Erythrocyte Selenium as a Potential Key Indicator for Selenium Supplementation in Low-Selenium Populations: A Selenium Supplementation Study Based on Wistar Rats
Abstract
1. Introduction
2. Materials and Methods
2.1. Chemicals
2.2. Dosage Calculation
2.3. Selenium Supplementation Experiment in Rats
2.3.1. Animal Grouping and Sample Size
2.3.2. Animal Husbandry, Grouping, and Sampling Protocol for Selenium Supplementation Study in Wistar Rats
2.4. Organ Coefficient
2.5. Measurement of Selenium Levels
2.5.1. Sample Preparation
2.5.2. Determination of Selenium Levels in Samples
2.6. Measurement of Glutathione Peroxidase (GSH-Px) Levels
2.7. Data Analysis
3. Results
3.1. Dietary Intake, Body Weight, and Organ Coefficients of Rats at Various Time Points
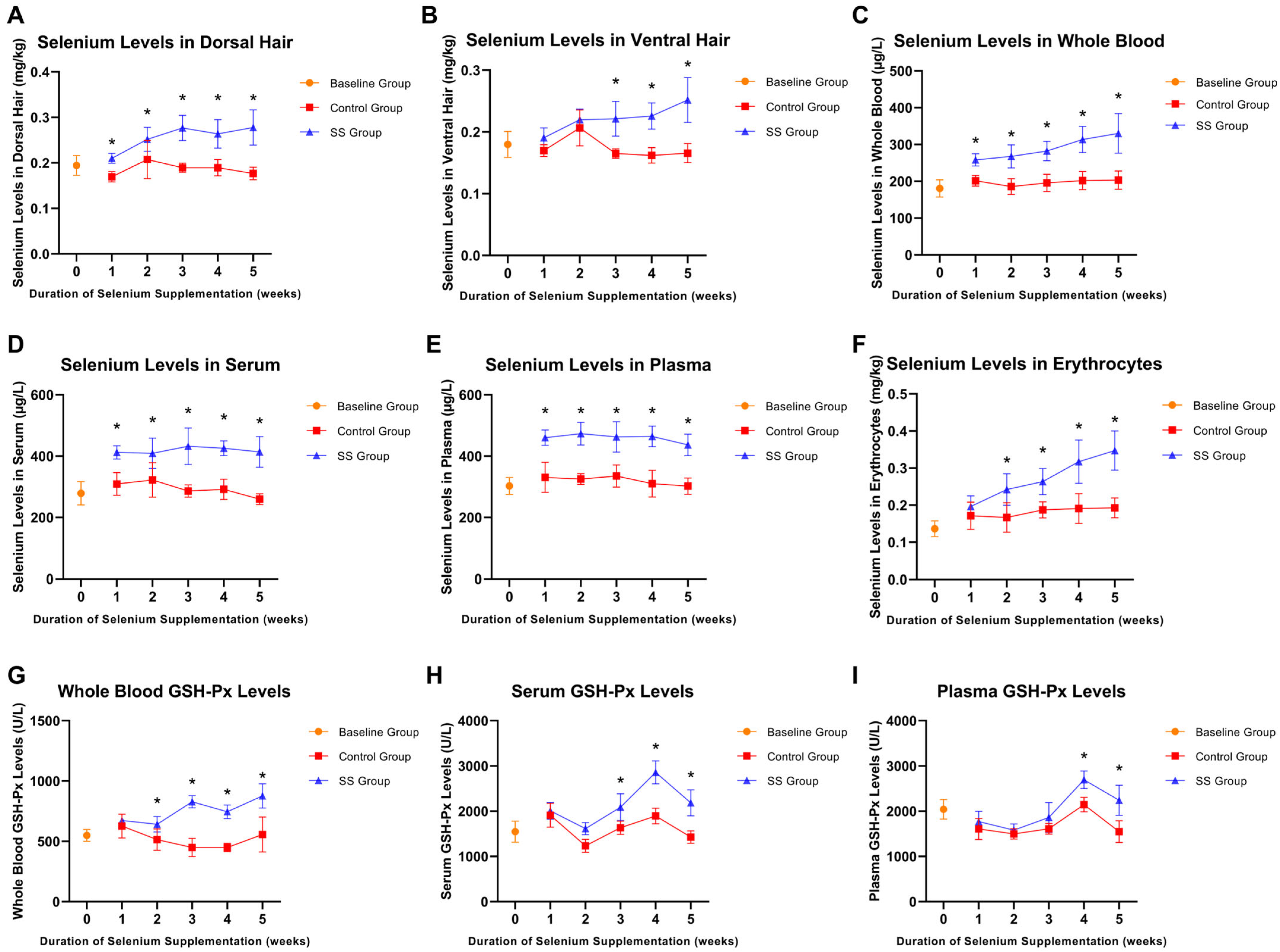
3.2. Selenium Nutritional Indicators in Rats at Various Time Points
3.3. Selenium Levels in Major Tissues and Organs of Rats at Various Time Points
3.4. Selenium Enrichment in Nutritional Indicators and Major Organs
3.5. Correlation Analysis Between Selenium Nutritional Indicators and Major Organs
4. Discussion
5. Conclusions
Author Contributions
Funding
Institutional Review Board Statement
Informed Consent Statement
Data Availability Statement
Acknowledgments
Conflicts of Interest
References
- Bjorklund, G.; Shanaida, M.; Lysiuk, R.; Antonyak, H.; Klishch, I.; Shanaida, V.; Peana, M. Selenium: An Antioxidant with a Critical Role in Anti-Aging. Molecules 2022, 27, 6613. [Google Scholar] [CrossRef] [PubMed]
- Chen, N.; Yao, P.; Zhang, W.; Zhang, Y.; Xin, N.; Wei, H.; Zhang, T.; Zhao, C. Selenium nanoparticles: Enhanced nutrition and beyond. Crit. Rev. Food Sci. Nutr. 2023, 63, 12360–12371. [Google Scholar] [CrossRef] [PubMed]
- Liu, H.; Yu, F.; Shao, W.; Ding, D.; Yu, Z.; Chen, F.; Geng, D.; Tan, X.; Lammi, M.J.; Guo, X. Associations Between Selenium Content in Hair and Kashin-Beck Disease/Keshan Disease in Children in Northwestern China: A Prospective Cohort Study. Biol. Trace Elem. Res. 2018, 184, 16–23. [Google Scholar] [CrossRef] [PubMed]
- Mistry, H.D.; Broughton Pipkin, F.; Redman, C.W.; Poston, L. Selenium in reproductive health. Am. J. Obstet. Gynecol. 2012, 206, 21–30. [Google Scholar] [CrossRef] [PubMed]
- Rayman, M.P.; Wijnen, H.; Vader, H.; Kooistra, L.; Pop, V. Maternal selenium status during early gestation and risk for preterm birth. CMAJ 2011, 183, 549–555. [Google Scholar] [CrossRef]
- Naderi, M.; Puar, P.; Zonouzi-Marand, M.; Chivers, D.P.; Niyogi, S.; Kwong, R.W.M. A comprehensive review on the neuropathophysiology of selenium. Sci. Total Environ. 2021, 767, 144329. [Google Scholar] [CrossRef]
