Comparing the Effectiveness of Different Dietary Educational Approaches for Carbohydrate Counting on Glycemic Control in Adults with Type 1 Diabetes: Findings from the DIET-CARB Study, a Randomized Controlled Trial
Abstract
1. Introduction
2. Materials and Methods
2.1. Study Design and Participants
2.2. Screening and Randomization
2.3. Interventions
2.4. Compliance
2.5. Outcome Measures
2.6. Sample Size
2.7. Changes Due to the COVID-19 Pandemic
2.8. Statistical Analyses
3. Results
3.1. Compliance
3.2. Primary Outcomes
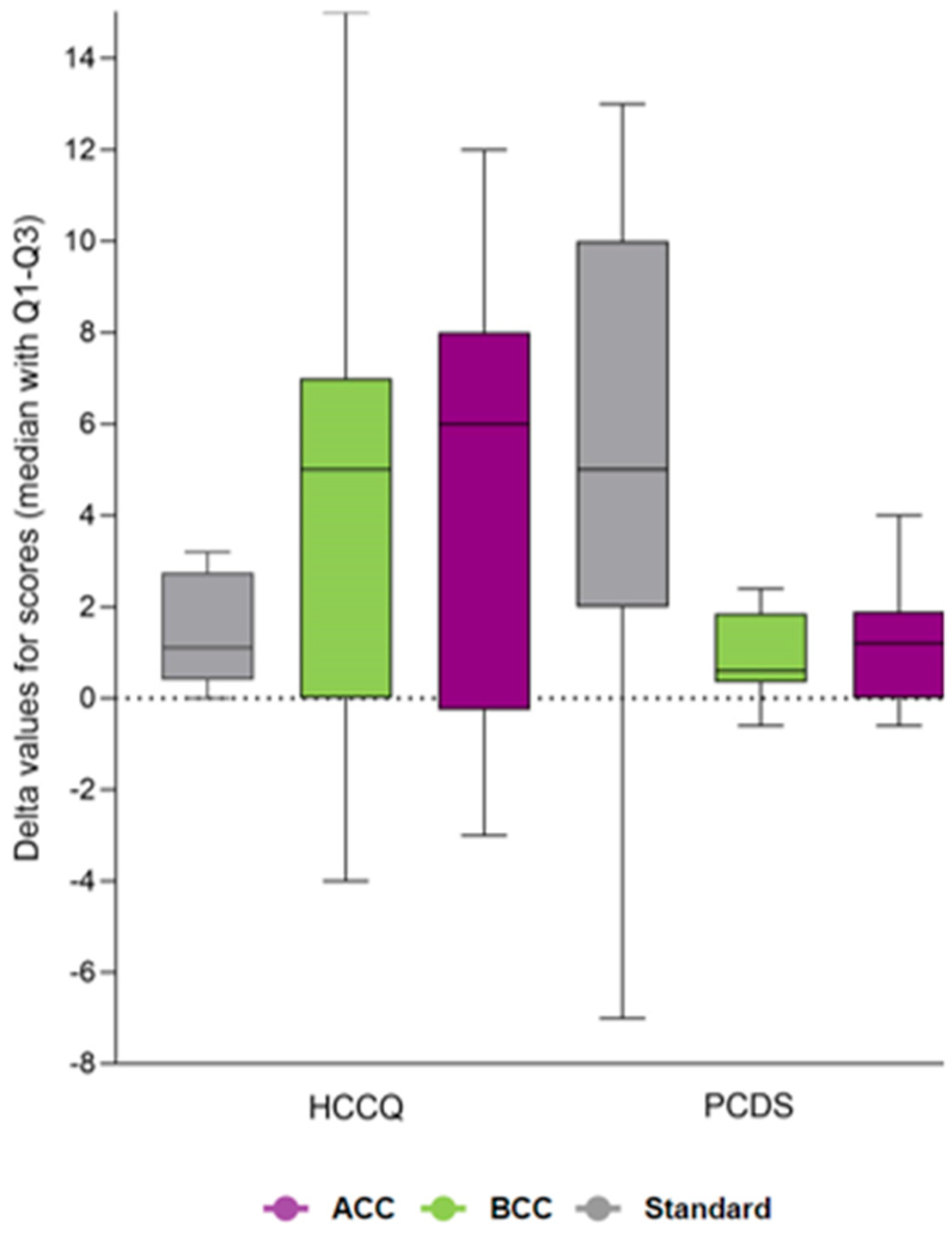
3.3. Secondary and Exploratory Outcomes
4. Discussion
5. Conclusions
Supplementary Materials
Author Contributions
Funding
Institutional Review Board Statement
Informed Consent Statement
Data Availability Statement
Acknowledgments
Conflicts of Interest
References
- American Diabetes Association Professional Practice, Committee, 5. Facilitating Behavior Change and Well-being to Improve Health Outcomes: Standards of Medical Care in Diabetes−2022. Diabetes Care 2022, 45 (Suppl. S1), S60–S82. [Google Scholar] [CrossRef] [PubMed]
- The Diabetes and Nutrition Study Group (DNSG) of the European Association for the Study of Diabetes (EASD). Evidence-based European recommendations for the dietary management of diabetes. Diabetologia 2023, 66, 965–985. [Google Scholar] [CrossRef] [PubMed]
- Holt, R.I.G.; DeVries, J.H.; Hess-Fischl, A.; Hirsch, I.B.; Kirkman, M.S.; Klupa, T.; Ludwig, B.; Nørgaard, K.; Pettus, J.; Renard, E.; et al. The management of type 1 diabetes in adults. A consensus report by the American Diabetes Association (ADA) and the European Association for the Study of Diabetes (EASD). Diabetologia 2021, 64, 2609–2652. [Google Scholar] [CrossRef] [PubMed]
- Evert, A.B.; Dennison, M.; Gardner, C.D.; Garvey, W.T.; Lau, K.H.K.; MacLeod, J.; Mitri, J.; Pereira, R.F.; Rawlings, K.; Robinson, S.; et al. Nutrition Therapy for Adults with Diabetes or Prediabetes: A Consensus Report. Diabetes Care 2019, 42, 731–754. [Google Scholar] [CrossRef]
- Gillespie, S.J.; Kulkarni, K.D.; Daly, A.E. Using carbohydrate counting in diabetes clinical practice. J. Am. Diet. Assoc. 1998, 98, 897–905. [Google Scholar] [CrossRef]
- Bishop, F.K.; Maahs, D.M.; Spiegel, G.; Owen, D.; Klingensmith, G.J.; Bortsov, A.; Thomas, J.; Mayer-Davis, E.J. The carbohydrate counting in adolescents with type 1 diabetes (CCAT) study. Diabetes Spectr. 2009, 22, 56–62. [Google Scholar] [CrossRef]
- Brazeau, A.S.; Mircescu, H.; Desjardins, K.; Leroux, C.; Strychar, I.; Ekoé, J.M.; Rabasa-Lhoret, R. Carbohydrate counting accuracy and blood glucose variability in adults with type 1 diabetes. Diabetes Res. Clin. Pr. 2013, 99, 19–23. [Google Scholar] [CrossRef]
