Functional Modulation of Gut Microbiota and Blood Parameters in Diabetic Rats Following Dietary Intervention with Free or Immobilized Pediococcus acidilactici SK Cells on Pistachio Nuts
Abstract
1. Introduction
2. Materials and Methods
2.1. Microbial Strains
2.2. Immobilization of Cells on Pistachio Nuts and Freeze-Drying
2.3. Scanning Electron Microscopy
2.4. In Vivo Study Design
2.4.1. STZ-Induced Animal Model
2.4.2. Dietary Intervention with Probiotic Strain
2.5. Sample Collection
2.6. Sample Analysis
2.6.1. Blood Analyses
2.6.2. Stool and Tissue Microbiota Analyses
2.6.3. DNA Extraction, PCR Amplification and 16S rRNA Sequencing
2.6.4. Stool Short Chain Fatty Acids (SCFAs) and Lactic Acid Profile
2.7. Statistical Analysis
3. Results and Discussion
3.1. Immobilized P. acidilactici SK Cells on Pistachio Nuts
3.2. Body Weight, Biochemical Profile, Insulin, and Inflammatory Factors
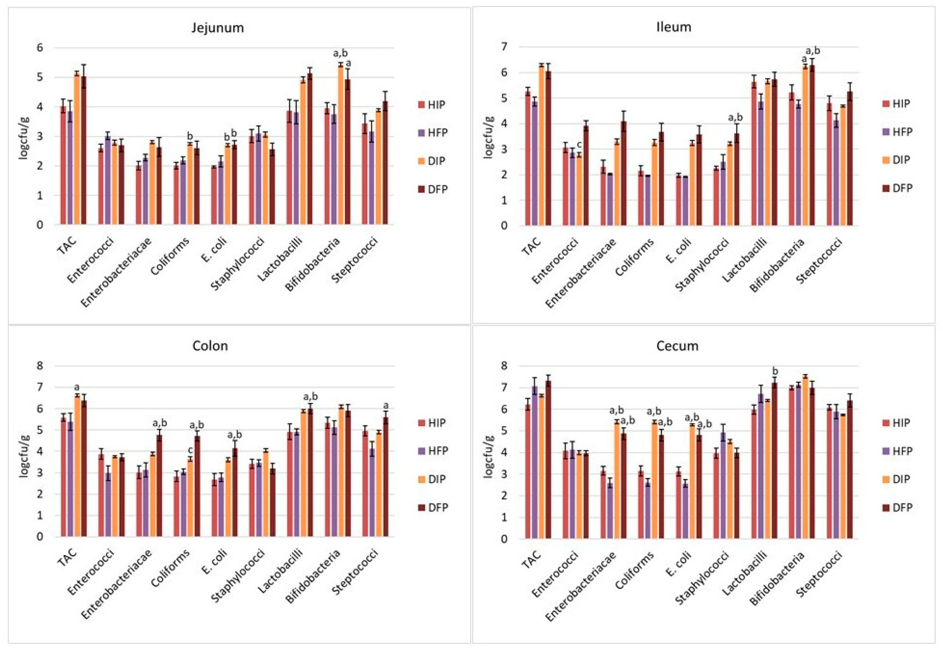
3.3. Fecal and Tissue Microbiota Analysis
3.4. Microbiome Alterations Using NGS of 16S rRNA
3.5. Stool Lactate and SCFAs
3.6. Overall Findings, Limitations, and Next Steps
4. Conclusions
Supplementary Materials
Author Contributions
Funding
Institutional Review Board Statement
Informed Consent Statement
Data Availability Statement
Acknowledgments
Conflicts of Interest
References
- International Diabetes Federation. IDF Diabetes Atlas, 10th ed.; International Diabetes Federation: Brussels, Belgium, 2021; ISBN 978-2-930229-87-4. Available online: http://www.diabetesatlas.org/ (accessed on 5 June 2024).
- Gregory, G.A.; Robinson, T.I.G.; Linklater, S.E.; Wang, F.; Colagiuri, S.; de Beaufort, C.; Donaghue, K.C.; International Diabetes Federation Diabetes Atlas Type 1 Diabetes in Adults Special Interest Group; Magliano, D.J.; Maniam, J.; et al. Global Incidence, Prevalence, and Mortality of Type 1 Diabetes in 2021 with Projection to 2040: A Modelling Study. Lancet Diabetes Endocrinol. 2022, 10, 741–760. [Google Scholar] [CrossRef] [PubMed]
- Zorena, K.; Michalska, M.; Kurpas, M.; Jaskulak, M.; Murawska, A.; Rostami, S. Environmental Factors and the Risk of Developing Type 1 Diabetes—Old Disease and New Data. Biology 2022, 11, 608. [Google Scholar] [CrossRef] [PubMed]
- Bejar, W.; Hamden, K.; Ben Salah, R.; Chouayekh, H. Lactobacillus plantarum TN627 Significantly Reduces Complications of Alloxan-Induced Diabetes in Rats. Anaerobe 2013, 24, 4–11. [Google Scholar] [CrossRef] [PubMed]
- Esposito, S.; Toni, G.; Tascini, G.; Santi, E.; Berioli, M.G.; Principi, N. Environmental Factors Associated with Type 1 Diabetes. Front. Endocrinol. 2019, 10, 592. [Google Scholar] [CrossRef] [PubMed]
- Cabrera, S.M.; Coren, A.T.; Pant, T.; Ciecko, A.E.; Jia, S.; Roethle, M.F.; Simpson, P.M.; Atkinson, S.N.; Salzman, N.H.; Chen, Y.-G.; et al. Probiotic Normalization of Systemic Inflammation in Siblings of Type 1 Diabetes Patients: An Open-Label Pilot Study. Sci. Rep. 2022, 12, 3306. [Google Scholar] [CrossRef]
- Uusitalo, U.; Liu, X.; Yang, J.; Aronsson, C.A.; Hummel, S.; Butterworth, M.; Lernmark, Å.; Rewers, M.; Hagopian, W.; She, J.-X.; et al. Association of Early Exposure of Probiotics and Islet Autoimmunity in the TEDDY Study. JAMA Pediatr. 2016, 170, 20. [Google Scholar] [CrossRef]
- World Health Organization (WHO); Food and Agriculture Organization of the United Nations (FAO). Guidelines for the evaluation of probiotics in food. In Report of a Joint FAO/WHO Working Group on Drafting Guidelines for the Evaluation of Probiotics in Food; World Health Organization (WHO): London, UK; Ottawa, ON, Canada, 2002; pp. 1–11. Available online: https://isappscience.org/wp-content/uploads/2019/04/probiotic_guidelines.pdf (accessed on 10 June 2024).