- Zhang, F.; Li, X.; Wei, Y. Selenium and Selenoproteins in Health. Biomolecules 2023, 13, 799. [Google Scholar] [CrossRef]
- Gorini, F.; Sabatino, L.; Pingitore, A.; Vassalle, C. Selenium: An Element of Life Essential for Thyroid Function. Molecules 2021, 26, 7084. [Google Scholar] [CrossRef]
- Müller, S.M.; Dawczynski, C.; Wiest, J.; Lorkowski, S.; Kipp, A.P.; Schwerdtle, T. Functional Biomarkers for the Selenium Status in a Human Nutritional Intervention Study. Nutrients 2020, 12, 676. [Google Scholar] [CrossRef]
- Jia, Y.; Wang, R.; Li, G.; Feng, C.; Qi, L.; Wang, Y.; Su, S.; Zou, Y.; Liu, X.; Wang, Y.; et al. Hair Selenium of Residents in Keshan Disease Endemic and Non-endemic Regions in China. Biol. Trace Elem. Res. 2023, 201, 3256–3267. [Google Scholar] [CrossRef]
- Urbano, T.; Filippini, T.; Wise, L.A.; Sucato, S.; Polledri, E.; Malavolti, M.; Fustinoni, S.; Michalke, B.; Vinceti, M. Selenium exposure and urinary 8-oxo-7,8-dihydro-2′-deoxyguanosine: Major effects of chemical species and sex. Sci. Total Environ. 2023, 870, 161584. [Google Scholar] [CrossRef] [PubMed]
- Rogulska, J.; Osowska, S.; Kunecki, M.; Sobocki, J.; Ładyżyński, P.; Giebułtowicz, J. Antioxidant balance in plasma of patients on home parenteral nutrition: A pilot study comparing three different lipid emulsions. Clin. Nutr. 2021, 40, 3950–3958. [Google Scholar] [CrossRef] [PubMed]
- Rayman, M.P. Selenium and human health. Lancet 2012, 379, 1256–1268. [Google Scholar] [CrossRef]
- Ferro, C.; Florindo, H.F.; Santos, H.A. Selenium Nanoparticles for Biomedical Applications: From Development and Characterization to Therapeutics. Adv. Healthc. Mater. 2021, 10, e2100598. [Google Scholar] [CrossRef]
- Little, M.; Achouba, A.; Ayotte, P.; Lemire, M. Emerging evidence on selenoneine and its public health relevance in coastal populations: A review and case study of dietary Se among Inuit populations in the Canadian Arctic. Nutr. Res. Rev. 2024; 1–10, Online ahead of print. [Google Scholar] [CrossRef]
- Peng, S.; Zhang, G.; Wang, D. Association of selenium intake with bone mineral density and osteoporosis: The national health and nutrition examination survey. Front. Endocrinol. 2023, 14, 1251838. [Google Scholar] [CrossRef]
- Li, Q.; Li, T.; Cao, X.C.; Luo, D.Q.; Lian, K.J. Methylprednisolone microsphere sustained-release membrane inhibits scar formation at the site of peripheral nerve lesion. Neural Regen. Res. 2016, 11, 835–841. [Google Scholar]