- Buck, S.; Krauss, C.; Waldenmaier, D.; Liebing, C.; Jendrike, N.; Högel, J.; Pfeiffer, B.M.; Haug, C.; Freckmann, G. Evaluation of Meal Carbohydrate Counting Errors in Patients with Type 1 Diabetes. Exp. Clin. Endocrinol. Diabetes 2022, 130, 475–483. [Google Scholar] [CrossRef]
- Cavanaugh, K.; Huizinga, M.M.; Wallston, K.A.; Gebretsadik, T.; Shintani, A.; Davis, D.; Gregory, R.P.; Fuchs, L.; Malone, R.; Cherrington, A.; et al. Association of numeracy and diabetes control. Ann. Intern. Med. 2008, 148, 737–746. [Google Scholar] [CrossRef]
- Marden, S.; Thomas, P.W.; Sheppard, Z.A.; Knott, J.; Lueddeke, J.; Kerr, D. Poor numeracy skills are associated with glycaemic control in Type 1 diabetes. Diabet. Med. 2012, 29, 662–669. [Google Scholar] [CrossRef]
- Meade, L.T.; Rushton, W.E. Accuracy of Carbohydrate Counting in Adults. Clin. Diabetes 2016, 34, 142–147. [Google Scholar] [CrossRef] [PubMed]
- Hommel, E.; Schmidt, S.; Vistisen, D.; Neergaard, K.; Gribhild, M.; Almdal, T.; Nørgaard, K. Effects of advanced carbohydrate counting guided by an automated bolus calculator in Type 1 diabetes mellitus (StenoABC): A 12-month, randomized clinical trial. Diabet. Med. 2017, 34, 708–715. [Google Scholar] [CrossRef] [PubMed]
- Schmidt, S.; Meldgaard, M.; Serifovski, N.; Storm, C.; Christensen, T.M.; Gade-Rasmussen, B.; Nørgaard, K. Use of an automated bolus calculator in MDI-treated type 1 diabetes: The BolusCal Study, a randomized controlled pilot study. Diabetes Care 2012, 35, 984–990. [Google Scholar] [CrossRef] [PubMed]
- Schmidt, S.; Vistisen, D.; Almdal, T.; Hommel, E.; Nørgaard, K. Exploring factors influencing HbA1c and psychosocial outcomes in people with type 1 diabetes after training in advanced carbohydrate counting. Diabetes Res. Clin. Pr. 2017, 130, 61–66. [Google Scholar] [CrossRef]
- Bell, K.J.; Barclay, A.W.; Petocz, P.; Colagiuri, S.; Brand-Miller, J.C. Efficacy of carbohydrate counting in type 1 diabetes: A systematic review and meta-analysis. Lancet Diabetes Endocrinol. 2014, 2, 133–140. [Google Scholar] [CrossRef]
- Fu, S.; Li, L.; Deng, S.; Zan, L.; Liu, Z. Effectiveness of advanced carbohydrate counting in type 1 diabetes mellitus: A systematic review and meta-analysis. Sci. Rep. 2016, 6, 37067. [Google Scholar] [CrossRef]
- Schmidt, S.; Schelde, B.; Norgaard, K. Effects of advanced carbohydrate counting in patients with type 1 diabetes: A systematic review. Diabet. Med. 2014, 31, 886–896. [Google Scholar] [CrossRef]
- Hwee, J.; Cauch-Dudek, K.; Victor, J.C.; Ng, R.; Shah, B.R. Diabetes education through group classes leads to better care and outcomes than individual counselling in adults: A population-based cohort study. Can. J. Public Health 2014, 105, e192–e197. [Google Scholar] [CrossRef]
