Age and Gender Disparities in the Association of Long-Term Dietary Choline and Choline Compound Intakes with Incident Cognitive Decline in Middle-Aged and Older Chinese Adults: A Prospective Cohort Study
Abstract
1. Introduction
2. Materials and Methods
2.1. Study Population
2.2. Dietary Recalls and Cumulative Average Choline Intake
2.3. Cognitive Assessment
2.4. Covariates
2.5. Statistical Analysis
3. Results
3.1. Baseline Characteristics of Study Population
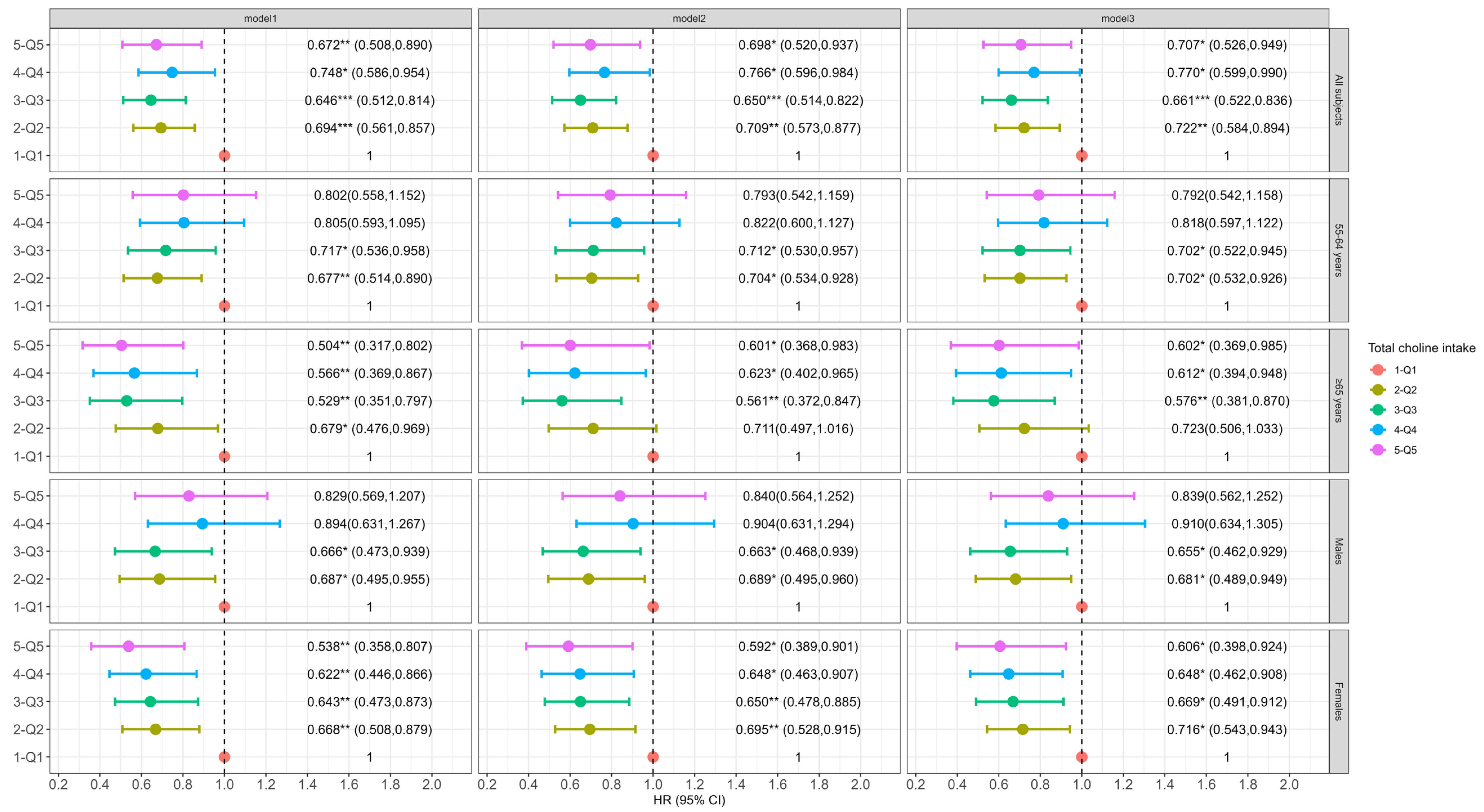
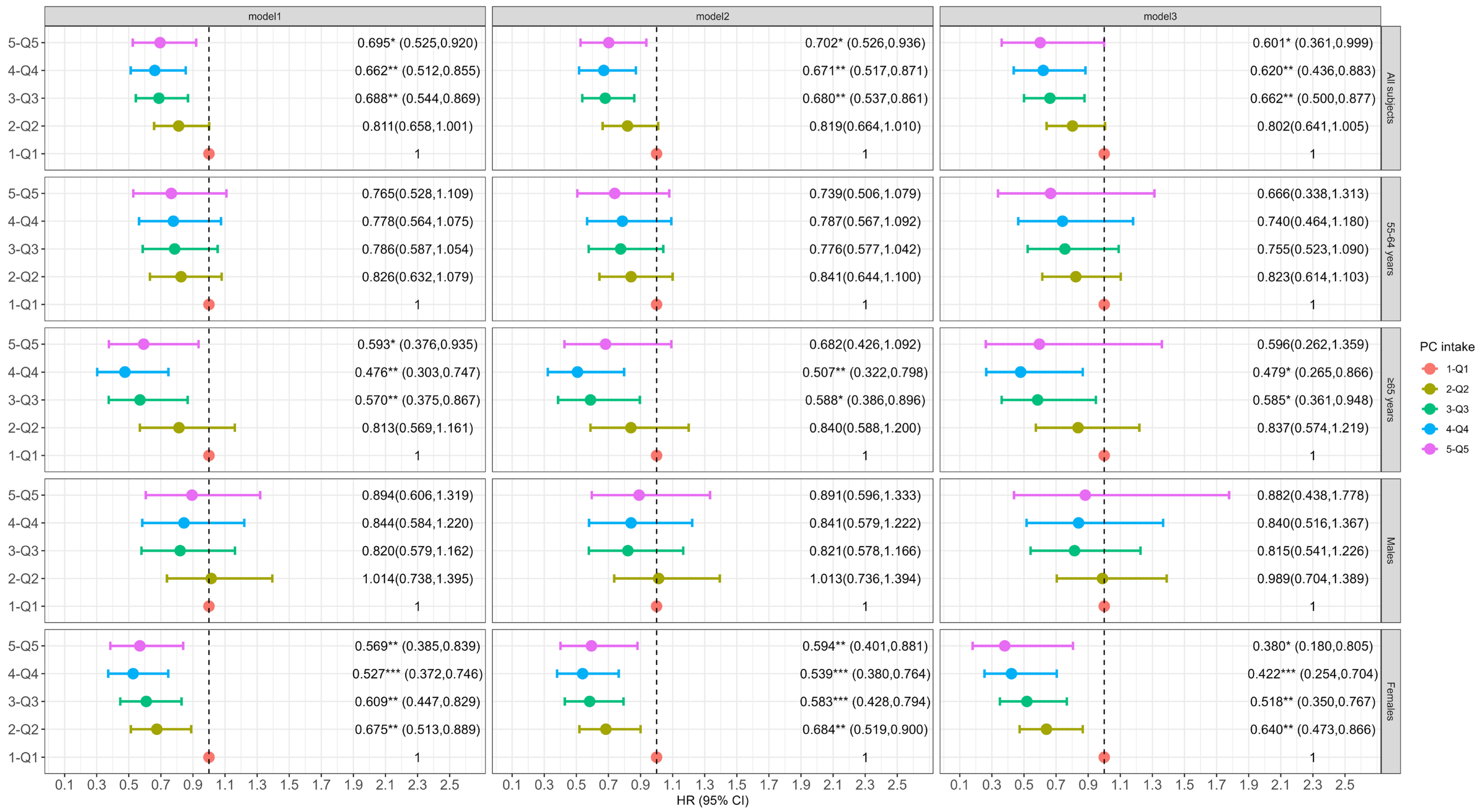
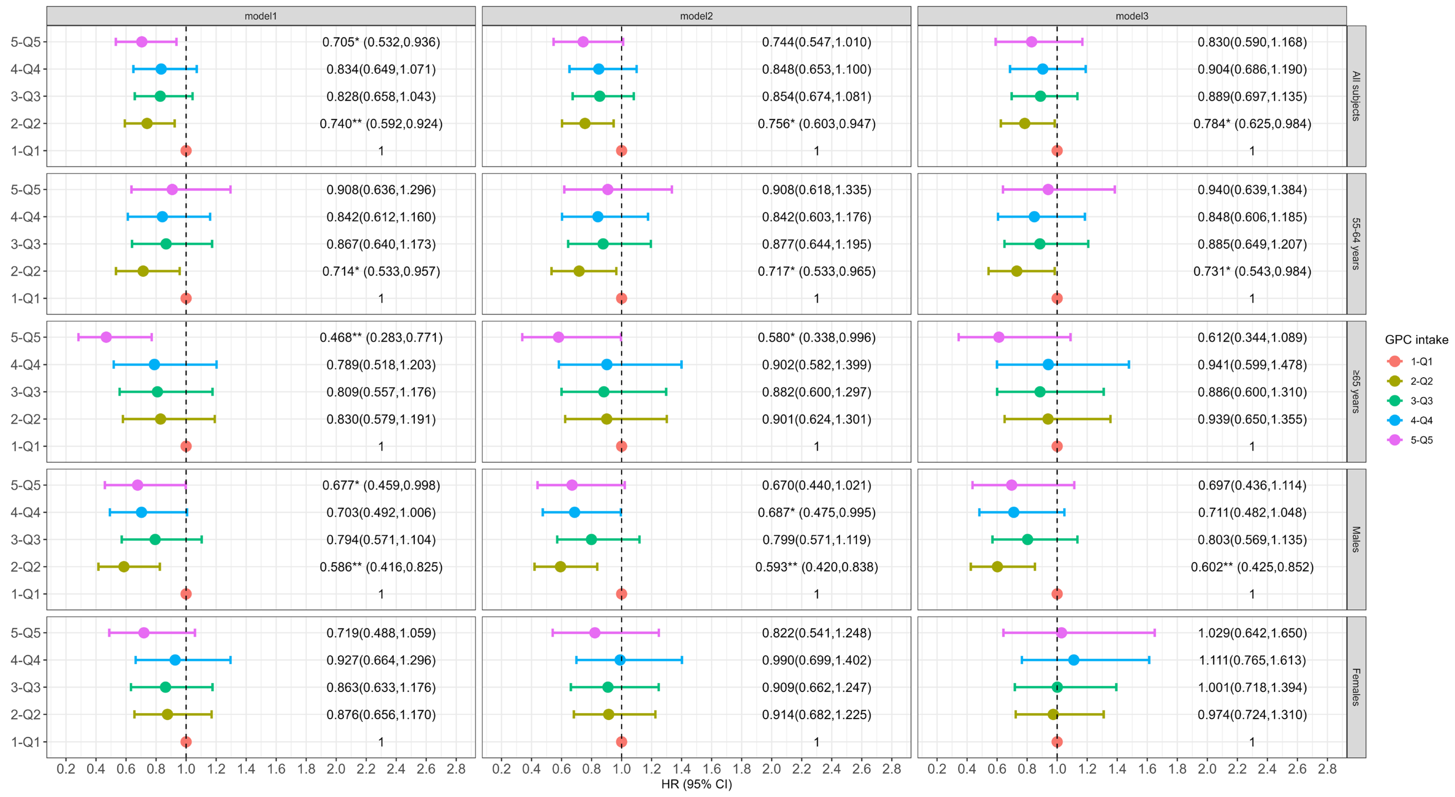
3.2. Association of Dietary Choline and Its Compounds with Incident Cognitive Decline in the Total Population
3.3. Association of Dietary Choline and Its Compounds with Incident Cognitive Decline by Age at Baseline
3.4. Association of Dietary Choline and Its Compounds with Incident Cognitive Decline by Gender
4. Discussion
5. Conclusions
Author Contributions
Funding
Institutional Review Board Statement
Informed Consent Statement
Data Availability Statement
Acknowledgments
Conflicts of Interest
References
- Culig, L.; Chu, X.; Bohr, V.A. Neurogenesis in aging and age-related neurodegenerative diseases. Ageing Res. Rev. 2022, 78, 101636. [Google Scholar] [CrossRef] [PubMed]
- Bai, W.; Chen, P.; Cai, H.; Zhang, Q.; Su, Z.; Cheung, T.; Jackson, T.; Sha, S.; Xiang, Y.T. Worldwide prevalence of mild cognitive impairment among community dwellers aged 50 years and older: A meta-analysis and systematic review of epidemiology studies. Age Ageing 2022, 51, afac173. [Google Scholar] [CrossRef] [PubMed]
- Anderson, N.D. State of the science on mild cognitive impairment (MCI). CNS Spectr. 2019, 24, 78–87. [Google Scholar] [CrossRef]
- Chen, X.; Xue, B.; Hu, Y. Cognitive reserve over life course and 7-year trajectories of cognitive decline: Results from China health and retirement longitudinal study. BMC Public Health 2022, 22, 231. [Google Scholar] [CrossRef] [PubMed]
- Chapko, D.; McCormack, R.; Black, C.; Staff, R.; Murray, A. Life-course determinants of cognitive reserve (CR) in cognitive aging and dementia—A systematic literature review. Aging Ment. Health 2018, 22, 915–926. [Google Scholar] [CrossRef]