- Kumar, S.; Kumar, R.; Rohilla, L.; Jacob, N.; Yadav, J.; Sachdeva, N. A high potency multi-strain probiotic improves glycemic control in children with new-onset type 1 diabetes mellitus: A randomized, double-blind, and placebo-controlled pilot study. Pediatr. Diabetes 2021, 22, 1014–1022. [Google Scholar] [CrossRef]
- Mariño, E.; Richards, J.L.; McLeod, K.H.; Stanley, D.; Yap, Y.A.; Knight, J.; McKenzie, C.; Kranich, J.; Oliveira, A.C.; Rossello, F.J.; et al. Erratum: Gut Microbial Metabolites Limit the Frequency of Autoimmune T Cells and Protect against Type 1 Diabetes. Nat. Immunol. 2017, 18, 951. [Google Scholar] [CrossRef]
- Semova, I.; Levenson, A.E.; Krawczyk, J.; Bullock, K.; Williams, K.A.; Wadwa, R.P.; Shah, A.S.; Khoury, P.R.; Kimball, T.R.; Urbina, E.M.; et al. Type 1 Diabetes Is Associated with an Increase in Cholesterol Absorption Markers but a Decrease in Cholesterol Synthesis Markers in a Young Adult Population. J. Clin. Lipidol. 2019, 13, 940–946. [Google Scholar] [CrossRef]
- Valladares, R.; Sankar, D.; Li, N.; Williams, E.; Lai, K.-K.; Abdelgeliel, A.S.; Gonzalez, C.F.; Wasserfall, C.H.; Larkin, J.; Schatz, D.; et al. Lactobacillus johnsonii N6.2 Mitigates the Development of Type 1 Diabetes in BB-DP Rats. PLoS ONE 2010, 5, e10507. [Google Scholar] [CrossRef]
- Kim, S.-H.; Huh, C.-S.; Choi, I.-D.; Jeong, J.-W.; Ku, H.-K.; Ra, J.-H.; Kim, T.-Y.; Kim, G.-B.; Sim, J.-H.; Ahn, Y.-T. The Anti-Diabetic Activity of Bifidobacterium lactis HY8101 in vitro and in vivo. J. Appl. Microbiol. 2014, 117, 834–845. [Google Scholar] [CrossRef] [PubMed]
- Fart, F.; Rajan, S.K.; Wall, R.; Rangel, I.; Ganda-Mall, J.P.; Tingö, L.; Brummer, R.J.; Repsilber, D.; Schoultz, I.; Lindqvist, C.M. Differences in Gut Microbiome Composition between Senior Orienteering Athletes and Community-Dwelling Older Adults. Nutrients 2020, 12, 2610. [Google Scholar] [CrossRef]
- Nagpal, R.; Shively, C.A.; Register, T.C.; Craft, S.; Yadav, H. Gut Microbiome-Mediterranean Diet Interactions in Improving Host Health. F1000Research 2019, 8, 699. [Google Scholar] [CrossRef] [PubMed]
- Campos, S.B.; de Oliveira Filho, J.G.; Salgaço, M.K.; Jesus, M.H.D.; Egea, M.B. Effects of Peanuts and Pistachios on Gut Microbiota and Metabolic Syndrome: A Review. Foods 2023, 12, 4440. [Google Scholar] [CrossRef] [PubMed]
- Dufoo-Hurtado, E.; Olvera-Bautista, R.; Wall-Medrano, A.; Loarca-Piña, G.; Campos-Vega, R. In Vitro Gastrointestinal Digestion and Simulated Colonic Fermentation of Pistachio Nuts Determine the Bioaccessibility and Biosynthesis of Chronobiotics. Food Funct. 2021, 12, 4921–4934. [Google Scholar] [CrossRef]
- Velasco-Ruiz, I.; De Santiago, E.; Ordóñez-Díaz, J.L.; Pereira-Caro, G.; Moreno-Rojas, J.M. Effect of In Vitro Gastrointestinal Digestion and Colonic Fermentation on the Stability of Polyphenols in Pistachio (Pistacia vera L.). Int. J. Mol. Sci. 2023, 24, 4975. [Google Scholar] [CrossRef]
- Yanni, A.E.; Mitropoulou, G.; Prapa, I.; Agrogiannis, G.; Kostomitsopoulos, N.; Bezirtzoglou, E.; Kourkoutas, Y.; Karathanos, V.T. Functional Modulation of Gut Microbiota in Diabetic Rats Following Dietary Intervention with Pistachio Nuts (Pistacia vera L.). Metab. Open 2020, 7, 100040. [Google Scholar] [CrossRef]
- Terzo, S.; Mulè, F.; Caldara, G.F.; Baldassano, S.; Puleio, R.; Vitale, M.; Cassata, G.; Ferrantelli, V.; Amato, A. Pistachio Consumption Alleviates Inflammation and Improves Gut Microbiota Composition in Mice Fed a High-Fat Diet. Int. J. Mol. Sci. 2020, 21, 365. [Google Scholar] [CrossRef]
- Ukhanova, M.; Wang, X.; Baer, D.J.; Novotny, J.A.; Fredborg, M.; Mai, V. Effects of Almond and Pistachio Consumption on Gut Microbiota Composition in a Randomised Cross-over Human Feeding Study. Br. J. Nutr. 2014, 111, 2146–2152. [Google Scholar] [CrossRef]
- Sauder, K.A.; McCrea, C.E.; Ulbrecht, J.S.; Kris-Etherton, P.M.; West, S.G. Effects of Pistachios on the Lipid/Lipoprotein Profile, Glycemic Control, Inflammation, and Endothelial Function in Type 2 Diabetes: A Randomized Trial. Metabolism 2015, 64, 1521–1529. [Google Scholar] [CrossRef]
- Canudas, S.; Hernández-Alonso, P.; Galié, S.; Muralidharan, J.; Morell-Azanza, L.; Zalba, G.; García-Gavilán, J.; Martí, A.; Salas-Salvadó, J.; Bulló, M. Pistachio Consumption Modulates DNA Oxidation and Genes Related to Telomere Maintenance: A Crossover Randomized Clinical Trial. Am. J. Clin. Nutr. 2019, 109, 1738–1745. [Google Scholar] [CrossRef] [PubMed]
- Mitropoulou, G.; Nedovic, V.; Goyal, A.; Kourkoutas, Y. Immobilization Technologies in Probiotic Food Production. J. Nutr. Metab. 2013, 2013, 716861. [Google Scholar] [CrossRef] [PubMed]
- Prapa, I.; Nikolaou, A.; Panas, P.; Tassou, C.; Kourkoutas, Y. Developing Stable Freeze-Dried Functional Ingredients Containing Wild-Type Presumptive Probiotic Strains for Food Systems. Appl. Sci. 2023, 13, 630. [Google Scholar] [CrossRef]
- Nelios, G.; Prapa, I.; Nikolaou, A.; Mitropoulou, G.; Yanni, A.E.; Kostomitsopoulos, N.; Kourkoutas, Y. Cereals and Fruits as Effective Delivery Vehicles of Lacticaseibacillus rhamnosus through Gastrointestinal Transit. Appl. Sci. 2023, 13, 8643. [Google Scholar] [CrossRef]
- Kvakova, M.; Bertkova, I.; Stofilova, J.; Savidge, T.C. Co-Encapsulated Synbiotics and Immobilized Probiotics in Human Health and Gut Microbiota Modulation. Foods 2021, 10, 1297. [Google Scholar] [CrossRef]
- Somalou, P.; Ieronymaki, E.; Feidaki, K.; Prapa, I.; Stylianopoulou, E.; Spyridopoulou, K.; Skavdis, G.; Grigoriou, M.E.; Panas, P.; Argiriou, A.; et al. Novel Wild-Type Pediococcus and Lactiplantibacillus Strains as Probiotic Candidates to Manage Obesity-Associated Insulin Resistance. Microorganisms 2024, 12, 231. [Google Scholar] [CrossRef]
- Binda, S.; Hill, C.; Johansen, E.; Obis, D.; Pot, B.; Sanders, M.E.; Tremblay, A.; Ouwehand, A.C. Criteria to Qualify Microorganisms as “Probiotic” in Foods and Dietary Supplements. Front. Microbiol. 2020, 11, 1662. [Google Scholar] [CrossRef]
- Kompoura, V.; Prapa, I.; Vasilakopoulou, P.B.; Mitropoulou, G.; Nelios, G.; Balafas, E.; Kostomitsopoulos, N.; Chiou, A.; Karathanos, V.T.; Bezirtzoglou, E.; et al. Corinthian Currants Supplementation Restores Serum Polar Phenolic Compounds, Reduces IL-1beta, and Exerts Beneficial Effects on Gut Microbiota in the Streptozotocin-Induced Type-1 Diabetic Rat. Metabolites 2023, 13, 415. [Google Scholar] [CrossRef]
- Gvazava, I.G.; Rogovaya, O.S.; Borisov, M.A.; Vorotelyak, E.A.; Vasiliev, A.V. Pathogenesis of Type 1 Diabetes Mellitus and Rodent Experimental Models. Acta Naturae 2018, 10, 24–33. [Google Scholar] [CrossRef]
- Prapa, I.; Yanni, A.E.; Nikolaou, A.; Kostomitsopoulos, N.; Kalogeropoulos, N.; Bezirtzoglou, E.; Karathanos, V.T.; Kourkoutas, Y. Dietary Pistachio (Pistacia vera L.) Beneficially Alters Fatty Acid Profiles in Streptozotocin-Induced Diabetic Rat. Appl. Sci. 2022, 12, 4606. [Google Scholar] [CrossRef]
- Wang, G.; Li, X.; Zhao, J.; Zhang, H.; Chen, W. Lactobacillus casei CCFM419 Attenuates Type 2 Diabetes via a Gut Microbiota Dependent Mechanism. Food Funct. 2017, 8, 3155–3164. [Google Scholar] [CrossRef] [PubMed]
- Winsley, T.; van Dorst, J.M.; Brown, M.V.; Ferrari, B.C. Capturing Greater 16S rRNA Gene Sequence Diversity within the Domain Bacteria. Appl. Environ. Microbiol. 2012, 78, 5938–5941. [Google Scholar] [CrossRef] [PubMed]
- Posit. Available online: http://www.rstudio.com/ (accessed on 13 December 2023).