- Toft, U.; Kristoffersen, L.; Ladelund, S.; Ovesen, L.; Lau, C.; Pisinger, C.; Smith, L.v.; Borch-Johnsen, K.; Jørgensen, T. The effect of adding group-based counselling to individual lifestyle counselling on changes in dietary intake. The Inter99 study—A randomized controlled trial. Int. J. Behav. Nutr. Phys. Act. 2008, 5, 59. [Google Scholar] [CrossRef]
- Ewers, B.; Vilsbøll, T.; Andersen, H.U.; Bruun, J.M. The dietary education trial in carbohydrate counting (DIET-CARB Study): Study protocol for a randomised, parallel, open-label, intervention study comparing different approaches to dietary self-management in patients with type 1 diabetes. BMJ Open 2019, 9, e029859. [Google Scholar] [CrossRef]
- Lee, P.H.; Macfarlane, D.J.; Lam, T.H.; Stewart, S.M. Validity of the International Physical Activity Questionnaire Short Form (IPAQ-SF): A systematic review. Int. J. Behav. Nutr. Phys. Act. 2011, 8, 115. [Google Scholar] [CrossRef] [PubMed]
- Dias, V.M.; Pandini, J.A.; Nunes, R.R.; Sperandei, S.L.; Portella, E.S.; Cobas, R.A.; Gomes, M.B. Effect of the carbohydrate counting method on glycemic control in patients with type 1 diabetes. Diabetol. Metab. Syndr. 2010, 2, 54. [Google Scholar] [CrossRef] [PubMed]
- Scavone, G.; Manto, A.; Pitocco, D.; Gagliardi, L.; Caputo, S.; Mancini, L.; Zaccardi, F.; Ghirlanda, G. Effect of carbohydrate counting and medical nutritional therapy on glycaemic control in Type 1 diabetic subjects: A pilot study. Diabet. Med. 2010, 27, 477–479. [Google Scholar] [CrossRef] [PubMed]
- Souto, D.L.; Zajdenverg, L.; Rodacki, M.; Rosado, E.L. Impact of advanced and basic carbohydrate counting methods on metabolic control in patients with type 1 diabetes. Nutrition 2014, 30, 286–290. [Google Scholar] [CrossRef]
- Battelino, T.; Danne, T.; Bergenstal, R.M.; Amiel, S.A.; Beck, R.; Biester, T.; Bosi, E.; Buckingham, B.A.; Cefalu, W.T.; Close, K.L.; et al. Clinical Targets for Continuous Glucose Monitoring Data Interpretation: Recommendations From the International Consensus on Time in Range. Diabetes Care 2019, 42, 1593–1603. [Google Scholar] [CrossRef]
- Ewers, B.; Bruun, J.M.; Vilsboll, T. Effects of basic carbohydrate counting versus standard outpatient nutritional education (The BCC Study): Study protocol for a randomised, parallel open-label, intervention study focusing on HbA1c and glucose variability in patients with type 2 diabetes. BMJ Open 2019, 9, e032893. [Google Scholar] [CrossRef]
- Perlis, R.H.; Haneuse, S.J.P.A.; Rubenfeld, G.D.; Fihn, S.D.; Rivara, F.P. Reporting Clinical Studies Affected by the COVID-19 Pandemic: Guidelines for Authors. JAMA Netw. Open 2021, 4, e2036155. [Google Scholar] [CrossRef]
- Benjamini, Y.; Hochberg, Y. Controlling the False Discovery Rate: A Practical and Powerful Approach to Multiple Testing. J. R. Stat. Soc. Ser. B (Methodol.) 1995, 57, 289–300. [Google Scholar] [CrossRef]