- Zhang, Y.; Meng, S.; Yu, Y.; Bi, L.; Tian, J.; Zhang, L. Associations of dietary selenium intake with the risk of chronic diseases and mortality in US adults. Front. Nutr. 2024, 11, 1363299. [Google Scholar] [CrossRef]
- Navarro-Alarcon, M.; Cabrera-Vique, C. Selenium in food and the human body: A review. Sci. Total Environ. 2008, 400, 115–141. [Google Scholar] [CrossRef]
- Liu, T.; Liu, X.; Zhou, R.; Chen, H.; Zhang, H.; Zhang, B. De novo Transcriptome Assembly and Comparative Analysis Highlight the Primary Mechanism Regulating the Response to Selenium Stimuli in Oats (Avena sativa L.). Front. Plant Sci. 2021, 12, 625520. [Google Scholar] [CrossRef]
- Zhao, X.; Lu, Y.; Dai, L.; Wang, L.; Zhou, G.; Liang, T. Selenium spatial distribution and bioavailability of soil-plant systems in China: A comprehensive review. Environ. Geochem. Health 2024, 46, 341. [Google Scholar] [CrossRef] [PubMed]
- Wang, X.; Li, H.; Yang, L.; Kong, C.; Wang, J.; Li, Y. Selenium Nutritional Status of Rural Residents and Its Correlation with Dietary Intake Patterns in a Typical Low-Selenium Area in China. Nutrients 2020, 12, 3816. [Google Scholar] [CrossRef] [PubMed]
- Liu, Z.; Zhao, L.; Man, Q.; Wang, J.; Zhao, W.; Zhang, J. Dietary Micronutrients Intake Status among Chinese Elderly People Living at Home: Data from CNNHS 2010–2012. Nutrients 2019, 11, 1787. [Google Scholar] [CrossRef]
- Wang, H.; Wang, D.; Ouyang, Y.; Huang, F.; Ding, G.; Zhang, B. Do Chinese Children Get Enough Micronutrients? Nutrients 2017, 9, 397. [Google Scholar] [CrossRef]
- Solé-Navais, P.; Brantsæter, A.L.; Caspersen, I.H.; Lundh, T.; Muglia, L.J.; Meltzer, H.M.; Zhang, G.; Jacobsson, B.; Sengpiel, V.; Barman, M. Maternal Dietary Selenium Intake during Pregnancy Is Associated with Higher Birth Weight and Lower Risk of Small for Gestational Age Births in the Norwegian Mother, Father and Child Cohort Study. Nutrients 2020, 13, 23. [Google Scholar] [CrossRef]
- Costa, N.A.; Gut, A.L.; Pimentel, J.A.; Cozzolino, S.M.; Azevedo, P.S.; Fernandes, A.A.; Polegato, B.F.; Tanni, S.E.; Gaiolla, R.D.; Zornoff, L.A.; et al. Erythrocyte selenium concentration predicts intensive care unit and hospital mortality in patients with septic shock: A prospective observational study. Crit. Care 2014, 18, R92. [Google Scholar] [CrossRef]
- Stefanowicz, F.A.; Talwar, D.; O’Reilly, D.S.; Dickinson, N.; Atkinson, J.; Hursthouse, A.S.; Rankin, J.; Duncan, A. Erythrocyte selenium concentration as a marker of selenium status. Clin. Nutr. 2013, 32, 837–842. [Google Scholar] [CrossRef]