- Jia, L.; Du, Y.; Chu, L.; Zhang, Z.; Li, F.; Lyu, D.; Li, Y.; Li, Y.; Zhu, M.; Jiao, H.; et al. Prevalence, risk factors, and management of dementia and mild cognitive impairment in adults aged 60 years or older in China: A cross-sectional study. Lancet Public Health 2020, 5, e661–e671. [Google Scholar] [CrossRef]
- Sanz-Blasco, R.; Ruiz-Sánchez de León, J.M.; Ávila-Villanueva, M.; Valentí-Soler, M.; Gómez-Ramírez, J.; Fernández-Blázquez, M.A. Transition from mild cognitive impairment to normal cognition: Determining the predictors of reversion with multi-state Markov models. Alzheimers Dement. 2022, 18, 1177–1185. [Google Scholar] [CrossRef]
- Jia, X.; Wang, Z.; Huang, F.; Su, C.; Du, W.; Jiang, H.; Wang, H.; Wang, J.; Wang, F.; Su, W.; et al. A comparison of the Mini-Mental State Examination (MMSE) with the Montreal Cognitive Assessment (MoCA) for mild cognitive impairment screening in Chinese middle-aged and older population: A cross-sectional study. BMC Psychiatry 2021, 21, 485. [Google Scholar] [CrossRef]
- Power, R.; Prado-Cabrero, A.; Mulcahy, R.; Howard, A.; Nolan, J.M. The Role of Nutrition for the Aging Population: Implications for Cognition and Alzheimer’s Disease. Annu. Rev. Food Sci. Technol. 2019, 10, 619–639. [Google Scholar] [CrossRef]
- Dominguez, L.J.; Veronese, N.; Vernuccio, L.; Catanese, G.; Inzerillo, F.; Salemi, G.; Barbagallo, M. Nutrition, Physical Activity, and Other Lifestyle Factors in the Prevention of Cognitive Decline and Dementia. Nutrients 2021, 13, 4080. [Google Scholar] [CrossRef]
- Wiedeman, A.M.; Barr, S.I.; Green, T.J.; Xu, Z.; Innis, S.M.; Kitts, D.D. Dietary Choline Intake: Current State of Knowledge Across the Life Cycle. Nutrients 2018, 10, 1513. [Google Scholar] [CrossRef] [PubMed]
- Dave, N.; Judd, J.M.; Decker, A.; Winslow, W.; Sarette, P.; Villarreal Espinosa, O.; Tallino, S.; Bartholomew, S.K.; Bilal, A.; Sandler, J.; et al. Dietary choline intake is necessary to prevent systems-wide organ pathology and reduce Alzheimer’s disease hallmarks. Aging Cell 2023, 22, e13775. [Google Scholar] [CrossRef] [PubMed]
- Moreno, H.C.; de Brugada, I.; Carias, D.; Gallo, M. Long-lasting effects of prenatal dietary choline availability on object recognition memory ability in adult rats. Nutr. Neurosci. 2013, 16, 269–274. [Google Scholar] [CrossRef] [PubMed]