- Vaz, E.C.; Porfírio, G.J.M.; Nunes, H.R.C.; Nunes-Nogueira, V.D.S. Effectiveness and safety of carbohydrate counting in the management of adult patients with type 1 diabetes mellitus: A systematic review and meta-analysis. Arch. Endocrinol. Metabol. 2018, 62, 337–345. [Google Scholar] [CrossRef]
- Group, D.S. Training in flexible, intensive insulin management to enable dietary freedom in people with type 1 diabetes: Dose adjustment for normal eating (DAFNE) randomised controlled trial. BMJ 2002, 325, 746. [Google Scholar]
- Laurenzi, A.; Bolla, A.M.; Panigoni, G.; Doria, V.; Uccellatore, A.; Peretti, E.; Saibene, A.; Galimberti, G.; Bosi, E.; Scavini, M. Effects of carbohydrate counting on glucose control and quality of life over 24 weeks in adult patients with type 1 diabetes on continuous subcutaneous insulin infusion: A randomized, prospective clinical trial (GIOCAR). Diabetes Care 2011, 34, 823–827. [Google Scholar] [CrossRef] [PubMed]
- Trento, M.; Trinetta, A.; Kucich, C.; Grassi, G.; Passera, P.; Gennari, S.; Paganin, V.; Tedesco, S.; Charrier, L.; Cavallo, F.; et al. Carbohydrate counting improves coping ability and metabolic control in patients with Type 1 diabetes managed by Group Care. J. Endocrinol. Investig. 2011, 34, 101–105. [Google Scholar] [CrossRef] [PubMed]
- Ewers, B.; Blond, M.B.; Bruun, J.M.; Vilsbøll, T. Effects of basic carbohydrate counting versus standard dietary care for glycaemic control in type 2 diabetes (The BCC Study): A randomised, controlled trial. Nutr. Diabetes 2024, 14, 47. [Google Scholar] [CrossRef] [PubMed]
- Heitmann, B.L.; Lissner, L.; Osler, M. Do we eat less fat, or just report so? Int. J. Obes. Relat Metab Disord. 2000, 24, 435–442. [Google Scholar] [CrossRef]
- Rasmussen, L.B.; Matthiessen, J.; Biltoft-Jensen, A.; Tetens, I. Characteristics of misreporters of dietary intake and physical activity. Public. Health Nutr. 2007, 10, 230–237. [Google Scholar] [CrossRef]
- Matthiessen, J.; Biltoft-Jensen, A.P.; Stockmarr, A.; Fagt, S.; Christensen, T. Voksne Danskeres Kost- og Aktivitetsvaner Under den Første Nationale COVID-19 Nedlukning i Foråret 2020. The National Food Institute, Danish Technical University: Lyngby, Denmark, 2021; Volume 3, pp. 1–13. [Google Scholar]
- Danne, T.; Nimri, R.; Battelino, T.; Bergenstal, R.M.; Close, K.L.; DeVries, J.H.; Garg, S.; Heinemann, L.; Hirsch, I.; Amiel, S.A.; et al. International Consensus on Use of Continuous Glucose Monitoring. Diabetes Care 2017, 40, 1631–1640. [Google Scholar] [CrossRef]
- American Diabetes Association Professional Practice, Committee, 6. Glycemic Goals and Hypoglycemia: Standards of Care in Diabetes−2024. Diabetes Care 2024, 47 (Suppl. S1), S111–S125. [Google Scholar]
- Diabetes i tal. Diabetesforeningen, 2024 [Only available in Danish). Glostrup, Denmark. Available online: https://diabetes.dk (accessed on 1 October 2024).
