 | 11.5 ± 1.3 | 30.8 ± 12.7 | 1.16 ± 0.24 |
| T3 | 63.1 ± 4.7 | 11.3 ± 1.8 | 30.0 ± 10.6 | 1.16 ± 0.27 |
| p-value | <0.001 | <0.001 | 0.436 | <0.001 |
| uPDI (30–76) | ||||
| T1 | 44.9 ± 4.5 | 11.3 ± 1.6 | 29.0 ± 12.1 | 1.15 ± 0.25 |
| T2 | 54.2 ± 2.0 | 11.2 ± 1.9 | 30.4 ± 10.4 | 1.14 ± 0.28 |
| T3 | 62.6 ± 3.9 | 10.9 ± 2.4 | 32.4 ± 13.7 | 1.12 ± 0.30 |
| p-value | <0.001 | 0.018 | <0.001 | 0.245 |
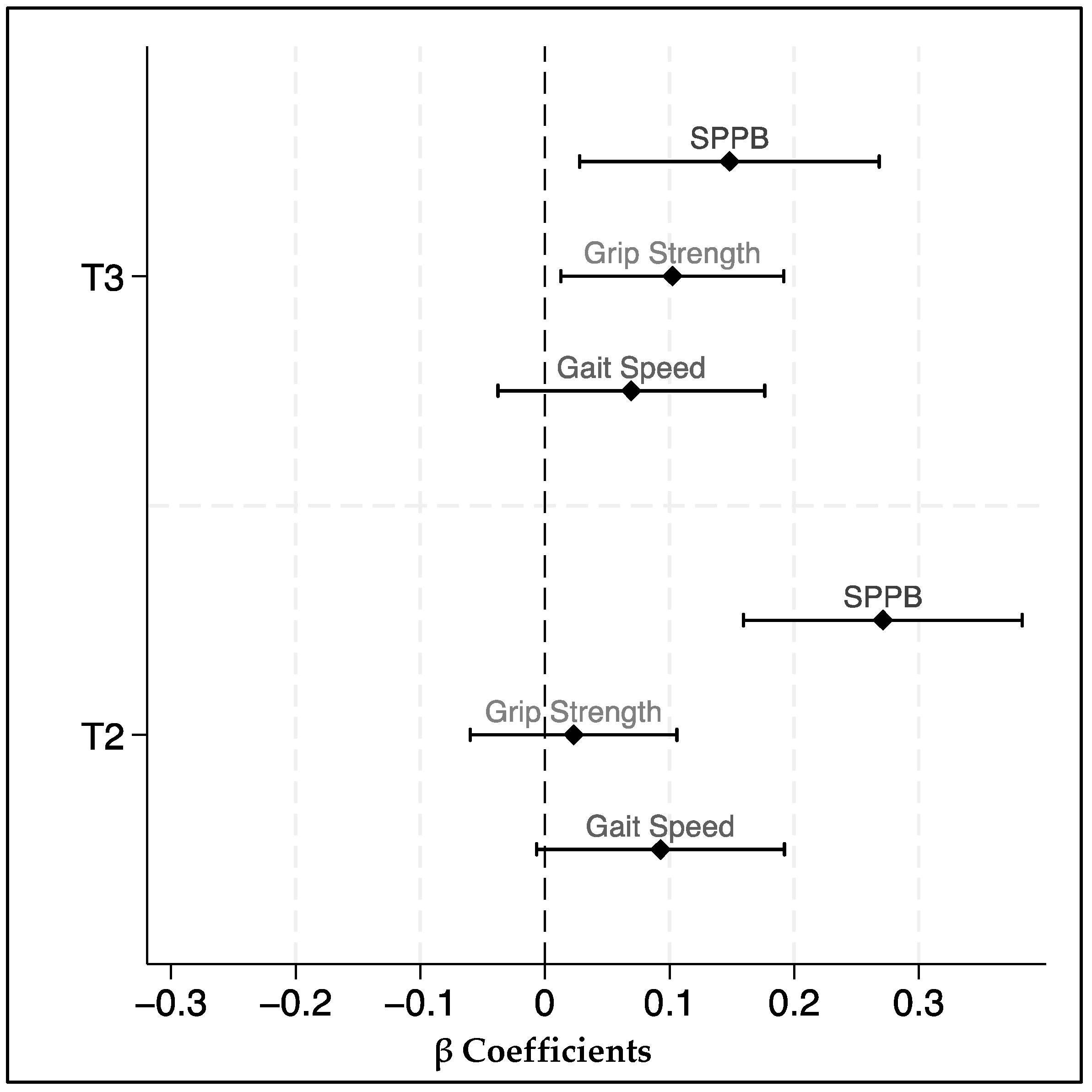
| β-Coefficient (CI 95%) | |||||||||
|---|---|---|---|---|---|---|---|---|---|
| SPPB | Grip Strength (Kg) | Gait Speed (m/s) | |||||||
| Model-1 | Model-2 | p-Value * | Model-1 | Model-2 | p-Value * | Model-1 | Model-2 | p-Value * | |
| PDI | |||||||||
| T1 | ref | ref | ref | ref | ref | ref | |||
| T2 | 0.20 (−0.03–0.43) | 0.15 (−0.05–0.35) | 0.139 | 0.17 (−0.72–1.06) | 0.17 (−0.69–1.04) | 0.696 | 0.02 (−0.00–0.05) | 0.01 (−0.02–0.04) | 0.213 |
| T3 | 0.09 (−0.14–0.32) | 0.07 (−0.13–0.27) | 0.502 | 0.61 (−0.28–1.51) | 0.65 (−0.22–1.54) | 0.146 | 0.01 (−0.02–0.04) | 0.01 (−0.02–0.03) | 0.772 |
| hPDI | |||||||||
| T1 | ref | ref | ref | ref | ref | ref | |||
| T2 | 0.69 (0.47–0.92) | 0.50 (0.30–0.70) | <0.001 | 0.79 (−0.09–1.67) | 0.57 (−0.29–1.44) | 0.194 | 0.05 (0.02–0.08) | 0.02 (−0.01–0.06) | 0.058 |
| T3 | 0.40 (0.17–0.64) | 0.25 (0.05–0.46) | 0.017 | 1.30 (0.38–2.22) | 1.14 (0.24–2.05) | 0.013 | 0.04 (0.01–0.07) | 0.01 (−0.01–0.04) | 0.298 |
| uPDI | |||||||||
| T1 | ref | ref | ref | ref | ref | ref | |||
| T2 | −0.12 (−0.35–0.11) | −0.12 (−0.32–0.08) | 0.233 | −0.57 (−1.46–0.32) | −0.48 (−1.35–0.39) | 0.283 | −0.01 (−0.03–0.02) | −0.00 (−0.03–0.02) | 0.815 |
| T3 | −0.43 (−0.67–−0.19) | −0.27 (−0.48–−0.07) | 0.009 | −1.05 (−1.98–−0.13) | −0.80 (−1.71–0.11) | 0.084 | −0.04 (−0.06–−0.01) | −0.01 (−0.04–0.01) | 0.144 |