- Lemire, M.; Mergler, D.; Huel, G.; Passos, C.J.; Fillion, M.; Philibert, A.; Guimarães, J.R.; Rheault, I.; Borduas, J.; Normand, G. Biomarkers of selenium status in the Amazonian context: Blood, urine and sequential hair segments. J. Expo. Sci. Environ. Epidemiol. 2009, 19, 213–222. [Google Scholar] [CrossRef]
- Thomson, C.D. Assessment of requirements for selenium and adequacy of selenium status: A review. Eur. J. Clin. Nutr. 2004, 58, 391–402. [Google Scholar] [CrossRef]
- Lai, C.Y.; Cheng, S.B.; Lee, T.Y.; Hsiao, Y.F.; Liu, H.T.; Huang, Y.C. Impact of Glutathione and Vitamin B-6 in Cirrhosis Patients: A Randomized Controlled Trial and Follow-Up Study. Nutrients 2020, 12, 1978. [Google Scholar] [CrossRef]
- Sun, L.; Wang, F.; Wu, Z.; Ma, L.; Baumrucker, C.; Bu, D. Comparison of Selenium Source in Preventing Oxidative Stress in Bovine Mammary Epithelial Cells. Animals 2020, 10, 842. [Google Scholar] [CrossRef] [PubMed]
- Erkekoglu, P.; Arnaud, J.; Rachidi, W.; Kocer-Gumusel, B.; Favier, A.; Hincal, F. The effects of di(2-ethylhexyl) phthalate and/or selenium on trace element levels in different organs of rats. J. Trace Elem. Med. Biol. 2015, 29, 296–302. [Google Scholar] [CrossRef] [PubMed]
- Zhu, M.L.; Gao, Z.T.; Lu, J.X.; Wang, Y.; Wang, G.; Zhu, T.T.; Li, P.; Liu, C.; Wang, S.X.; Yang, L. Amorphous nano-selenium quantum dots prevent pulmonary arterial hypertension through recoupling endothelial nitric oxide synthase. Aging 2020, 13, 3368–3385. [Google Scholar] [CrossRef] [PubMed]
- Mehdi, Y.; Dufrasne, I. Selenium in Cattle: A Review. Molecules 2016, 21, 545. [Google Scholar] [CrossRef]
- Schwarz, M.; Meyer, C.E.; Löser, A.; Lossow, K.; Hackler, J.; Ott, C.; Jäger, S.; Mohr, I.; Eklund, E.A.; Patel, A.A.H.; et al. Excessive copper impairs intrahepatocyte trafficking and secretion of selenoprotein P. Nat. Commun. 2023, 14, 3479. [Google Scholar] [CrossRef]
- Yanjun, Y.; Jing, Z.; Yifei, S.; Gangzhao, G.; Chenxin, Y.; Qiang, W.; Qiang, Y.; Shuwen, H. Trace elements in pancreatic cancer. Cancer Med. 2024, 13, e7454. [Google Scholar] [CrossRef]
- Khatiwada, S.; Subedi, A. A Mechanistic Link Between Selenium and Coronavirus Disease 2019 (COVID-19). Curr. Nutr. Rep. 2021, 10, 125–136. [Google Scholar] [CrossRef]
- Li, C. Selenium deficiency and endemic heart failure in China: A case study of biogeochemistry for human health. Ambio 2007, 36, 90–93. [Google Scholar] [CrossRef]
- Metes-Kosik, N.; Luptak, I.; Dibello, P.M.; Handy, D.E.; Tang, S.S.; Zhi, H.; Qin, F.; Jacobsen, D.W.; Loscalzo, J.; Joseph, J. Both selenium deficiency and modest selenium supplementation lead to myocardial fibrosis in mice via effects on redox-methylation balance. Mol. Nutr. Food Res. 2012, 56, 1812–1824. [Google Scholar] [CrossRef]