- Beck, R.W.; Riddlesworth, T.; Ruedy, K.; Ahmann, A.; Bergenstal, R.; Haller, S.; Kollman, C.; Kruger, D.; McGill, J.B.; Polonsky, W.; et al. Effect of Continuous Glucose Monitoring on Glycemic Control in Adults with Type 1 Diabetes Using Insulin Injections: The DIAMOND Randomized Clinical Trial. JAMA 2017, 317, 371–378. [Google Scholar] [CrossRef]
- Cambuli, V.M.; Baroni, M.G. Intelligent Insulin vs. Artificial Intelligence for Type 1 Diabetes: Will the Real Winner Please Stand Up? Int. J. Mol. Sci. 2023, 24, 13139. [Google Scholar] [CrossRef]
- Petrovski, G.; Campbell, J.; Pasha, M.; Day, E.; Hussain, K.; Khalifa, A.; van den Heuvel, T. Simplified Meal Announcement Versus Precise Carbohydrate Counting in Adolescents with Type 1 Diabetes Using the MiniMed 780G Advanced Hybrid Closed Loop System: A Randomized Controlled Trial Comparing Glucose Control. Diabetes Care 2023, 46, 544–550. [Google Scholar] [CrossRef]
- Alfonsi, J.E.; Choi, E.E.Y.; Arshad, T.; Sammott, S.S.; Pais, V.; Nguyen, C.; Maguire, B.R.; Stinson, J.N.; Palmert, M.R. Carbohydrate Counting App Using Image Recognition for Youth with Type 1 Diabetes: Pilot Randomized Control Trial. JMIR Mhealth Uhealth 2020, 8, e22074. [Google Scholar] [CrossRef] [PubMed]
- Bally, L.; Dehais, J.; Nakas, C.T.; Anthimopoulos, M.; Laimer, M.; Rhyner, D.; Rosenberg, G.; Zueger, T.; Diem, P.; Mougiakakou, S.; et al. Carbohydrate Estimation Supported by the GoCARB System in Individuals with Type 1 Diabetes: A Randomized Prospective Pilot Study. Diabetes Care 2017, 40, e6–e7. [Google Scholar] [CrossRef] [PubMed]
- Vettoretti, M.; Cappon, G.; Facchinetti, A.; Sparacino, G. Advanced Diabetes Management Using Artificial Intelligence and Continuous Glucose Monitoring Sensors. Sensors 2020, 20, 3870. [Google Scholar] [CrossRef] [PubMed]




| Characteristics | Overall (n = 53 *) | BCC (n = 18 *) | ACC (n = 18 *) | Standard (n = 17 *) |
|---|---|---|---|---|
| Age (years) | 44 (38, 53) | 44 (39, 53) | 46 (39, 54) | 44 (32, 50) |
| Men, n (%) | 37 (70) | 12 (67) | 13 (72) | 12 (71) |
| Caucasian origin, n (%) | 52 (98) | 18 (100) | 18 (100) | 16 (94) |
| Diabetes duration (years) | 17 (10, 28) | 16 (9, 28) | 22 (12, 32) | 16 (12, 22) |
| Smoking, n (%) | ||||
| Current smoker | 11 (21) | 4 (22) | 4 (22) | 3 (18) |
| Previous smoker | 18 (34) | 4 (22) | 9 (50) | 5 (30) |
| Number of smoking years | 20 (15, 23) | 18 (13, 21) | 20 (15, 25) | 17 (15, 23) |
| Education, n (%) | ||||
| Elementary school | 1 (2) | 0 | 0 | 1 (6) |
| Upper secondary education | 4 (8) | 0 | 1 (6) | 3 (18) |
| Vocational | 15 (28) | 4 (22) | 5 (28) | 6 (35) |
| Short further (<3 y) | 4 (8) | 2 (11) | 2 (11) | 0 |
| Medium further (3–4 y) | 14 (26) | 5 (28) | 5 (28) | 4 (24) |
| Long further (>4 y) | 15 (28) | 7 (39) | 5 (28) | 3 (18) |
| Living situation, n (%) | ||||
| Alone 1 | 17 (32) | 6 (33) | 6 (33) | 5 (30) |
| With partner 1 | 36 (68) | 12 (67) | 12 (67) | 12 (70) |
| Glycemic control | ||||
| HbA1c, mmol/mol | 64 (58, 69) | 66 (57, 68) | 65 (62, 70) | 62 (57, 70) |