- Lagkouvardos, I.; Fischer, S.; Kumar, N.; Clavel, T. Rhea: A Transparent and Modular R Pipeline for Microbial Profiling Based on 16S rRNA Gene Amplicons. PeerJ 2017, 5, e2836. [Google Scholar] [CrossRef] [PubMed]
- Huda-Faujan, N.; Abdulamir, A.S.; Fatimah, A.B.; Anas, O.M.; Shuhaimi, M.; Yazid, A.M.; Loong, Y.Y. The Impact of the Level of the Intestinal Short Chain Fatty Acids in Inflammatory Bowel Disease Patients versus Healthy Subjects. Open Biochem. J. 2010, 4, 53–58. [Google Scholar] [CrossRef]
- Wang, C.-H.; Yen, H.-R.; Lu, W.-L.; Ho, H.-H.; Lin, W.-Y.; Kuo, Y.-W.; Huang, Y.-Y.; Tsai, S.-Y.; Lin, H.-C. Adjuvant Probiotics of Lactobacillus salivarius subsp. salicinius AP-32, L. johnsonii MH-68, and Bifidobacterium animalis subsp. lactis CP-9 Attenuate Glycemic Levels and Inflammatory Cytokines in Patients with Type 1 Diabetes Mellitus. Front. Endocrinol. 2022, 13, 754401. [Google Scholar] [CrossRef]
- Hunter, P.M.; Hegele, R.A. Functional Foods and Dietary Supplements for the Management of Dyslipidaemia. Nat. Rev. Endocrinol. 2017, 13, 278–288. [Google Scholar] [CrossRef]
- Hill, C.; Guarner, F.; Reid, G.; Gibson, G.R.; Merenstein, D.J.; Pot, B.; Morelli, L.; Canani, R.B.; Flint, H.J.; Salminen, S.; et al. The International Scientific Association for Probiotics and Prebiotics Consensus Statement on the Scope and Appropriate Use of the Term Probiotic. Nat. Rev. Gastroenterol. Hepatol. 2014, 11, 506–514. [Google Scholar] [CrossRef]
- Taverniti, V.; Cesari, V.; Gargari, G.; Rossi, U.; Biddau, C.; Lecchi, C.; Fiore, W.; Arioli, S.; Toschi, I.; Guglielmetti, S. Probiotics Modulate Mouse Gut Microbiota and Influence Intestinal Immune and Serotonergic Gene Expression in a Site-Specific Fashion. Front. Microbiol. 2021, 12, 706135. [Google Scholar] [CrossRef]
- Latif, A.; Shehzad, A.; Niazi, S.; Zahid, A.; Ashraf, W.; Iqbal, M.W.; Rehman, A.; Riaz, T.; Aadil, R.M.; Khan, I.M.; et al. Probiotics: Mechanism of Action, Health Benefits and Their Application in Food Industries. Front. Microbiol. 2023, 14, 1216674. [Google Scholar] [CrossRef]
- Reissig Soares Vitola, H.; da Silva Dannenberg, G.; de Lima Marques, J.; Völz Lopes, G.; Padilha da Silva, W.; Fiorentini, Â.M. Probiotic Potential of Lactobacillus casei CSL3 Isolated from Bovine Colostrum Silage and Its Viability Capacity Immobilized in Soybean. Process. Biochem. 2018, 75, 22–30. [Google Scholar] [CrossRef]
- Marques, T.M.; Patterson, E.; Wall, R.; O’Sullivan, O.; Fitzgerald, G.F.; Cotter, P.D.; Dinan, T.G.; Cryan, J.F.; Ross, R.P.; Stanton, C. Influence of GABA and GABA-Producing Lactobacillus brevis DPC 6108 on the Development of Diabetes in a Streptozotocin Rat Model. Benef. Microbes 2016, 7, 409–420. [Google Scholar] [CrossRef] [PubMed]
- Nopparat, J.; Khuituan, P.; Peerakietkhajorn, S.; Teanpaisan, R. Probiotics of Lacticaseibacillus paracasei SD1 and Lacticaseibacillus rhamnosus SD11 Attenuate Inflammation and β-Cell Death in Streptozotocin-Induced Type 1 Diabetic Mice. PLoS ONE 2023, 18, e0284303. [Google Scholar] [CrossRef] [PubMed]
- Zhang, Q.; Guo, W.-L.; Chen, G.-M.; Qian, M.; Han, J.-Z.; Lv, X.-C.; Chen, L.-J.; Rao, P.-F.; Ai, L.-Z.; Ni, L. Pediococcus acidilactici FZU106 Alleviates High-Fat Diet-Induced Lipid Metabolism Disorder in Association with the Modulation of Intestinal Microbiota in Hyperlipidemic Rats. Curr. Res. Food Sci. 2022, 5, 775–788. [Google Scholar] [CrossRef]
- Kumar, M.; Nagpal, R.; Kumar, R.; Hemalatha, R.; Verma, V.; Kumar, A.; Chakraborty, C.; Singh, B.; Marotta, F.; Jain, S.; et al. Cholesterol-Lowering Probiotics as Potential Biotherapeutics for Metabolic Diseases. Exp. Diabetes Res. 2012, 2012, 902917. [Google Scholar] [CrossRef]
- Pintarič, M.; Langerholc, T. Probiotic Mechanisms Affecting Glucose Homeostasis: A Scoping Review. Life 2022, 12, 1187. [Google Scholar] [CrossRef]
- Vinderola, G.; Gueimonde, M.; Gomez-Gallego, C.; Delfederico, L.; Salminen, S. Correlation between in vitro and in vivo Assays in Selection of Probiotics from Traditional Species of Bacteria. Trends Food Sci. Technol. 2017, 68, 83–90. [Google Scholar] [CrossRef]
- Sariyanti, M.; Putri, S.R.; Sari, T.P.; Fitkarani, O.L.; Sinuhaji, B.; Massardi, N.A.; Lestari, N.; Yunita, E.; Dita, D.A.A. Administration of Lactobacillus Acidophilus FNCC 0051 in Rattus Norvegicus with Type-1 Diabetes Mellitus: Glucose and Lipid Metabolism. In Proceedings of the 1st International Conference for Health Research—BRIN (ICHR 2022), Jakarta, Indonesia, 23–24 November 2022; Atlantis Press International BV: Dordrecht, The Netherlands, 2023; p. 82, ISBN 9789464631111. [Google Scholar]
- Abdelazez, A.; Abdelmotaal, H.; Evivie, S.E.; Melak, S.; Jia, F.-F.; Khoso, M.H.; Zhu, Z.-T.; Zhang, L.-J.; Sami, R.; Meng, X.-C. Screening Potential Probiotic Characteristics of Lactobacillus brevis Strains In Vitro and Intervention Effect on Type I Diabetes In Vivo. BioMed Res. Int. 2018, 2018, 7356173. [Google Scholar] [CrossRef]