- Weening, E.H.; Al-Mubarak, A.A.; Dokter, M.M.; Dickstein, K.; Lang, C.C.; Ng, L.L.; Metra, M.; van Veldhuisen, D.J.; Touw, D.J.; de Boer, R.A.; et al. Sexual dimorphism in selenium deficiency is associated with metabolic syndrome and prevalence of heart disease. Cardiovasc. Diabetol. 2023, 22, 8. [Google Scholar] [CrossRef]



| Selenium Biomarkers | Control Group | SS Group | t-Value | p-Value | SS Group/ Control Group |
|---|---|---|---|---|---|
| Myocardial Selenium (mg/kg) | 0.17 | 0.24 | 6.00 | <0.0001 | 1.38 |
| Muscle Selenium (mg/kg) | 0.06 | 0.09 | 7.26 | <0.0001 | 1.69 |
| Spleen Selenium (mg/kg) | 0.30 | 0.39 | 5.72 | <0.0001 | 1.30 |
| Liver Selenium (mg/kg) | 0.33 | 0.95 | 10.16 | <0.0001 | 2.87 |
| Kidney Selenium (mg/kg) | 1.16 | 1.89 | 10.75 | <0.0001 | 1.63 |
| Dorsal Hair Selenium (mg/kg) | 0.18 | 0.28 | 7.92 | <0.0001 | 1.57 |
| Ventral Hair Selenium (mg/kg) | 0.17 | 0.25 | 7.13 | <0.0001 | 1.52 |
| Whole Blood Selenium (µg/L) | 203.08 | 330.41 | 6.74 | <0.0001 | 1.63 |
| Erythrocyte Selenium (mg/kg) | 0.19 | 0.35 | 8.25 | <0.0001 | 1.80 |
| Plasma Selenium (µg/L) | 302.48 | 436.65 | 10.63 | <0.0001 | 1.44 |
| Serum Selenium (µg/L) | 259.85 | 413.92 | 8.89 | <0.0001 | 1.59 |
| Whole Blood GSH-Px (U/L) | 556.34 | 877.06 | 6.97 | <0.0001 | 1.58 |
| Plasma GSH-Px (U/L) | 1549.51 | 2243.05 | 5.83 | <0.0001 | 1.45 |
| Serum GSH-Px (U/L) | 1427.55 | 2183.52 | 7.48 | <0.0001 | 1.53 |
| Myocardial Se | Muscle Se | Spleen Se | Whole Blood Se | Liver Se | Kidney Se | Erythrocyte Se | Dorsal Hair Se | Ventral Hair Se | Plasma Se | Serum Se | Whole Blood GSH-Px | Plasma GSH-Px | Serum GSH-Px | |
|---|---|---|---|---|---|---|---|---|---|---|---|---|---|---|
| Myocardial Se | 1 | 0.877 ** | 0.834 ** | 0.843 ** | 0.868 ** | 0.890 ** | 0.838 ** | 0.816 ** | 0.721 ** | 0.706 ** | 0.726 ** | 0.741 ** | 0.415 ** | 0.602 ** |
| Muscle Se | 1 | 0.854 ** | 0.834 ** | 0.862 ** | 0.859 ** | 0.855 ** | 0.778 ** | 0.771 ** | 0.614 ** | 0.636 ** | 0.735 ** | 0.455 ** | 0.581 ** | |
| Spleen Se | 1 | 0.779 ** | 0.835 ** | 0.810 ** | 0.830 ** | 0.732 ** | 0.718 ** | 0.613 ** | 0.606 ** | 0.688 ** | 0.436 ** | 0.536 ** | ||
| Whole Blood Se | 1 | 0.799 ** | 0.888 ** | 0.887 ** | 0.764 ** | 0.727 ** | 0.759 ** | 0.765 ** | 0.764 ** | 0.490 ** | 0.689 ** | |||
| Liver Se | 1 | 0.859 ** | 0.806 ** | 0.789 ** | 0.711 ** | 0.723 ** | 0.668 ** | 0.722 ** | 0.397 ** | 0.571 ** | ||||
| Kidney Se | 1 | 0.897 ** | 0.803 ** | 0.716 ** | 0.696 ** | 0.706 ** | 0.788 ** | 0.405 ** | 0.623 ** | |||||