Disclaimer/Publisher’s Note: The statements, opinions and data contained in all publications are solely those of the individual author(s) and contributor(s) and not of MDPI and/or the editor(s). MDPI and/or the editor(s) disclaim responsibility for any injury to people or property resulting from any ideas, methods, instructions or products referred to in the content. |
© 2024 by the authors. Licensee MDPI, Basel, Switzerland. This article is an open access article distributed under the terms and conditions of the Creative Commons Attribution (CC BY) license (https://creativecommons.org/licenses/by/4.0/).
Share and Cite
Bigman, G.; Rusu, M.E.; Kleckner, A.S.; Sorkin, J.D.; Jin, Y.; Talegawkar, S.A.; Tanaka, T.; Ferrucci, L.; Ryan, A.S. Plant-Based Diets and Their Associations with Physical Performance in the Baltimore Longitudinal Study of Aging. Nutrients 2024, 16, 4249. https://doi.org/10.3390/nu16234249
Bigman G, Rusu ME, Kleckner AS, Sorkin JD, Jin Y, Talegawkar SA, Tanaka T, Ferrucci L, Ryan AS. Plant-Based Diets and Their Associations with Physical Performance in the Baltimore Longitudinal Study of Aging. Nutrients. 2024; 16(23):4249. https://doi.org/10.3390/nu16234249
Chicago/Turabian StyleBigman, Galya, Marius Emil Rusu, Amber S. Kleckner, John D. Sorkin, Yichen Jin, Sameera A. Talegawkar, Toshiko Tanaka, Luigi Ferrucci, and Alice S. Ryan. 2024. "Plant-Based Diets and Their Associations with Physical Performance in the Baltimore Longitudinal Study of Aging" Nutrients 16, no. 23: 4249. https://doi.org/10.3390/nu16234249
APA StyleBigman, G., Rusu, M. E., Kleckner, A. S., Sorkin, J. D., Jin, Y., Talegawkar, S. A., Tanaka, T., Ferrucci, L., & Ryan, A. S. (2024). Plant-Based Diets and Their Associations with Physical Performance in the Baltimore Longitudinal Study of Aging. Nutrients, 16(23), 4249. https://doi.org/10.3390/nu16234249