- Li, H.; Cao, Y. Lactic Acid Bacterial Cell Factories for Gamma-Aminobutyric Acid. Amino Acids 2010, 39, 1107–1116. [Google Scholar] [CrossRef]
- Ahola, A.J.; Harjutsalo, V.; Forsblom, C.; Freese, R.; Makimattila, S.; Groop, P.H. The Self-Reported Use of Probiotics Is Associated with Better Glycaemic Control and Lower Odds of Metabolic Syndrome and Its Components in Type 1 Diabetes. J. Probiotics Health 2017, 5, 1000188. [Google Scholar] [CrossRef]
- Ahmed, M.O.; Byrne, R.E.; Pazderska, A.; Segurado, R.; Guo, W.; Gunness, A.; Frizelle, I.; Sherlock, M.; Ahmed, K.S.; McGowan, A.; et al. HDL Particle Size Is Increased and HDL-Cholesterol Efflux Is Enhanced in Type 1 Diabetes: A Cross-Sectional Study. Diabetologia 2021, 64, 656–667. [Google Scholar] [CrossRef]
- Bakour, M.; El Menyiy, N.; El Ghouizi, A.; Lyoussi, B. Hypoglycemic, Hypolipidemic and Hepato-Protective Effect of Bee Bread in Streptozotocin-Induced Diabetic Rats. Avicenna J. Phytomed. 2021, 11, 343–352. [Google Scholar] [CrossRef] [PubMed]
- Hirano, T. Pathophysiology of Diabetic Dyslipidemia. J. Atheroscler. Thromb. 2018, 25, 771–782. [Google Scholar] [CrossRef] [PubMed]
- Reis, S.A.; Conceição, L.; Rosa, D.D.; Siqueira, N.P.; Peluzio, M.C.G. Mechanisms Responsible for the Hypocholesterolaemic Effect of Regular Consumption of Probiotics. Nutr. Res. Rev. 2017, 30, 36–49. [Google Scholar] [CrossRef] [PubMed]
- Kaza, M.; Tsentidis, C.; Vlachopapadopoulou, E.; Karanasios, S.; Sakou, I.-I.; Mastorakos, G.; Karavanaki, K. The Role of Exercise on Cardiometabolic Profile and Body Composition in Youth with Type 1 Diabetes. Children 2022, 9, 1840. [Google Scholar] [CrossRef]
- Davidson, W.S.; Shah, A.S.; Sexmith, H.; Gordon, S.M. The HDL Proteome Watch: Compilation of Studies Leads to New Insights on HDL Function. Biochim. Biophys. Acta Mol. Cell Biol. Lipids 2022, 1867, 159072. [Google Scholar] [CrossRef]
- Shao, B.; Snell-Bergeon, J.K.; Pyle, L.L.; Thomas, K.E.; de Boer, I.H.; Kothari, V.; Segrest, J.; Davidson, W.S.; Bornfeldt, K.E.; Heinecke, J.W. Pulmonary Surfactant Protein B Carried by HDL Predicts Incident CVD in Patients with Type 1 Diabetes. J. Lipid Res. 2022, 63, 100196. [Google Scholar] [CrossRef]
- Tsalamandris, S.; Antonopoulos, A.S.; Oikonomou, E.; Papamikroulis, G.-A.; Vogiatzi, G.; Papaioannou, S.; Deftereos, S.; Tousoulis, D. The Role of Inflammation in Diabetes: Current Concepts and Future Perspectives. Eur. Cardiol. Rev. 2019, 14, 50–59. [Google Scholar] [CrossRef]
- Glund, S.; Krook, A. Role of Interleukin-6 Signalling in Glucose and Lipid Metabolism: IL-6 and Glucose and Lipid Metabolism. Acta Physiol. 2008, 192, 37–48. [Google Scholar] [CrossRef]
- Schulze, F.; Wehner, J.; Kratschmar, D.V.; Makshana, V.; Meier, D.T.; Häuselmann, S.P.; Dalmas, E.; Thienel, C.; Dror, E.; Wiedemann, S.J.; et al. Inhibition of IL-1beta Improves Glycaemia in a Mouse Model for Gestational Diabetes. Sci. Rep. 2020, 10, 3035. [Google Scholar] [CrossRef]
- Leiva-Gea, I.; Sánchez-Alcoholado, L.; Martín-Tejedor, B.; Castellano-Castillo, D.; Moreno-Indias, I.; Urda-Cardona, A.; Tinahones, F.J.; Fernández-García, J.C.; Queipo-Ortuño, M.I. Gut Microbiota Differs in Composition and Functionality between Children with Type 1 Diabetes and MODY2 and Healthy Control Subjects: A Case-Control Study. Diabetes Care 2018, 41, 2385–2395. [Google Scholar] [CrossRef]
- Cano-Cano, F.; Gómez-Jaramillo, L.; Ramos-García, P.; Arroba, A.I.; Aguilar-Diosdado, M. IL-1β Implications in Type 1 Diabetes Mellitus Progression: Systematic Review and Meta-Analysis. J. Clin. Med. 2022, 11, 1303. [Google Scholar] [CrossRef] [PubMed]
- Williams, K.L.; Enslow, R.; Suresh, S.; Beaton, C.; Hodge, M.; Brooks, A.E. Using the Microbiome as a Regenerative Medicine Strategy for Autoimmune Diseases. Biomedicines 2023, 11, 1582. [Google Scholar] [CrossRef] [PubMed]
- Dolpady, J.; Sorini, C.; Di Pietro, C.; Cosorich, I.; Ferrarese, R.; Saita, D.; Clementi, M.; Canducci, F.; Falcone, M. Oral Probiotic VSL#3 Prevents Autoimmune Diabetes by Modulating Microbiota and Promoting Indoleamine 2,3-Dioxygenase-Enriched Tolerogenic Intestinal Environment. J. Diabetes Res. 2016, 2016, 7569431. [Google Scholar] [CrossRef]
- Yuan, X.; Wang, R.; Han, B.; Sun, C.; Chen, R.; Wei, H.; Chen, L.; Du, H.; Li, G.; Yang, Y.; et al. Functional and Metabolic Alterations of Gut Microbiota in Children with New-Onset Type 1 Diabetes. Nat. Commun. 2022, 13, 6356. [Google Scholar] [CrossRef]
- Liu, Y.; Wang, J.; Wu, C. Modulation of Gut Microbiota and Immune System by Probiotics, Pre-Biotics, and Post-Biotics. Front. Nutr. 2022, 8, 634897. [Google Scholar] [CrossRef]
- Prabhurajeshwar, C.; Chandrakanth, R.K. Probiotic Potential of Lactobacilli with Antagonistic Activity against Pathogenic Strains: An in vitro Validation for the Production of Inhibitory Substances. Biomed. J. 2017, 40, 270–283. [Google Scholar] [CrossRef]