- Blusztajn, J.K.; Slack, B.E.; Mellott, T.J. Neuroprotective Actions of Dietary Choline. Nutrients 2017, 9, 815. [Google Scholar] [CrossRef]
- Ylilauri, M.P.T.; Voutilainen, S.; Lönnroos, E.; Virtanen, H.E.K.; Tuomainen, T.-P.; Salonen, J.T.; Virtanen, J.K. Associations of dietary choline intake with risk of incident dementia and with cognitive performance: The Kuopio Ischaemic Heart Disease Risk Factor Study. Am. J. Clin. Nutr. 2019, 110, 1416–1423. [Google Scholar] [CrossRef]
- Yuan, J.; Liu, X.; Liu, C.; Ang, A.F.; Massaro, J.; Devine, S.A.; Auerbach, S.H.; Blusztajn, J.K.; Au, R.; Jacques, P.F. Is dietary choline intake related to dementia and Alzheimer’s disease risks? Results from the Framingham Heart Study. Am. J. Clin. Nutr. 2022, 116, 1201–1207. [Google Scholar] [CrossRef]
- An, R.; Li, D.; Xiang, X. Choline Intake and Cognitive Function Among U.S. Older Adults. J. Nutr. Gerontol. Geriatr. 2023, 42, 30–45. [Google Scholar] [CrossRef]
- Yamashita, S.; Kawada, N.; Wang, W.; Susaki, K.; Takeda, Y.; Kimura, M.; Iwama, Y.; Miura, Y.; Sugano, M.; Matsuoka, R. Effects of egg yolk choline intake on cognitive functions and plasma choline levels in healthy middle-aged and older Japanese: A randomized double-blinded placebo-controlled parallel-group study. Lipids Health Dis. 2023, 22, 75. [Google Scholar] [CrossRef]
- Leermakers, E.T.; Moreira, E.M.; Kiefte-de Jong, J.C.; Darweesh, S.K.; Visser, T.; Voortman, T.; Bautista, P.K.; Chowdhury, R.; Gorman, D.; Bramer, W.M.; et al. Effects of choline on health across the life course: A systematic review. Nutr. Rev. 2015, 73, 500–522. [Google Scholar] [CrossRef]
- Popkin, B.M.; Du, S.; Zhai, F.; Zhang, B. Cohort Profile: The China Health and Nutrition Survey—Monitoring and understanding socio-economic and health change in China, 1989–2011. Int. J. Epidemiol. 2010, 39, 1435–1440. [Google Scholar] [CrossRef]
- Zhang, B.; Zhai, F.Y.; Du, S.F.; Popkin, B.M. The China Health and Nutrition Survey, 1989–2011. Obes. Rev. 2014, 15 (Suppl. S1), 2–7. [Google Scholar] [CrossRef] [PubMed]
- Wang, Y.; Howard, A.G.; Adair, L.S.; Wang, H.; Avery, C.L.; Gordon-Larsen, P. Waist Circumference Change is Associated with Blood Pressure Change Independent of BMI Change. Obesity 2020, 28, 146–153. [Google Scholar] [CrossRef] [PubMed]