| Erythrocyte Se | 1 | 0.738 ** | 0.708 ** | 0.612 ** | 0.634 ** | 0.736 ** | 0.486 ** | 0.614 ** | ||||||
| Dorsal Hair Se | 1 | 0.794 ** | 0.707 ** | 0.673 ** | 0.680 ** | 0.378 ** | 0.481 ** | |||||||
| Ventral Hair Se | 1 | 0.566 ** | 0.593 ** | 0.639 ** | 0.356 ** | 0.391 ** | ||||||||
| Plasma Se | 1 | 0.820 ** | 0.593 ** | 0.263 ** | 0.535 ** | |||||||||
| Serum Se | 1 | 0.651 ** | 0.374 ** | 0.626 ** | ||||||||||
| Whole Blood GSH-Px | 1 | 0.386 ** | 0.572 ** | |||||||||||
| Plasma GSH-Px | 1 | 0.763 ** | ||||||||||||
| Serum GSH-Px | 1 |
Disclaimer/Publisher’s Note: The statements, opinions and data contained in all publications are solely those of the individual author(s) and contributor(s) and not of MDPI and/or the editor(s). MDPI and/or the editor(s) disclaim responsibility for any injury to people or property resulting from any ideas, methods, instructions or products referred to in the content. |
© 2024 by the authors. Licensee MDPI, Basel, Switzerland. This article is an open access article distributed under the terms and conditions of the Creative Commons Attribution (CC BY) license (https://creativecommons.org/licenses/by/4.0/).
Share and Cite
Lv, C.; Wang, R.; Zeng, Q.; Feng, C.; Li, G.; Hao, S.; Li, J.; Wang, C.; Sun, H.; Du, L.; et al. Erythrocyte Selenium as a Potential Key Indicator for Selenium Supplementation in Low-Selenium Populations: A Selenium Supplementation Study Based on Wistar Rats. Nutrients 2024, 16, 3797. https://doi.org/10.3390/nu16223797
Lv C, Wang R, Zeng Q, Feng C, Li G, Hao S, Li J, Wang C, Sun H, Du L, et al. Erythrocyte Selenium as a Potential Key Indicator for Selenium Supplementation in Low-Selenium Populations: A Selenium Supplementation Study Based on Wistar Rats. Nutrients. 2024; 16(22):3797. https://doi.org/10.3390/nu16223797
Chicago/Turabian StyleLv, Cunqi, Ruixiang Wang, Qingyu Zeng, Chen Feng, Guijin Li, Shuxiu Hao, Jiacheng Li, Cheng Wang, Huixin Sun, Linlin Du, and et al. 2024. "Erythrocyte Selenium as a Potential Key Indicator for Selenium Supplementation in Low-Selenium Populations: A Selenium Supplementation Study Based on Wistar Rats" Nutrients 16, no. 22: 3797. https://doi.org/10.3390/nu16223797
APA StyleLv, C., Wang, R., Zeng, Q., Feng, C., Li, G., Hao, S., Li, J., Wang, C., Sun, H., Du, L., Zhang, Y., Wang, X., Wang, T., & Li, Q. (2024). Erythrocyte Selenium as a Potential Key Indicator for Selenium Supplementation in Low-Selenium Populations: A Selenium Supplementation Study Based on Wistar Rats. Nutrients, 16(22), 3797. https://doi.org/10.3390/nu16223797