- Sherman, P.M.; Ossa, J.C.; Johnson-Henry, K. Unraveling Mechanisms of Action of Probiotics. Nutr. Clin. Pract. 2009, 24, 10–14. [Google Scholar] [CrossRef]
- Singh, S.; Sharma, R.K.; Malhotra, S.; Pothuraju, R.; Shandilya, U.K. Lactobacillus rhamnosus NCDC17 ameliorates type-2 diabetes by improving gut function, oxidative stress and inflammation in high-fat-diet fed and streptozotocin treated rats. Benef. Microbes 2017, 8, 243–255. [Google Scholar] [CrossRef]
- Jensen, B.A.H.; Heyndrickx, M.; Jonkers, D.; Mackie, A.; Millet, S.; Naghibi, M.; Pærregaard, S.I.; Pot, B.; Saulnier, D.; Sina, C.; et al. Small Intestine vs. Colon Ecology and Physiology: Why It Matters in Probiotic Administration. Cell Rep. Med. 2023, 4, 101190. [Google Scholar] [CrossRef]
- Fan, Y.; Pedersen, O. Gut Microbiota in Human Metabolic Health and Disease. Nat. Rev. Microbiol. 2021, 19, 55–71. [Google Scholar] [CrossRef]
- Ma, Q.; Li, Y.; Wang, J.; Li, P.; Duan, Y.; Dai, H.; An, Y.; Cheng, L.; Wang, T.; Wang, C.; et al. Investigation of Gut Microbiome Changes in Type 1 Diabetic Mellitus Rats Based on High-Throughput Sequencing. Biomed. Pharmacother. 2020, 124, 109873. [Google Scholar] [CrossRef] [PubMed]
- Brown, C.T.; Davis-Richardson, A.G.; Giongo, A.; Gano, K.A.; Crabb, D.B.; Mukherjee, N.; Casella, G.; Drew, J.C.; Ilonen, J.; Knip, M.; et al. Gut Microbiome Metagenomics Analysis Suggests a Functional Model for the Development of Autoimmunity for Type 1 Diabetes. PLoS ONE 2011, 6, e25792. [Google Scholar] [CrossRef] [PubMed]
- Murri, M.; Leiva, I.; Gomez-Zumaquero, J.M.; Tinahones, F.J.; Cardona, F.; Soriguer, F.; Queipo-Ortuño, M.I. Gut Microbiota in Children with Type 1 Diabetes Differs from That in Healthy Children: A Case-Control Study. BMC Med. 2013, 11, 46. [Google Scholar] [CrossRef] [PubMed]
- Nagpal, R.; Wang, S.; Solberg Woods, L.C.; Seshie, O.; Chung, S.T.; Shively, C.A.; Register, T.C.; Craft, S.; McClain, D.A.; Yadav, H. Comparative Microbiome Signatures and Short-Chain Fatty Acids in Mouse, Rat, Non-Human Primate, and Human Feces. Front. Microbiol. 2018, 9, 2897. [Google Scholar] [CrossRef]
- Čoklo, M.; Maslov, D.R.; Pavelić, S.K. Modulation of Gut Microbiota in Healthy Rats after Exposure to Nutritional Supplements. Gut Microbes 2020, 12, 1779002. [Google Scholar] [CrossRef]
- Stojanov, S.; Berlec, A.; Štrukelj, B. The Influence of Probiotics on the Firmicutes/Bacteroidetes Ratio in the Treatment of Obesity and Inflammatory Bowel Disease. Microorganisms 2020, 8, 1715. [Google Scholar] [CrossRef]
- Crudele, L.; Gadaleta, R.M.; Cariello, M.; Moschetta, A. Gut Microbiota in the Pathogenesis and Therapeutic Approaches of Diabetes. EBioMedicine 2023, 97, 104821. [Google Scholar] [CrossRef]
- van Zanten, G.C.; Knudsen, A.; Röytiö, H.; Forssten, S.; Lawther, M.; Blennow, A.; Lahtinen, S.J.; Jakobsen, M.; Svensson, B.; Jespersen, L. The Effect of Selected Synbiotics on Microbial Composition and Short-Chain Fatty Acid Production in a Model System of the Human Colon. PLoS ONE 2012, 7, e47212. [Google Scholar] [CrossRef]
- Hussain, A.; Kwon, M.H.; Kim, H.K.; Lee, H.S.; Cho, J.S.; Lee, Y.I. Anti-Obesity Effect of Lactobacillus plantarum LB818 Is Associated with Regulation of Gut Microbiota in High-Fat Diet-Fed Obese Mice. J. Med. Food 2020, 23, 750–759. [Google Scholar] [CrossRef]
- Canaviri-Paz, P.; Oscarsson, E.; Kjellström, A.; Olsson, H.; Jois, C.; Håkansson, Å. Effects on Microbiota Composition after Consumption of Quinoa Beverage Fermented by a Novel Xylose-Metabolizing L. plantarum Strain. Nutrients 2021, 13, 3318. [Google Scholar] [CrossRef]
- Hang, S.; Zeng, L.; Han, J.; Zhang, Z.; Zhou, Q.; Meng, X.; Gu, Q.; Li, P. Lactobacillus plantarum ZJ316 Improves the Quality of Stachys Sieboldii Miq. Pickle by Inhibiting Harmful Bacteria Growth, Degrading Nitrite and Promoting the Gut Microbiota Health in vitro. Food Funct. 2022, 13, 1551–1562. [Google Scholar] [CrossRef] [PubMed]
- Bomhof, M.R.; Saha, D.C.; Reid, D.T.; Paul, H.A.; Reimer, R.A. Combined Effects of Oligofructose and Bifidobacterium Animalis on Gut Microbiota and Glycemia in Obese Rats. Obesity 2014, 22, 763–771. [Google Scholar] [CrossRef] [PubMed]
- Rastogi, S.; Singh, A. Gut Microbiome and Human Health: Exploring How the Probiotic Genus Lactobacillus Modulate Immune Responses. Front. Pharmacol. 2022, 13, 1042189. [Google Scholar] [CrossRef] [PubMed]
- Ricaboni, D.; Mailhe, M.; Khelaifia, S.; Raoult, D.; Million, M. Romboutsia timonensis, a New Species Isolated from Human Gut. N. Microbes N. Infect. 2016, 12, 6–7. [Google Scholar] [CrossRef]
- Mangifesta, M.; Mancabelli, L.; Milani, C.; Gaiani, F.; de’Angelis, N.; de’Angelis, G.L.; van Sinderen, D.; Ventura, M.; Turroni, F. Mucosal Microbiota of Intestinal Polyps Reveals Putative Biomarkers of Colorectal Cancer. Sci. Rep. 2018, 8, 13974. [Google Scholar] [CrossRef]