- Yang, Y.; Wang, G.; Pan, X. China Food Composition Table, 2nd ed.; Peking University Medical Press: Beijing, China, 2009. [Google Scholar]
- Yang, Y.; National Institute for Nutrition and Health, Chinese Center for Disease Control and Prevention. China Food Composition Table Standard Edition, Book 1; Peking University Medical Press: Beijing, China, 2018. [Google Scholar]
- Yang, Y.; National Institute for Nutrition and Health, Chinese Center for Disease Control and Prevention. China Food Composition Table Standard Edition, Book 2; Peking University Medical Press: Beijing, China, 2019. [Google Scholar]
- Patterson, K.Y.; Bhagwat, S.A.; Williams, J.R.; Howe, J.C.; Holden, J.M.; Zeisel, S.H.; Dacosta, K.A.; Mar, M.H. USDA Database for the Choline Content of Common Foods Release Two; Nutrient Data Laboratory, Beltsville Human Nutrition Research Center, ARS, USDA: Washington, DC, USA, 2008.
- Zeisel, S.H.; Mar, M.H.; Howe, J.C.; Holden, J.M. Concentrations of choline-containing compounds and betaine in common foods. J. Nutr. 2003, 133, 1302–1307. [Google Scholar] [CrossRef] [PubMed]
- Shi, Z.; El-Obeid, T.; Riley, M.; Li, M.; Page, A.; Liu, J. High Chili Intake and Cognitive Function among 4582 Adults: An Open Cohort Study over 15 Years. Nutrients 2019, 11, 1183. [Google Scholar] [CrossRef]
- Qin, B.; Adair, L.S.; Plassman, B.L.; Batis, C.; Edwards, L.J.; Popkin, B.M.; Mendez, M.A. Dietary Patterns and Cognitive Decline Among Chinese Older Adults. Epidemiology 2015, 26, 758–768. [Google Scholar] [CrossRef]
- Shi, Z.; Li, M.; Wang, Y.; Liu, J.; El-Obeid, T. High iron intake is associated with poor cognition among Chinese old adults and varied by weight status-a 15-y longitudinal study in 4852 adults. Am. J. Clin. Nutr. 2019, 109, 109–116. [Google Scholar] [CrossRef]
- Jones-Smith, J.C.; Popkin, B.M. Understanding community context and adult health changes in China: Development of an urbanicity scale. Soc. Sci. Med. 2010, 71, 1436–1446. [Google Scholar] [CrossRef]
- WHO. Physical Status: The Use and Interpretation of Anthropometry; Report of a WHO Expert Committee; World Health Organization Technical Report Series; WHO: Geneva, Switzerland, 1995; Volume 854, pp. 1–452. [Google Scholar]