| HbA1c, % | 8.0 (7.5, 8.5) | 8.2 (7.4, 8.4) | 8.1 (7.8, 8.6) | 7.8 (7.4, 8.6) |
| MAGE, mmol/L | 6.2 (5.3, 8.1) | 5.9 (5.4, 8.2) | 6.5 (4.8, 8.0) | 6.2 (5.1, 7.8) |
| Mean p-glucose, mmol/L | 9.4 (8.2, 10.3) | 9.3 (7.8, 10.4) | 9.3 (8.9, 9.9) | 9.5 (7.9, 10.3) |
| CV, % | 37.2 (33.8, 43.0) | 36.9 (35.3, 41.8) | 39.8 (34.8, 42.2) | 37.9 (33.7, 44.6) |
| SD, mmol/L | 3.7 (3.1, 4.3 | 3.4 (2.9, 4.2) | 3.6 (3.2, 4.3) | 3.7 (3.5, 4.3) |
| TIR: % time spent 3.9−10.0 mmol/L | 56.0 (44.8, 64.7) | 56.3 (44.9, 67.3) | 54.2 (46.6, 63.0) | 56.0 (43.2, 65.2) |
| TAR: % time spent 10.1−13.9 mmol/L | 37.9 (27.1, 49.3) | 39.9 (24.2, 47.2) | 37.3 (32.4, 50.2) | 36.5 (26.2, 49.3) |
| TBR: % time spent 3.0–3.8 mmol/L | 3.4 (0.6, 8.5) | 3.8 (0.7, 8.5) | 2.1 (0.7, 7.3) | 4.8 (0.5, 8.6) |
| Body weight, kg | 81.0 (73.0, 90.6) | 83.2 (75.9, 94,3) | 78.1 (73.2, 83.0) | 79.2 (72.5, 90.6) |
| BMI, kg/m2 | 26.3 (24.7, 27.8) | 27.0 (25.3, 29.2) | 25.4 (23.3, 26.9) | 26.5 (25.2, 29.3) |
| Waist/Hip ratio, unitless | 0.98 (0.92, 1.03) | 0.99 (0.95, 1.04) | 0.99 (0.92, 1.03) | 0.98 (0.91, 1.02) |
| Systolic pressure, mmHg | 126 (116, 135) | 129 (119, 138) | 116 (112, 131) | 127 (123, 134) |
| Diastolic pressure, mmHg | 76 (71, 84) | 78 (74, 84) | 72 (68, 79) | 78 (73, 88) |
| LDL cholesterol, mmol/L | 2.4 (1.9, 2.9) | 2.7 (2.3, 2.9) | 2.2 (1.9, 2.6) | 2.5 (1.8, 2.9) |
| Open CGM/FGM users, n | 29 (55) | 9 (50) | 12 (67) | 8 (47) |
| Medication | ||||
| Basal insulin, units/day | 22 (18, 28) | 22 (18, 25) | 22 (16, 26) | 23 (19, 32) |
| Prandial insulin, units/day | 24 (18, 32) | 29 (21, 32) | 24 (13, 28) | 21 (12, 34) |
| GLP−1Ras, n (%) | 3 (6) | 1 (6) | 1 (6) | 1 (6) |
| Antihypertensives, n (%) | 13 (25) | 6 (33) | 3 (17) | 4 (24) |
| Lipid-lowering drugs, n (%) | 17 (32) | 5 (28) | 8 (44) | 4 (24) |
| CGM/FGM users, n (%) | 29 (55) | 9 (50) | 12 (66) | 8 (47) |
| Outcome | Group | Visit | Estimated Mean (95% CI) | Within-Group Changes (95% CI) | Diff. from Control (95% CI) | p-Value |
|---|---|---|---|---|---|---|
| HbA1c, mmol/mol | ALL | Baseline | 65 (63: 68) | |||
| Standard | Week 12 | 63 (60: 67) | −2 (−5: 1) | |||
| EOT | 62 (59: 65) | −3 (−6: −0) | ||||
| Follow-up | 61 (57: 66) | −4 (−8: 0) | ||||
| BCC | Week 12 | 62 (59: 66) | −3 (−6: −0) | −1 (−5: 3) | 0.563 | |
| EOT | 63 (60: 66) | −2 (−5: 0) | 1 (−3: 5) | 0.663 | ||
| Follow-up | 61 (57: 65) | −4 (−8: −0) | −0 (−6: 6) | 0.976 | ||
| ACC | Week 12 | 65 (62: 68) | −0 (−3: 2) | 2 (−2: 5) | 0.415 | |
| EOT | 62 (59: 65) | −4 (−6: −1) | −1 (−4: 3) | 0.779 | ||
| Follow-up | 63 (58: 67) | −3 (−7: 1) | 1 (−4: 7) | 0.653 | ||
| HbA1c, % | ALL | Baseline | 8.1 (7.9: 8.4) | |||
| Standard | Week 12 | 7.9 (7.6: 8.3) | −0.2 (−0.5: 0.1) | |||
| EOT | 7.8 (7.6: 8.1) | −0.3 (−0.6: −0.0) | ||||
| Follow-up | 7.7 (7.4: 8.2) | −0.4 (−0.7: 0.0) | ||||
| BCC | Week 12 | 8.2 (7.6: 8.2) | −0.3 (−0.6: −0.0) | −0.1 (−0.5: 0.3) | 0.563 | |
| EOT | 7.9 (7.6: 8.2) | −0.2 (−0.5: 0.0) | 0.1 (−0.3: 0.5) | 0.663 | ||