- Chen, Z.; Radjabzadeh, D.; Chen, L.; Kurilshikov, A.; Kavousi, M.; Ahmadizar, F.; Ikram, M.A.; Uitterlinden, A.G.; Zhernakova, A.; Fu, J.; et al. Association of Insulin Resistance and Type 2 Diabetes with Gut Microbial Diversity: A Microbiome-Wide Analysis from Population Studies: A Microbiome-Wide Analysis from Population Studies. JAMA Netw. Open 2021, 4, e2118811. [Google Scholar] [CrossRef]
- Li, H.; Liu, F.; Lu, J.; Shi, J.; Guan, J.; Yan, F.; Li, B.; Huo, G. Probiotic Mixture of Lactobacillus plantarum Strains Improves Lipid Metabolism and Gut Microbiota Structure in High Fat Diet-Fed Mice. Front. Microbiol. 2020, 11, 512. [Google Scholar] [CrossRef]
- Kameyama, K.; Itoh, K. Intestinal Colonization by a Lachnospiraceae bacterium Contributes to the Development of Diabetes in Obese Mice. Microbes Environ. 2014, 29, 427–430. [Google Scholar] [CrossRef]
- Nagpal, R.; Wang, S.; Ahmadi, S.; Hayes, J.; Gagliano, J.; Subashchandrabose, S.; Kitzman, D.W.; Becton, T.; Read, R.; Yadav, H. Human-Origin Probiotic Cocktail Increases Short-Chain Fatty Acid Production via Modulation of Mice and Human Gut Microbiome. Sci. Rep. 2018, 8, 12649. [Google Scholar] [CrossRef]
- Song, E.-J.; Lee, E.-S.; Kim, Y.I.; Shin, D.-U.; Eom, J.-E.; Shin, H.S.; Lee, S.-Y.; Nam, Y.-D. Gut Microbial Change after Administration of Lacticaseibacillus Paracasei AO356 Is Associated with Anti-Obesity in a Mouse Model. Front. Endocrinol. 2023, 14, 1224636. [Google Scholar] [CrossRef]
- Yang, J.; Li, Y.; Wen, Z.; Liu, W.; Meng, L.; Huang, H. Oscillospira—A Candidate for the next-Generation Probiotics. Gut Microbes 2021, 13, 1987783. [Google Scholar] [CrossRef] [PubMed]
- de Groot, P.F.; Belzer, C.; Aydin, Ö.; Levin, E.; Levels, J.H.; Aalvink, S.; Boot, F.; Holleman, F.; van Raalte, D.H.; Scheithauer, T.P.; et al. Distinct Fecal and Oral Microbiota Composition in Human Type 1 Diabetes, an Observational Study. PLoS ONE 2017, 12, e0188475. [Google Scholar] [CrossRef] [PubMed]
- Biassoni, R.; Di Marco, E.; Squillario, M.; Barla, A.; Piccolo, G.; Ugolotti, E.; Gatti, C.; Minuto, N.; Patti, G.; Maghnie, M.; et al. Gut Microbiota in T1DM-Onset Pediatric Patients: Machine-Learning Algorithms to Classify Microorganisms as Disease Linked. J. Clin. Endocrinol. Metab. 2020, 105, e3114–e3126. [Google Scholar] [CrossRef]
- Vatanen, T.; Franzosa, E.A.; Schwager, R.; Tripathi, S.; Arthur, T.D.; Vehik, K.; Lernmark, Å.; Hagopian, W.A.; Rewers, M.J.; She, J.-X.; et al. The Human Gut Microbiome in Early-Onset Type 1 Diabetes from the TEDDY Study. Nature 2018, 562, 589–594. [Google Scholar] [CrossRef]
- Bibbò, S.; Dore, M.P.; Pes, G.M.; Delitala, G.; Delitala, A.P. Is There a Role for Gut Microbiota in Type 1 Diabetes Pathogenesis? Ann. Med. 2017, 49, 11–22. [Google Scholar] [CrossRef]
- Gulnaz, A.; Nadeem, J.; Han, J.-H.; Lew, L.-C.; Son, J.-D.; Park, Y.-H.; Rather, I.A.; Hor, Y.-Y. Lactobacillus Sps in Reducing the Risk of Diabetes in High-Fat Diet-Induced Diabetic Mice by Modulating the Gut Microbiome and Inhibiting Key Digestive Enzymes Associated with Diabetes. Biology 2021, 10, 348. [Google Scholar] [CrossRef]
- Hidalgo-Cantabrana, C.; Delgado, S.; Ruiz, L.; Ruas-Madiedo, P.; Sánchez, B.; Margolles, A. Bifidobacteria and Their Health-Promoting Effects. Microbiol. Spectr. 2017, 5, 73–98. [Google Scholar] [CrossRef]
- Fukuda, S.; Toh, H.; Hase, K.; Oshima, K.; Nakanishi, Y.; Yoshimura, K.; Tobe, T.; Clarke, J.M.; Topping, D.L.; Suzuki, T.; et al. Bifidobacteria Can Protect from Enteropathogenic Infection through Production of Acetate. Nature 2011, 469, 543–547. [Google Scholar] [CrossRef]
- Moroni, O.; Kheadr, E.; Boutin, Y.; Lacroix, C.; Fliss, I. Inactivation of Adhesion and Invasion of Food-Borne Listeria monocytogenes by Bacteriocin-Producing Bifidobacterium Strains of Human Origin. Appl. Environ. Microbiol. 2006, 72, 6894–6901. [Google Scholar] [CrossRef]
- Gromova, L.V.; Ermolenko, E.I.; Sepp, A.L.; Dmitrieva, Y.V.; Alekseeva, A.S.; Lavrenova, N.S.; Kotyleva, M.P.; Kramskaya, T.A.; Karaseva, A.B.; Suvorov, A.N.; et al. Gut Digestive Function and Microbiome after Correction of Experimental Dysbiosis in Rats by Indigenous Bifidobacteria. Microorganisms 2021, 9, 522. [Google Scholar] [CrossRef]
- Wang, Y.; Wu, Y.; Sailike, J.; Sun, X.; Abuduwaili, N.; Tuoliuhan, H.; Yusufu, M.; Nabi, X.-H. Fourteen Composite Probiotics Alleviate Type 2 Diabetes through Modulating Gut Microbiota and Modifying M1/M2 Phenotype Macrophage in Db/Db Mice. Pharmacol. Res. 2020, 161, 105150. [Google Scholar] [CrossRef] [PubMed]
- Hou, Q.; Zhao, F.; Liu, W.; Lv, R.; Khine, W.W.T.; Han, J.; Sun, Z.; Lee, Y.-K.; Zhang, H. Probiotic-Directed Modulation of Gut Microbiota Is Basal Microbiome Dependent. Gut Microbes 2020, 12, 1736974. [Google Scholar] [CrossRef]
- Yousefi, B.; Eslami, M.; Ghasemian, A.; Kokhaei, P.; Salek Farrokhi, A.; Darabi, N. Probiotics Importance and Their Immunomodulatory Properties. J. Cell. Physiol. 2019, 234, 8008–8018. [Google Scholar] [CrossRef]