- Wang, C.; Bangdiwala, S.I.; Rangarajan, S.; Lear, S.A.; AlHabib, K.F.; Mohan, V.; Teo, K.; Poirier, P.; Tse, L.A.; Liu, Z.; et al. Association of estimated sleep duration and naps with mortality and cardiovascular events: A study of 116 632 people from 21 countries. Eur. Heart J. 2019, 40, 1620–1629. [Google Scholar] [CrossRef]
- Derbyshire, E.; Obeid, R. Choline, Neurological Development and Brain Function: A Systematic Review Focusing on the First 1000 Days. Nutrients 2020, 12, 1731. [Google Scholar] [CrossRef]
- Wallace, T.C. A Comprehensive Review of Eggs, Choline, and Lutein on Cognition Across the Life-span. J. Am. Coll. Nutr. 2018, 37, 269–285. [Google Scholar] [CrossRef]
- Knauff, M.; Wolf, A.G. Complex cognition: The science of human reasoning, problem-solving, and decision-making. Cogn. Process. 2010, 11, 99–102. [Google Scholar] [CrossRef] [PubMed]
- Bekdash, R.A. Choline and the Brain: An Epigenetic Perspective. Adv. Neurobiol. 2016, 12, 381–399. [Google Scholar] [CrossRef] [PubMed]
- Poly, C.; Massaro, J.M.; Seshadri, S.; Wolf, P.A.; Cho, E.; Krall, E.; Jacques, P.F.; Au, R. The relation of dietary choline to cognitive performance and white-matter hyperintensity in the Framingham Offspring Cohort. Am. J. Clin. Nutr. 2011, 94, 1584–1591. [Google Scholar] [CrossRef] [PubMed]
- Huang, F.; Guan, F.; Jia, X.; Zhang, J.; Su, C.; Du, W.; Ouyang, Y.; Li, L.; Bai, J.; Zhang, X.; et al. Dietary Choline Intake Is Beneficial for Cognitive Function and Delays Cognitive Decline: A 22-Year Large-Scale Prospective Cohort Study from China Health and Nutrition Survey. Nutrients 2024, 16, 2845. [Google Scholar] [CrossRef]
- Guan, F.; Jia, X.; Huang, F.; Zhang, J.; Wei, Y.; Li, L.; Bai, J.; Wang, H. Vertical Association Between Dietary Total Choline and L-alpha-glycerylphosphorylcholine and the Cognitive Function in Chinese Adults Aged over 55, Result from China Health and Nutrition Survey 1997–2018. Nutrients 2024, 16, 3713. [Google Scholar] [CrossRef]
- Lewis, J.E.; Melillo, A.B.; Tiozzo, E.; Chen, L.; Leonard, S.; Howell, M.; Diaz, J.; Gonzalez, K.; Woolger, J.M.; Konefal, J.; et al. A double-blind, randomized clinical trial of dietary supplementation on cognitive and immune functioning in healthy older adults. BMC Complement. Altern. Med. 2014, 14, 43. [Google Scholar] [CrossRef]
