Exploring Total Immunoglobulin A’s Impact on Non-Biopsy Diagnosis of Celiac Disease: Implications for Diagnostic Accuracy
Abstract
1. Introduction
2. Materials and Methods
2.1. Study Design
2.2. Study Population
2.3. Laboratory Investigations
2.3.1. tTG-IgA Antibodies
2.3.2. Total IgA
2.4. Esophagogastroduodenoscopy (EGDS) and Histological Clues
2.5. Statistical Analysis
3. Results
3.1. Descriptive Statistics
3.2. Accuracy of Different tTG-IgA Cut-Offs in Predicting Villous Atrophy (Marsh 3)
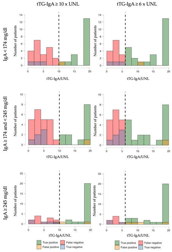
3.3. Influence of the Levels of Total IgA on the Accuracy of Different tTG-IgA Cut Offs
3.4. Abnormal Levels of Total IgA
4. Discussion
5. Conclusions
Author Contributions
Funding
Institutional Review Board Statement
Informed Consent Statement
Data Availability Statement
Acknowledgments
Conflicts of Interest
List of Abbreviations
| AUC | Area under the curve |
| CeD | Coeliac disease |
| EGDS | Esophagogastroduodenoscopy |
| EMA-IgA | Immunoglobulin A anti-endomysial antibodies |
| ESPGHAN | European Society Paediatric Gastroenterology, Hepatology and Nutrition |
| HLA | Human leukocyte antigen |
| IgA | Immunoglobulin A |
| IGAPD | Partial IgA deficiency |
| IGASD | Selective IgA deficiency |
| IQR | Interquartile range |
| NPV | Negative predictive value |
| PPV | Positive predictive value |
| ROC | Receiver operating characteristic |
| tTG-IgA | Immunoglobulin A anti-tissue transglutaminase antibodies |
| UNL | Upper normal level |
References
- Ludvigsson, J.F.; Leffler, D.A.; Bai, J.C.; Biagi, F.; Fasano, A.; Green, P.H.R.; Hadjivassiliou, M.; Kaukinen, K.; Kelly, C.P.; Leonard, J.N.; et al. The Oslo Definitions for Coeliac Disease and Related Terms. Gut 2013, 62, 43–52. [Google Scholar] [CrossRef] [PubMed]
- Leffler, D.A.; Green, P.H.R.; Fasano, A. Extraintestinal Manifestations of Coeliac Disease. Nat. Rev. Gastroenterol. Hepatol. 2015, 12, 561–571. [Google Scholar] [CrossRef] [PubMed]
- Raiteri, A.; Granito, A.; Giamperoli, A.; Catenaro, T.; Negrini, G.; Tovoli, F. Current Guidelines for the Management of Celiac Disease: A Systematic Review with Comparative Analysis. World J. Gastroenterol. 2022, 28, 154–176. [Google Scholar] [CrossRef] [PubMed]
- Husby, S.; Koletzko, S.; Korponay-Szabó, I.; Kurppa, K.; Mearin, M.L.; Ribes-Koninckx, C.; Shamir, R.; Troncone, R.; Auricchio, R.; Castillejo, G.; et al. European Society Paediatric Gastroenterology, Hepatology and Nutrition Guidelines for Diagnosing Coeliac Disease 2020. J. Pediatr. Gastroenterol. Nutr. 2020, 70, 141–156. [Google Scholar] [CrossRef] [PubMed]
- Hill, P.G.; Holmes, G.K.T. Coeliac Disease: A Biopsy Is Not Always Necessary for Diagnosis: Serological Diagnosis Of Coeliac Disease. Aliment. Pharmacol. Ther. 2008, 27, 572–577. [Google Scholar] [CrossRef] [PubMed]