| Follow-up | 7.7 (7.4: 8.1) | −0.4 (−0.7: −0.0) | −0.0 (−0.6: 0.6) | 0.976 | ||
| ACC | Week 12 | 8.1 (7.8: 8.4) | −0.0 (−0.3: 0.2) | 0.2 (−0.2: 0.5) | 0.415 | |
| EOT | 8.2 (7.6: 8.1) | −0.4 (−0.6: −0.1) | −0.1 (−0.4: 0.3) | 0.779 | ||
| Follow-up | 7.9 (7.5: 8.3) | −0.3 (−0.6: 0.1) | 0.1 (−0.4: 0.6) | 0.653 | ||
| MAGEs, mmol/L | ALL | Baseline | 9.0 (8.4: 9.7) | |||
| Standard | EOT | 8.3 (7.3: 9.4) | −0.7 (−1.8: 0.4) | |||
| BCC | EOT | 8.7 (7.6: 9.8) | −0.3 (−1.5: 0.8) | 0.4 (−1.1: 1.9) | 0.590 | |
| ACC | EOT | 9.0 (7.9: 10.1) | −0.0 (−1.2: 1.1) | 0.7 (−0.8: 2.1) | 0.360 | |
| TIR, % | ALL | Baseline | 56.2 (51.6: 60.8) | |||
| Standard | EOT | 54.1 (46.7: 61.6) | −2.1 (−9.3: 5.2) | |||
| BCC | EOT | 55.4 (47.7: 63.0) | −0.8 (−8.4: 6.7) | 1.2 (−9.0: 11.4) | 0.809 | |
| ACC | EOT | 54.8 (47.3: 62.3) | −1.4 (−8.8: 6.0) | 0.7 (−9.4: 10.7) | 0.893 | |
| TBR, % * | ALL | Baseline | 3.6 (2.4: 5.3) | |||
| Standard | EOT | 5.4 (2.2: 13.1) | 49.5 (−40.9: 278.7) | |||
| BCC | EOT | 2.6 (1.0: 6.7) | −26.7 (−72.3: 93.7) | −51.0 (−86.6: 79.6) | 0.271 | |
| ACC | EOT | 3.3 (1.4: 7.7) | −8.4 (−62.5: 123.6) | −38.7 (−82.3: 111.9) | 0.427 | |
| TAR, % | ALL | Baseline | 38.4 (33.7: 43.1) | |||
| Standard | EOT | 38.9 (29.9: 47.9) | 0.4 (−8.3: 9.1) | |||
| BCC | EOT | 39.2 (29.9: 48.6) | 0.8 (−8.2: 9.9) | 0.4 (−12.0: 12.8) | 0.950 | |
| ACC | EOT | 38.1 (29.1: 47.2) | −0.3 (−9.1: 8.6) | −0.7 (−12.9: 11.5) | 0.907 | |
| Mean PG, mmol/L | ALL | Baseline | 9.4 (9.0: 9.9) | |||
| Standard | EOT | 9.3 (8.4: 10.2) | −0.1 (−1.0: 0.7) | |||
| BCC | EOT | 9.4 (8.5: 10.4) | 0.0 (−0.9: 0.9) | 0.2 (−1.1: 1.4) | 0.804 | |
| ACC | EOT | 9.3 (8.4: 10.2) | −0.1 (−1.0: 0.8) | 0.0 (−1.2: 1.3) | 0.939 | |
| Basal insulin dose, units/day * | ALL | Baseline | 23 (20: 25) | |||
| Standard | EOT | 22 (20: 25) | −2 (−8: 4) | |||
| Follow-up | 22 (20: 26) | −1 (−8: 7) | ||||
| BCC | EOT | 23 (20: 26) | −0 (−6: 6) | 2 (−6: 11) | 0.691 | |
| Follow-up | 23 (20: 26) | −0 (−7: 7) | 0 (−9: 11) | 0.935 | ||
| ACC | EOT | 23 (20: 26) | 0 (−6: 6) | 2 (−6: 11) | 0.62 | |
| Follow-up | 23 (20: 26) | 2 (−5: 10) | 3 (−7: 14) | 0.568 | ||
| Prandial insulin dose, units/day * | ALL | Baseline | 23 (20: 28) | |||
| Standard | EOT | 25 (22: 30) | 9 (−6: 26) | |||
| Follow-up | 26 (22: 32) | 13 (−5: 35) | ||||
| BCC | EOT | 26 (22: 31) | 12 (−4: 29) | 2 (−15: 24) | 0.805 | |
| Follow-up | 27 (23: 33) | 17 (−1: 38) | 3 (−18: 30) | 0.770 | ||
| ACC | EOT | 27 (23: 31) | 14 (−1: 32) | 5 (−13: 26) | 0.614 | |
| Follow-up | 30 (25: 36) | 27 (7: 51) | 12 (−11: 41) | 0.317 | ||
| TTD insulin, units/day * | ALL | Baseline | 47 (42: 54) | |||
| Standard | EOT | 49 (43: 56) | 3 (−4: 12) | |||
| Follow-up | 51 (44: 58) | 7 (−4: 18) | ||||
| BCC | EOT | 49 (43: 56) | 4 (−4: 12) | 0 (−10: 12) | 0.954 | |
| Follow-up | 51 (44: 58) | 6 (−3: 17) | −0 (−13: 14) | 0.971 | ||
| ACC | EOT | 50 (44: 57) | 5 (−3: 14) | 2 (−8: 14) | 0.710 | |
| Follow-up | 54 (47: 61) | 13 (2: 25) | 6 (−8: 22) | 0.404 | ||