- Higgins, J.P.T.; Flicker, L. Lecithin for dementia and cognitive impairment. Cochrane Database Syst. Rev. 2000, 3, CD001015. [Google Scholar] [CrossRef]
- Parnetti, L.; Mignini, F.; Tomassoni, D.; Traini, E.; Amenta, F. Cholinergic precursors in the treatment of cognitive impairment of vascular origin: Ineffective approaches or need for re-evaluation? J. Neurol. Sci. 2007, 257, 264–269. [Google Scholar] [CrossRef]
- Levy, R.; Little, A.; Chuaqui, P.; Reith, M. Early results from double-blind, placebo controlled trial of high dose phosphatidylcholine in Alzheimer’s disease. Lancet 1983, 1, 987–988. [Google Scholar] [CrossRef]
- Sagaro, G.G.; Traini, E.; Amenta, F. Activity of Choline Alphoscerate on Adult-Onset Cognitive Dysfunctions: A Systematic Review and Meta-Analysis. J. Alzheimers Dis. 2023, 92, 59–70. [Google Scholar] [CrossRef]
- López-Sobaler, A.M.; Loria-Kohen, V.; Salas-González, M.D.; Bermejo, L.M.; Aparicio, A. Egg components involved in cognitive function. Nutr. Hosp. 2024, 41, 24–27. [Google Scholar] [CrossRef]
- Yonemori, K.M.; Lim, U.; Koga, K.R.; Wilkens, L.R.; Au, D.; Boushey, C.J.; Le Marchand, L.; Kolonel, L.N.; Murphy, S.P. Dietary choline and betaine intakes vary in an adult multiethnic population. J. Nutr. 2013, 143, 894–899. [Google Scholar] [CrossRef]



| Parameters | Total (n = 4502) | Total Choline * | ||||
|---|---|---|---|---|---|---|
| Q1 (0.1–128.6 mg/d, n = 916) | Q2 (82.6–169.8 mg/d, n = 865) | Q3 (123.3–208.4 mg/d, n = 861) | Q4 (164.0–261.6 mg/d, n = 911) | Q5 (225.2–954.8 mg/d, n = 949) | ||
| Age (years) | 62.3 ± 6.2 | 61.9 ± 6.0 a | 62.2 ± 6.2 a | 62.0 ± 6.2 a | 62.1 ± 5.9 a | 63.1 ± 6.6 b |
| Gender | ||||||
| male | 2317 (51.5) | 422 (46.1) | 431 (49.8) | 415 (48.2) | 510 (56.0) | 539 (56.8) |
| female | 2185 (48.5) | 494 (53.9) | 434 (50.2) | 446 (51.8) | 401 (44.0) | 410 (43.2) |
| Educational level | ||||||
| ≤primary school | 2210 (49.1) | 554 (60.5) | 492 (56.9) | 438 (50.9) | 394 (43.3) | 332 (35.0) |
| middle school | 1127 (25.0) | 223 (24.3) | 201 (23.2) | 223 (25.9) | 242 (26.6) | 238 (25.1) |
| ≥high school | 1165 (25.9) | 139 (15.2) | 172 (19.9) | 200 (23.2) | 275 (30.2) | 379 (39.9) |
| Household income level # | ||||||
| low | 1382 (30.7) | 473 (51.6) | 322 (37.2) | 245 (28.5) | 197 (21.6) | 145 (15.3) |