- Penny, H.A.; Raju, S.A.; Lau, M.S.; Marks, L.J.; Baggus, E.M.; Bai, J.C.; Bassotti, G.; Bontkes, H.J.; Carroccio, A.; Danciu, M.; et al. Accuracy of a No-Biopsy Approach for the Diagnosis of Coeliac Disease across Different Adult Cohorts. Gut 2020, 70, 876–883. [Google Scholar] [CrossRef] [PubMed]
- Hoyle, A.; Gillett, P.; Gillett, H.R.; Borg, R.; Nottley, S.; Farrow, S.; Elgoweini, M.; Elhassan, M.; Fletcher, J.; Whannel, G.; et al. No-Biopsy Strategy for Coeliac Disease Is Applicable in Adult Patients: A ‘Real-World’ Scottish Experience. Frontline Gastroenterol. 2023, 14, 97–102. [Google Scholar] [CrossRef] [PubMed]
- Chow, M.A.; Lebwohl, B.; Reilly, N.R.; Green, P.H.R. Immunoglobulin A Deficiency in Celiac Disease. J. Clin. Gastroenterol. 2012, 46, 850–854. [Google Scholar] [CrossRef] [PubMed]
- Yel, L. Selective IgA Deficiency. J. Clin. Immunol. 2010, 30, 10–16. [Google Scholar] [CrossRef] [PubMed]
- Pallav, K.; Xu, H.; Leffler, D.A.; Kabbani, T.; Kelly, C.P. Immunoglobulin A Deficiency in Celiac Disease in the United States: IgA Deficiency in Celiac Disease. J. Gastroenterol. Hepatol. 2016, 31, 133–137. [Google Scholar] [CrossRef] [PubMed]
- McGowan, K.E.; Lyon, M.E.; Butzner, J.D. Celiac Disease and IgA Deficiency: Complications of Serological Testing Approaches Encountered in the Clinic. Clin. Chem. 2008, 54, 1203–1209. [Google Scholar] [CrossRef] [PubMed]
- Pallav, K.; Tariq, S.; Leffler, D.A.; Dennis, M.; Hansen, J.; Peer, A.; Schuppan, D.; Kelly, C.P. Serum IgA in Celiac Disease: The Unrecognized Importance of Partial IgA Deficiency. Gastroenterology 2011, 140, S439. [Google Scholar] [CrossRef]
- Dickey, W.; McMillan, S.A.; McCrum, E.E.; Evans, A.E. Association between Serum Levels of Total IgA and IgA Class Endomysial and Antigliadin Antibodies: Implications for Coeliac Disease Screening. Eur. J. Gastroenterol. Hepatol. 1997, 9, 559–562. [Google Scholar] [CrossRef] [PubMed]
- Copetti, V.; Pastore, S.; De Pieri, C.; Radillo, O.; Taddio, A.; Ventura, A.; Tommasini, A. Clinical Significance of Hyper-IgA in a Paediatric Laboratory Series. Arch. Dis. Child. 2014, 99, 1114–1116. [Google Scholar] [CrossRef] [PubMed][Green Version]
- Gonzalez-Quintela, A.; Alende, R.; Gude, F.; Campos, J.; Rey, J.; Meijide, L.M.; Fernandez-Merino, C.; Vidal, C. Serum Levels of Immunoglobulins (IgG, IgA, IgM) in a General Adult Population and Their Relationship with Alcohol Consumption, Smoking and Common Metabolic Abnormalities. Clin. Exp. Immunol. 2007, 151, 42–50. [Google Scholar] [CrossRef] [PubMed]
- Oberhuber, G.; Granditsch, G.; Vogelsang, H. The Histopathology of Coeliac Disease: Time for a Standardized Report Scheme for Pathologists. Eur. J. Gastroenterol. Hepatol. 1999, 11, 1185. [Google Scholar] [CrossRef] [PubMed]
- JASP Team. JASP, version 0.17.3. Computer Software. JASP: Amsterdam, The Netherlands, 2023.