| Median carb estimation errors, g * | ALL | Baseline | 33.3 (17.9: 62.0) | |||
| Standard | EOT | 24.9 (12.8: 48.7) | −25.0 (−63.6: 54.4) | |||
| Follow-up | 13.1 (6.1: 28.1) | −60.7 (−83.7: −5.1) | ||||
| BCC | EOT | 8.7 (4.4: 17.3) | −73.8 (−88.0: −42.8) | −65.0 (−86.1: −12.0) | 0.028 | |
| Follow-up | 13.1 (5.5: 31.5) | −60.5 (−85.5: 7.2) | 0.5 (−68.7: 222.7) | 0.993 | ||
| ACC | EOT | 8.7 (4.0: 19.1) | −73.8 (−88.8: −38.8) | −65.0 (−87.1: −5.4) | 0.040 | |
| Follow-up | 10.4 (4.3: 25.1) | −68.6 (−88.2: −16.3) | −20.1 (−75.1: 156.5) | 0.692 | ||
| Median carb estimation errors, % * | ALL | Baseline | 157 (120: 204) | |||
| Standard | EOT | 136 (108: 170) | −13 (−35: 16) | |||
| Follow-up | 126 (100: 158) | −20 (−42: 11) | ||||
| BCC | EOT | 119 (95: 149) | −24 (−43: 1) | −12 (−35: 19) | 0.400 | |
| Follow-up | 117 (94: 145) | −26 (−46: 2) | −7 (−32: 27) | 0.636 | ||
| ACC | EOT | 105 (84: 131) | −33 (−49: −11) | −23 (−43: 5) | 0.096 | |
| Follow-up | 116 (93: 145) | −26 (−46: 1) | −8 (−33: 27) | 0.619 |
Disclaimer/Publisher’s Note: The statements, opinions and data contained in all publications are solely those of the individual author(s) and contributor(s) and not of MDPI and/or the editor(s). MDPI and/or the editor(s) disclaim responsibility for any injury to people or property resulting from any ideas, methods, instructions or products referred to in the content. |
© 2024 by the authors. Licensee MDPI, Basel, Switzerland. This article is an open access article distributed under the terms and conditions of the Creative Commons Attribution (CC BY) license (https://creativecommons.org/licenses/by/4.0/).
Share and Cite
Ewers, B.; Blond, M.B.; Bruun, J.M.; Vilsbøll, T. Comparing the Effectiveness of Different Dietary Educational Approaches for Carbohydrate Counting on Glycemic Control in Adults with Type 1 Diabetes: Findings from the DIET-CARB Study, a Randomized Controlled Trial. Nutrients 2024, 16, 3745. https://doi.org/10.3390/nu16213745
Ewers B, Blond MB, Bruun JM, Vilsbøll T. Comparing the Effectiveness of Different Dietary Educational Approaches for Carbohydrate Counting on Glycemic Control in Adults with Type 1 Diabetes: Findings from the DIET-CARB Study, a Randomized Controlled Trial. Nutrients. 2024; 16(21):3745. https://doi.org/10.3390/nu16213745
Chicago/Turabian StyleEwers, Bettina, Martin Bæk Blond, Jens Meldgaard Bruun, and Tina Vilsbøll. 2024. "Comparing the Effectiveness of Different Dietary Educational Approaches for Carbohydrate Counting on Glycemic Control in Adults with Type 1 Diabetes: Findings from the DIET-CARB Study, a Randomized Controlled Trial" Nutrients 16, no. 21: 3745. https://doi.org/10.3390/nu16213745
APA StyleEwers, B., Blond, M. B., Bruun, J. M., & Vilsbøll, T. (2024). Comparing the Effectiveness of Different Dietary Educational Approaches for Carbohydrate Counting on Glycemic Control in Adults with Type 1 Diabetes: Findings from the DIET-CARB Study, a Randomized Controlled Trial. Nutrients, 16(21), 3745. https://doi.org/10.3390/nu16213745