| medium | 1504 (33.4) | 288 (31.4) | 319 (36.9) | 325 (37.8) | 319 (35.0) | 253 (26.7) |
| high | 1616 (35.9) | 155 (16.9) | 224 (25.9) | 291 (33.8) | 395 (43.4) | 551 (58.1) |
| Region | ||||||
| central | 1280 (28.4) | 310 (33.8) | 286 (33.1) | 260 (30.2) | 213 (23.4) | 211 (22.2) |
| eastern | 2031 (45.1) | 289 (31.6) | 315 (36.4) | 360 (41.8) | 472 (51.8) | 595 (62.7) |
| western | 1191 (26.5) | 317 (34.6) | 264 (30.5) | 241 (28.0) | 226 (24.8) | 143 (15.1) |
| Urbanization level # | ||||||
| low | 1469 (32.6) | 544 (59.4) | 341 (39.4) | 254 (29.5) | 203 (22.3) | 127 (13.4) |
| medium | 1541 (34.2) | 215 (23.5) | 332 (38.4) | 327 (38.0) | 347 (38.1) | 320 (33.7) |
| high | 1492 (33.1) | 157 (17.1) | 192 (22.2) | 280 (32.5) | 361 (39.6) | 502 (52.9) |
| Current smoking | ||||||
| yes | 1292 (28.7) | 266 (29.0) | 263 (30.4) | 214 (24.9) | 285 (31.3) | 264 (27.8) |
| no | 3210 (71.3) | 650 (71.0) | 602 (69.6) | 647 (75.2) | 626 (68.7) | 685 (72.2) |
| Alcohol intake | ||||||
| yes | 1421 (31.6) | 251 (27.4) | 272 (31.5) | 255 (29.6) | 314 (34.5) | 329 (34.7) |
| no | 3081 (68.4) | 665 (72.6) | 593 (68.6) | 606 (70.4) | 597 (65.5) | 620 (65.3) |
| Physical activity level # | ||||||
| low | 1278 (28.4) | 190 (20.7) | 207 (23.9) | 247 (28.7) | 278 (30.5) | 356 (37.5) |
| medium | 1569 (34.9) | 273 (29.8) | 271 (31.3) | 309 (35.9) | 341 (37.4) | 375 (39.5) |
| high | 1655 (36.8) | 453 (49.5) | 387 (44.7) | 305 (35.4) | 292 (32.1) | 218 (23.0) |
| CVD history | ||||||
| yes | 1089 (24.2) | 174 (19.0) | 190 (22.0) | 204 (23.7) | 252 (27.7) | 269 (28.4) |
| no | 3413 (75.8) | 742 (81.0) | 675 (78.0) | 657 (76.3) | 659 (72.3) | 680 (71.7) |
| BMI (kg/m2) | 23.8 ± 3.5 | 23.2 ± 3.7 a | 23.5 ± 3.6 a,b | 23.7 ± 3.5 b | 24.2 ± 3.4 c | 24.2 ± 3.2 c |
| Dietary intake | ||||||
| energy (kcal/d) | 2228.9 ± 597.6 | 2037.7 ± 569.8 a | 2127.2 ± 550.0 b | 2190.1 ± 536.3 c | 2305.7 ± 571.9 d | 2467.9 ± 650.3 e |
| choline (mg/d) | 188.0 ± 99.7 | 77.5 ± 28.2 a | 130.2 ± 22.2 b | 170.5 ± 21.8 c | 219.0 ± 22.3 d | 333.3 ± 88.7 e |
| PC (mg/d) | 126.7 ± 81.1 | 42.0 ± 22.7 a | 80.8 ± 23.5 b | 112.4 ± 24.4 c | 148.7 ± 26.0 d | 242.2 ± 78.5 e |
| GPC (mg/d) | 17.1 ± 10.8 | 8.7 ± 4.8 a | 12.8 ± 5.2 b | 16.2 ± 6.7 c | 20.3 ± 8.0 d | 26.8 ± 14.6 e |