- Baykan, A.R.; Cerrah, S.; Ciftel, S.; Vural, M.K.; Kasap, E. A No-Biopsy Approach for the Diagnosis of Celiac Disease in Adults: Can It Be Real? Cureus 2022, 14, e26521. [Google Scholar] [CrossRef] [PubMed]
- Di Tola, M.; Marino, M.; Goetze, S.; Casale, R.; Di Nardi, S.; Borghini, R.; Donato, G.; Tiberti, A.; Picarelli, A. Identification of a Serum Transglutaminase Threshold Value for the Noninvasive Diagnosis of Symptomatic Adult Celiac Disease Patients: A Retrospective Study. J. Gastroenterol. 2016, 51, 1031–1039. [Google Scholar] [CrossRef] [PubMed]
- Vivas, S.; Morales, J.G.R.D.; Riestra, S.; Arias, L.; Fuentes, D.; Alvarez, N.; Calleja, S.; Hernando, M.; Herrero, B.; Casqueiro, J.; et al. Duodenal Biopsy May Be Avoided When High Transglutaminase Antibody Titers Are Present. World J. Gastroenterol. 2009, 15, 4775. [Google Scholar] [CrossRef] [PubMed]


| Median | IQR | Min–Max | |
|---|---|---|---|
| 42 | 27–54 | 18–80 |
| 206.5 | 156.25–263.25 | 50.0–1079.0 |
| 58.0 | 24.0–128.0 | 7.0–128.0 |
| Number | % | ||
| 121/165 | 73% | |
| Histology | |||
| 14 | 8.5% | |
| 9 | 5.5% | |
| 35 | 21.2% | |
| 62 | 37.6% | |
| 45 | 27.2% | |
| Clinical picture | |||
| 124/165 | 75.2% | |
| 18/124 | 14.5% | |
| 106/124 | 85.5% | |
| 76/124 | 61.3% | |
| 33/124 | 27% | |
| 5/165 | 3.0% | |
| 37/165 | 22.4% | |
| 48/165 | 29.1% | |
| 23/165 | 13.9% |
| tTG-IgA | ≥10× UNL | 95% CI | ≥6× UNL | 95% CI |
|---|---|---|---|---|
| Sensitivity | 49.30% | 40.81–57.81% | 69.01% | 60.72–76.50% |
| Specificity | 82.61% | 61.22–95.05% | 73.91% | 51.59–89.77% |
| PPV | 94.59% | 87.61–97.74% | 94.23% | 89.06–97.04% |
| NPV | 20.88% | 17.08–25.27% | 27.87% | 21.48–35.30% |
| Accuracy | 53.94% | 46.02–61.72% | 69.70% | 62.70–76.60% |
| IgA < 174 mg/dL | IgA ≥ 174 and <245 mg/dL | IgA ≥ 245 mg/dL | ||||
|---|---|---|---|---|---|---|
| tTG-IgA | ≥10× UNL | ≥6× UNL | ≥10× UNL | ≥6× UNL | ≥10× UNL | ≥6× UNL |
| Sensitivity | 46.15% | 64.10% | 36.11% | 52.78% | 67.57% | 81.08% |
| Specificity | 75.00% | 75.00% | 85.71% | 85.71% | 71.43% | 42.86% |
| PPV | 94.74% | 96.15% | 92.86% | 95.00% | 92.59% | 88.24% |
| NPV | 12.50% | 17.65% | 20.69% | 26.09% | 29.41% | 30.00% |
| Accuracy | 48.84% | 65.12% | 44.19% | 58.14% | 68.18% | 75.00% |
Disclaimer/Publisher’s Note: The statements, opinions and data contained in all publications are solely those of the individual author(s) and contributor(s) and not of MDPI and/or the editor(s). MDPI and/or the editor(s) disclaim responsibility for any injury to people or property resulting from any ideas, methods, instructions or products referred to in the content. |
© 2024 by the authors. Licensee MDPI, Basel, Switzerland. This article is an open access article distributed under the terms and conditions of the Creative Commons Attribution (CC BY) license (https://creativecommons.org/licenses/by/4.0/).
Share and Cite
Raiteri, A.; Granito, A.; Pallotta, D.P.; Giamperoli, A.; Pratelli, A.; Monaco, G.; Faggiano, C.; Tovoli, F. Exploring Total Immunoglobulin A’s Impact on Non-Biopsy Diagnosis of Celiac Disease: Implications for Diagnostic Accuracy. Nutrients 2024, 16, 3195. https://doi.org/10.3390/nu16183195
Raiteri A, Granito A, Pallotta DP, Giamperoli A, Pratelli A, Monaco G, Faggiano C, Tovoli F. Exploring Total Immunoglobulin A’s Impact on Non-Biopsy Diagnosis of Celiac Disease: Implications for Diagnostic Accuracy. Nutrients. 2024; 16(18):3195. https://doi.org/10.3390/nu16183195
Chicago/Turabian StyleRaiteri, Alberto, Alessandro Granito, Dante Pio Pallotta, Alice Giamperoli, Agnese Pratelli, Giovanni Monaco, Chiara Faggiano, and Francesco Tovoli. 2024. "Exploring Total Immunoglobulin A’s Impact on Non-Biopsy Diagnosis of Celiac Disease: Implications for Diagnostic Accuracy" Nutrients 16, no. 18: 3195. https://doi.org/10.3390/nu16183195
APA StyleRaiteri, A., Granito, A., Pallotta, D. P., Giamperoli, A., Pratelli, A., Monaco, G., Faggiano, C., & Tovoli, F. (2024). Exploring Total Immunoglobulin A’s Impact on Non-Biopsy Diagnosis of Celiac Disease: Implications for Diagnostic Accuracy. Nutrients, 16(18), 3195. https://doi.org/10.3390/nu16183195