- Kumar, M.; Kissoon-Singh, V.; Coria, A.L.; Moreau, F.; Chadee, K. Probiotic Mixture VSL#3 Reduces Colonic Inflammation and Improves Intestinal Barrier Function in Muc2 Mucin-Deficient Mice. Am. J. Physiol. Gastrointest. Liver Physiol. 2017, 312, G34–G45. [Google Scholar] [CrossRef]
- Nishitsuji, K.; Xiao, J.; Nagatomo, R.; Umemoto, H.; Morimoto, Y.; Akatsu, H.; Inoue, K.; Tsuneyama, K. Analysis of the Gut Microbiome and Plasma Short-Chain Fatty Acid Profiles in a Spontaneous Mouse Model of Metabolic Syndrome. Sci. Rep. 2017, 7, 15876. [Google Scholar] [CrossRef]
- Barcelo, A.; Claustre, J.; Moro, F.; Chayvialle, J.-A.; Cuber, J.-C.; Plaisancié, P. Mucin Secretion Is Modulated by Luminal Factors in the Isolated Vascularly Perfused Rat Colon. Gut 2000, 46, 218–224. [Google Scholar] [CrossRef]
- Shimotoyodome, A.; Meguro, S.; Hase, T.; Tokimitsu, I.; Sakata, T. Short Chain Fatty Acids but Not Lactate or Succinate Stimulate Mucus Release in the Rat Colon. Comp. Biochem. Physiol. Part A Mol. Integr. Physiol. 2000, 125, 525–531. [Google Scholar] [CrossRef]
- Burger-van Paassen, N.; Vincent, A.; Puiman, P.J.; van der Sluis, M.; Bouma, J.; Boehm, G.; van Goudoever, J.B.; van Seuningen, I.; Renes, I.B. The Regulation of Intestinal Mucin MUC2 Expression by Short-Chain Fatty Acids: Implications for Epithelial Protection. Biochem. J. 2009, 420, 211–219. [Google Scholar] [CrossRef]
- Song, W.-B.; Lv, Y.-H.; Zhang, Z.-S.; Li, Y.-N.; Xiao, L.-P.; Yu, X.-P.; Wang, Y.-Y.; Ji, H.-L.; Ma, L. Soluble Intercellular Adhesion Molecule-1, D-Lactate and Diamine Oxidase in Patients with Inflammatory Bowel Disease. World J. Gastroenterol. 2009, 15, 3916. [Google Scholar] [CrossRef]
- Patterson, E.; Marques, T.M.; O’Sullivan, O.; Fitzgerald, P.; Fitzgerald, G.F.; Cotter, P.D.; Dinan, T.G.; Cryan, J.F.; Stanton, C.; Ross, R.P. Streptozotocin-Induced Type-1-Diabetes Disease Onset in Sprague-Dawley Rats Is Associated with an Altered Intestinal Microbiota Composition and Decreased Diversity. Microbiology 2015, 161, 182–193. [Google Scholar] [CrossRef]
- Mishra, S.; Wang, S.; Nagpal, R.; Miller, B.; Singh, R.; Taraphder, S.; Yadav, H. Probiotics and Prebiotics for the Amelioration of Type 1 Diabetes: Present and Future Perspectives. Microorganisms 2019, 7, 67. [Google Scholar] [CrossRef] [PubMed]
- Olnood, C.G.; Beski, S.S.M.; Choct, M.; Iji, P.A. Novel Probiotics: Their Effects on Growth Performance, Gut Development, Microbial Community and Activity of Broiler Chickens. Anim. Nutr. 2015, 1, 184–191. [Google Scholar] [CrossRef] [PubMed]
- Markowiak-Kopeć, P.; Śliżewska, K. The Effect of Probiotics on the Production of Short-Chain Fatty Acids by Human Intestinal Microbiome. Nutrients 2020, 12, 1107. [Google Scholar] [CrossRef] [PubMed]
- Moravejolahkami, A.R.; Shakibaei, M.; Fairley, A.M.; Sharma, M. Probiotics, Prebiotics, and Synbiotics in Type 1 Diabetes Mellitus: A Systematic Review and Meta-Analysis of Clinical Trials. Diabetes Metab. Res. Rev. 2024, 40, e3655. [Google Scholar] [CrossRef] [PubMed]




| Parameter | HIP | HFP | DIP | DFP | ||||
|---|---|---|---|---|---|---|---|---|
| Baseline | 4th Week | Baseline | 4th Week | Baseline | 4th Week | Baseline | 4th Week | |
| Body weight (g) | 422.2 ± 14.0 | 450.7 ± 11.8 | 396.6 ± 9.4 | 434.1 ± 8.4 | 381.3 ± 14.6 | 302.7 ± 10.3 a,b,c | 402.1 ± 11.9 | 334.6 ± 10.3 a,b,c |
| Glucose (mg/dL) | 125 ± 6 | 133 ± 5 | 100 ± 6 | 123 ± 10 | 361 ± 3 b,c | 407 ± 14 b,c | 325 ± 23 b,c | 393 ± 30 b,c |
| Insulin (ng/mL) | 5.1 ± 0.5 | 5.8 ± 0.6 | 4.7 ± 0.5 | 4.6 ± 0.8 | 1.3 ± 0.1 b,c | 1.4 ± 0.2 b,c | 1.2 ± 0.1 b,c | 1.7 ± 0.1 b,c |
| TC (mg/dL) | 116 ± 7 | 123 ± 8 | 102 ± 4 | 110 ± 5 | 89 ± 9 | 96 ± 6 | 89 ± 9 | 107 ± 5 |
| TAG (mg/dL) | 155 ± 21 | 150 ± 14 | 87 ± 4 | 91 ± 5 | 176 ± 19 | 121 ± 35 | 161 ± 42 | 139 ± 17 |
| HDL-c (mg/dL) | 94 ± 4 | 95 ± 6 | 96 ± 8 | 100 ± 8 | 52 ± 3, c | 78 ± 4 a | 57 ± 5 b,c | 87 ± 4 a |
| LDL-c (mg/dL) | 21 ± 3 | 19 ± 2 | 26 ± 3 | 29 ± 3 | 13 ± 4 | 13 ± 2 | 12 ± 4 | 16 ± 2 |
| Group | TNF-a (pg/mL) | IL-1β (pg/mL) | IL-6 (pg/mL) |
|---|---|---|---|
| HIP | 26.9 ± 2.6 | 26.3 ± 2.6 | 15.6 ± 1.7 |
| HFP | 26.4 ± 2.0 | 24.4 ± 8.0 | 14.0 ± 1.4 |
| DIP | 24.3 ± 3.2 | 57.6 ± 1.0 a,b,c | 14.5 ± 1.1 |
| DFP | 23.0 ± 0.7 | 67.9 ± 4.8 a,b | 16.0 ± 1.4 |
| HIP | HFP | DIP | DFP | |||||
|---|---|---|---|---|---|---|---|---|
| Baseline | 4th Week | Baseline | 4th Week | Baseline | 4th Week | Baseline | 4th Week | |
| TAC | 7.70 ± 0.07 | 7.74 ± 0.13 | 7.92 ± 0.15 | 8.24 ± 0.12 | 8.25 ± 0.16 | 8.14 ± 0.13 | 8.12 ± 0.11 | 8.15 ± 0.04 |
| Enterobacteriacae | 4.37 ± 0.14 | 4.53 ± 0.10 | 4.58 ± 0.26 | 5.04 ± 0.14 | 6.00 ± 0.12 b,c | 5.89 ± 0.14 b,c | 5.70 ± 0.11 b,c | 5.36 ± 0.17 c |
| coliforms | 4.39 ± 0.15 | 4.78 ± 0.17 | 4.58 ± 0.23 | 4.99 ± 0.11 | 5.91 ± 0.16 b,c | 5.88 ± 0.14 b,c | 5.61 ± 0.08 b,c | 5.31 ± 0.19 |