| Global cognitive score | 17.3 ± 4.7 | 16.4 ± 4.6 a | 17.1 ± 4.5 b | 17.0 ± 4.5 b | 17.8 ± 4.7 c | 18.0 ± 4.9 c |
Disclaimer/Publisher’s Note: The statements, opinions and data contained in all publications are solely those of the individual author(s) and contributor(s) and not of MDPI and/or the editor(s). MDPI and/or the editor(s) disclaim responsibility for any injury to people or property resulting from any ideas, methods, instructions or products referred to in the content. |
© 2024 by the authors. Licensee MDPI, Basel, Switzerland. This article is an open access article distributed under the terms and conditions of the Creative Commons Attribution (CC BY) license (https://creativecommons.org/licenses/by/4.0/).
Share and Cite
Jia, X.; Su, C.; Zhang, J.; Huang, F.; Bai, J.; Guan, F.; Wei, Y.; Li, L.; Liu, Y.; Ji, J.; et al. Age and Gender Disparities in the Association of Long-Term Dietary Choline and Choline Compound Intakes with Incident Cognitive Decline in Middle-Aged and Older Chinese Adults: A Prospective Cohort Study. Nutrients 2024, 16, 4121. https://doi.org/10.3390/nu16234121
Jia X, Su C, Zhang J, Huang F, Bai J, Guan F, Wei Y, Li L, Liu Y, Ji J, et al. Age and Gender Disparities in the Association of Long-Term Dietary Choline and Choline Compound Intakes with Incident Cognitive Decline in Middle-Aged and Older Chinese Adults: A Prospective Cohort Study. Nutrients. 2024; 16(23):4121. https://doi.org/10.3390/nu16234121
Chicago/Turabian StyleJia, Xiaofang, Chang Su, Jiguo Zhang, Feifei Huang, Jing Bai, Fangxu Guan, Yanli Wei, Li Li, Yibing Liu, Jingang Ji, and et al. 2024. "Age and Gender Disparities in the Association of Long-Term Dietary Choline and Choline Compound Intakes with Incident Cognitive Decline in Middle-Aged and Older Chinese Adults: A Prospective Cohort Study" Nutrients 16, no. 23: 4121. https://doi.org/10.3390/nu16234121
APA StyleJia, X., Su, C., Zhang, J., Huang, F., Bai, J., Guan, F., Wei, Y., Li, L., Liu, Y., Ji, J., Du, W., Ouyang, Y., Zhang, X., Zhang, B., & Wang, H. (2024). Age and Gender Disparities in the Association of Long-Term Dietary Choline and Choline Compound Intakes with Incident Cognitive Decline in Middle-Aged and Older Chinese Adults: A Prospective Cohort Study. Nutrients, 16(23), 4121. https://doi.org/10.3390/nu16234121