| E. coli | 4.09 ± 0.16 | 4.34 ± 0.11 | 4.63 ± 0.19 | 4.94 ± 0.10 | 5.68 ± 0.10 b,c | 5.49 ± 0.12 b,c | 5.61 ± 0.10 b,c | 5.54 ± 0.11 c |
| staphylococci | 6.12 ± 0.13 | 5.18 ± 0.12 a | 6.13 ± 0.14 | 6.28 ± 0.13 b | 6.55 ± 0.12 | 5.71 ± 0.20 a | 6.47 ± 0.15 | 5.77 ± 0.20 |
| enterococci | 5.97 ± 0.07 | 5.31 ± 0.07 a | 5.86 ± 0.13 | 5.77 ± 0.19 | 6.17 ± 0.14 | 5.57 ± 0.15 a | 5.88 ± 0.08 | 5.50 ± 0.08 |
| streptococci | 7.71 ± 0.13 | 7.69 ± 0.14 | 7.94 ± 0.13 | 7.96 ± 0.09 | 8.52 ± 0.09 b,c | 8.18 ± 0.09 | 8.44 ± 0.10 b,c | 7.95 ± 0.16 |
| LAB | 7.32 ± 0.10 | 8.49 ± 0.11 a | 7.13 ± 0.17 | 8.30 ± 0.15 a | 7.55 ± 0.14 | 8.65 ± 0.07 a | 7.56 ± 0.16 | 8.57 ± 0.06 a |
| bifidobacteria | 7.58 ± 0.12 | 8.49 ± 0.05 a | 7.82 ± 0.13 | 8.18 ± 0.07 | 8.19 ± 0.21 | 8.65 ± 0.24 | 8.19 ± 0.12 | 8.86 ± 0.11 c |
| Relative Abundance (%) | HIP | HFP | DIP | DFP | ||||
|---|---|---|---|---|---|---|---|---|
| Baseline | 4th Week | Baseline | 4th Week | Baseline | 4th Week | Baseline | 4th Week | |
| Actinobacteria | 0.0 ± 0.0 | 0.0 ± 0.0 | 0.1 ± 0.0 | 0.0 ± 0.0 | 3.1 ± 0.1 b,c | 4.5 ± 0.0 a,b,c,d | 2.9 ± 0.2 b,c | 2.7 ± 0.1 b,c |
| Bacteroidetes | 46.4 ± 0.9 | 24.8 ± 2.6 a | 42.4 ± 0.5 | 40.2 ± 0.7 b,d | 27.9 ± 4.7 | 18.4 ± 0.5 | 30.9 ± 1.0 | 26.1 ± 1.5 c |
| Firmicutes | 53.5 ± 1.0 | 75.0 ± 2.6 a | 57.4 ± 0.5 | 59.7 ± 0.6 b,d | 68.4 ± 5.3 | 77.0 ± 0.4 | 66.1 ± 1.0 | 70.6 ± 2.2 |
| Proteobacteria | 0.1 ± 0.1 | 0.2 ± 0.0 | 0.1 ± 0.0 | 0.1 ± 0.1 | 0.6 ± 0.6 | 0.1 ± 0.1 | 0.2 ± 0.2 | 0.6 ± 0.6 |
| Firmicutes/Bacteroidetes | 0.9 ± 0.0 | 2.1 ± 0.1 a | 1.4 ± 0.0 | 1.2 ± 0.2 | 1.6 ± 0.6 | 1.7 ± 0.7 | 1.2 ± 0.2 | 1.5 ± 0.0 |
| Concentration (μmol/g) | HIP | HFP | DIP | DFP | ||||
|---|---|---|---|---|---|---|---|---|
| Baseline | 4th Week | Baseline | 4th Week | Baseline | 4th Week | Baseline | 4th Week | |
| Lactic acid | 0.65 ± 0.08 | 0.59 ± 0.11 | 0.82 ± 0.05 | 0.70 ± 0.09 | 1.52 ± 0.09 b,c | 1.00 ± 0.11 a | 1.31 ± 0.09 b,c | 0.76 ± 0.08 a |
| Acetic acid | 6.91 ± 0.42 | 6.92 ± 0.53 | 6.89 ± 0.55 | 5.83 ± 0.88 | 9.74 ± 0.87 | 7.90 ± 0.71 | 9.41 ± 0.87 | 7.48 ± 0.64 |
| Propionic acid | 1.02 ± 0.18 | 1.17 ± 0.27 | 0.97 ± 0.11 | 0.89 ± 0.16 | 0.95 ± 0.15 | 0.94 ± 0.20 | 0.92 ± 0.10 | 0.96 ± 0.10 |
| Isobutyric acid | 0.05 ± 0.01 | 0.07 ± 0.01 | 0.09 ± 0.02 | 0.10 ± 0.02 | 0.07 ± 0.02 | 0.06 ± 0.01 | 0.04 ± 0.01 | 0.06 ± 0.01 |
| Butyric acid | 0.42 ± 0.02 | 0.85 ± 0.13 | 0.62 ± 0.07 | 0.92 ± 0.24 | 0.48 ± 0.06 | 0.53 ± 0.13 | 0.58 ± 0.03 | 0.74 ± 0.29 |
| Isovaleric acid | 0.03 ± 0.01 | 0.05 ± 0.01 | 0.05 ± 0.02 | 0.06 ± 0.02 | 0.02 ± 0.00 | 0.03 ± 0.01 | 0.03 ± 0.01 | 0.03 ± 0.01 |
| Valeric acid | 0.04 ± 0.01 | 0.07 ± 0.01 | 0.08 ± 0.02 | 0.09 ± 0.02 | 0.03 ± 0.01 | 0.06 ± 0.02 | 0.07 ± 0.01 | 0.04 ± 0.01 |
Disclaimer/Publisher’s Note: The statements, opinions and data contained in all publications are solely those of the individual author(s) and contributor(s) and not of MDPI and/or the editor(s). MDPI and/or the editor(s) disclaim responsibility for any injury to people or property resulting from any ideas, methods, instructions or products referred to in the content. |
© 2024 by the authors. Licensee MDPI, Basel, Switzerland. This article is an open access article distributed under the terms and conditions of the Creative Commons Attribution (CC BY) license (https://creativecommons.org/licenses/by/4.0/).
Share and Cite
Prapa, I.; Yanni, A.E.; Kompoura, V.; Mitropoulou, G.; Panas, P.; Kostomitsopoulos, N.; Kourkoutas, Y. Functional Modulation of Gut Microbiota and Blood Parameters in Diabetic Rats Following Dietary Intervention with Free or Immobilized Pediococcus acidilactici SK Cells on Pistachio Nuts. Nutrients 2024, 16, 4221. https://doi.org/10.3390/nu16234221
Prapa I, Yanni AE, Kompoura V, Mitropoulou G, Panas P, Kostomitsopoulos N, Kourkoutas Y. Functional Modulation of Gut Microbiota and Blood Parameters in Diabetic Rats Following Dietary Intervention with Free or Immobilized Pediococcus acidilactici SK Cells on Pistachio Nuts. Nutrients. 2024; 16(23):4221. https://doi.org/10.3390/nu16234221
Chicago/Turabian StylePrapa, Ioanna, Amalia E. Yanni, Vasiliki Kompoura, Gregoria Mitropoulou, Panayiotis Panas, Nikolaos Kostomitsopoulos, and Yiannis Kourkoutas. 2024. "Functional Modulation of Gut Microbiota and Blood Parameters in Diabetic Rats Following Dietary Intervention with Free or Immobilized Pediococcus acidilactici SK Cells on Pistachio Nuts" Nutrients 16, no. 23: 4221. https://doi.org/10.3390/nu16234221
APA StylePrapa, I., Yanni, A. E., Kompoura, V., Mitropoulou, G., Panas, P., Kostomitsopoulos, N., & Kourkoutas, Y. (2024). Functional Modulation of Gut Microbiota and Blood Parameters in Diabetic Rats Following Dietary Intervention with Free or Immobilized Pediococcus acidilactici SK Cells on Pistachio Nuts. Nutrients, 16(23), 4221. https://doi.org/10.3390/nu16234221

