Limosilactobacillus vaginalis Exerts Bifidogenic Effects: A Novel Postbiotic Strategy for Infant Prebiotic Supplementation
Abstract
:1. Introduction
2. Materials and Methods
2.1. Microorganisms and Culture Conditions
2.2. L. vaginalis BC17 Whole Genome Sequencing and Annotation
2.3. L. vaginalis BC17 Genome Analysis: Search for Virulence Factors and Antibiotic Resistance Genes
2.4. L. vaginalis BC17 Antimicrobial Susceptibility Testing
2.5. Heat Inactivation of L. vaginalis BC17 Cells
2.6. Bifidogenic and Antimicrobial Activity of Heat-Killed L. vaginalis BC17 Cells
2.7. Effects of Heat-Killed L. vaginalis BC17 Cells on Biofilms of Bifidobacterium spp. and Pathogens
2.8. Preparation of L. vaginalis BC17 Oil Suspension
2.9. Technological Characterization of L. vaginalis BC17 Oil Suspension
2.10. Functional Characterization of L. vaginalis BC17 Oil Suspension
2.11. Statistical Analysis
3. Results
3.1. L. vaginalis BC17 Genome Analysis
3.2. L. vaginalis BC17 Antimicrobial Susceptibility Testing
3.3. Heat Inactivation of L. vaginalis BC17 Cells and Lyophilization
3.4. Heat-Inactivated L. vaginalis BC17 Cells Promote Bifidobacterium spp. Growth
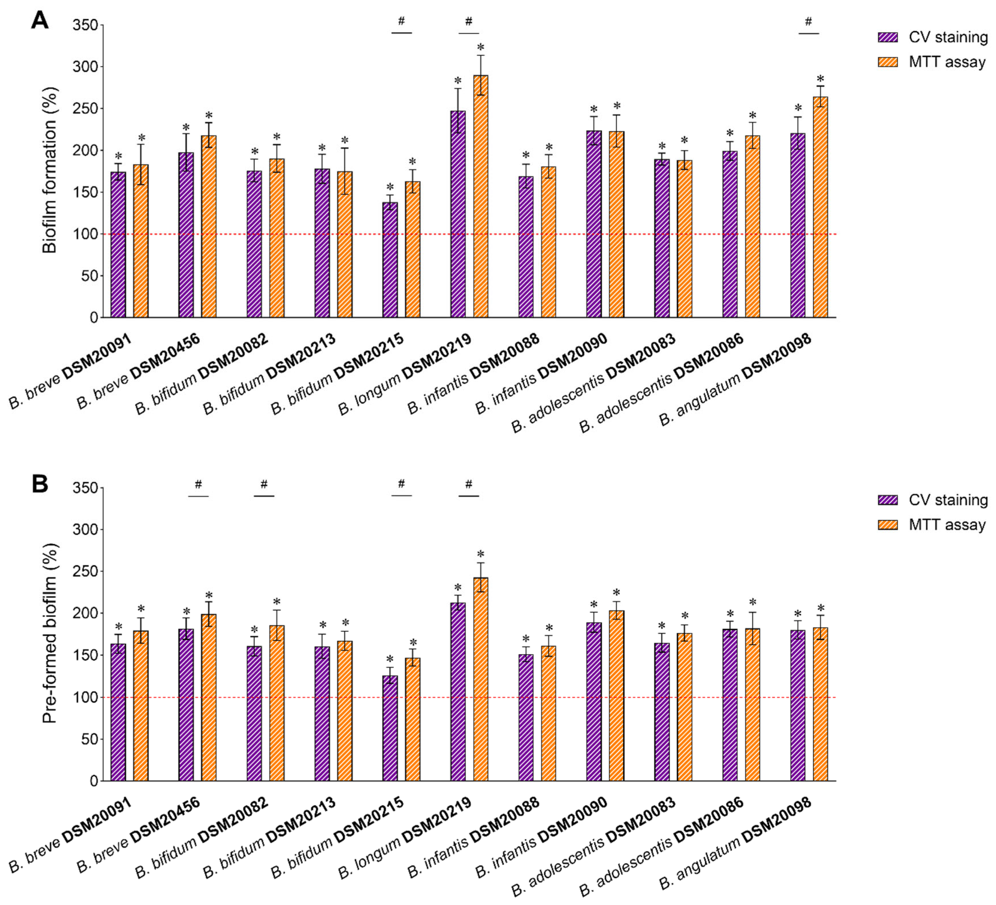
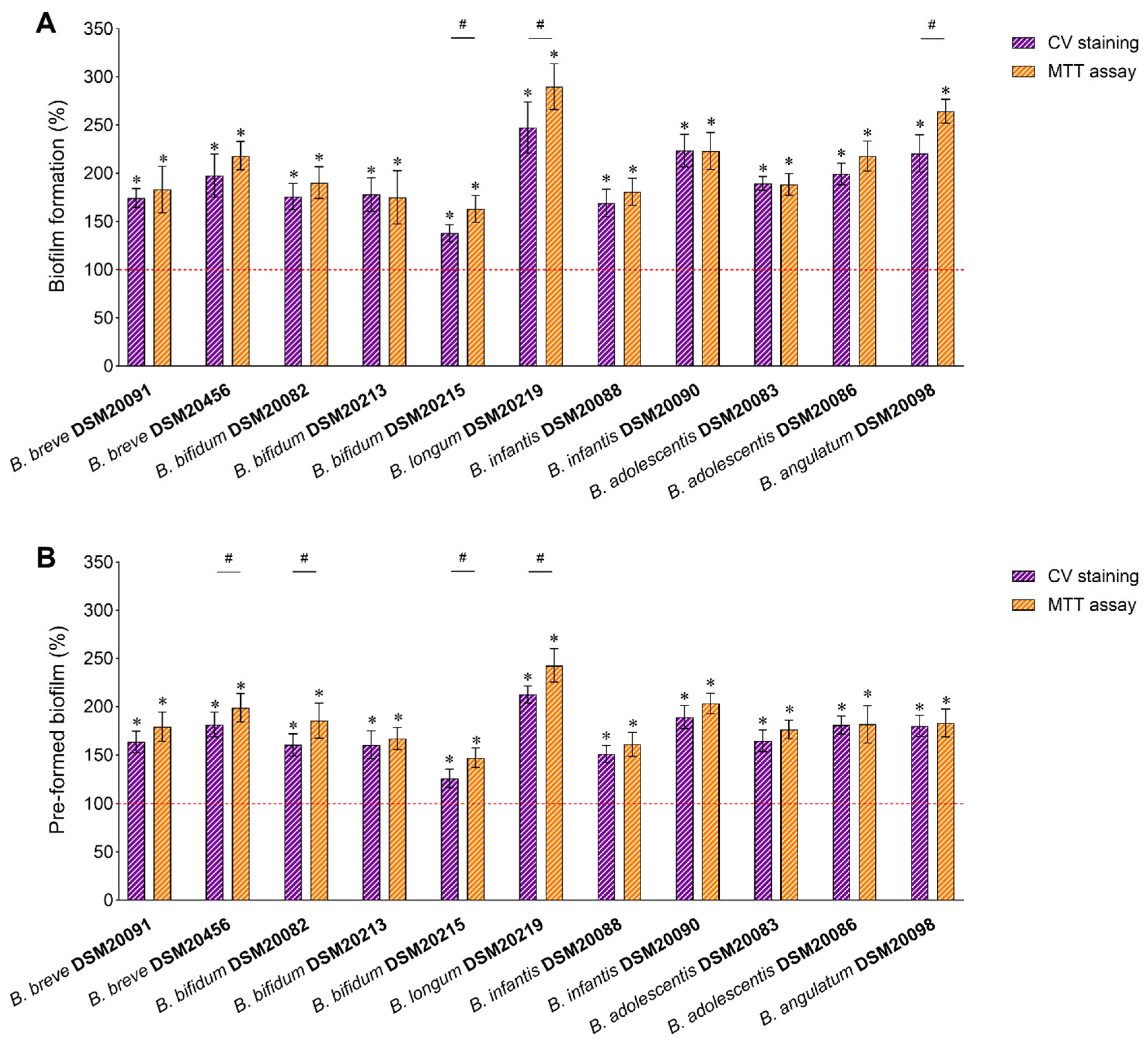
3.5. Heat-Inactivated L. vaginalis BC17 Cells Promote Bifidobacterium spp. Biofilms
3.6. Effects of Heat-Inactivated L. vaginalis BC17 on Human Pathogens
3.7. Preparation and Technological Characterization of L. vaginalis BC17 Oil Suspension
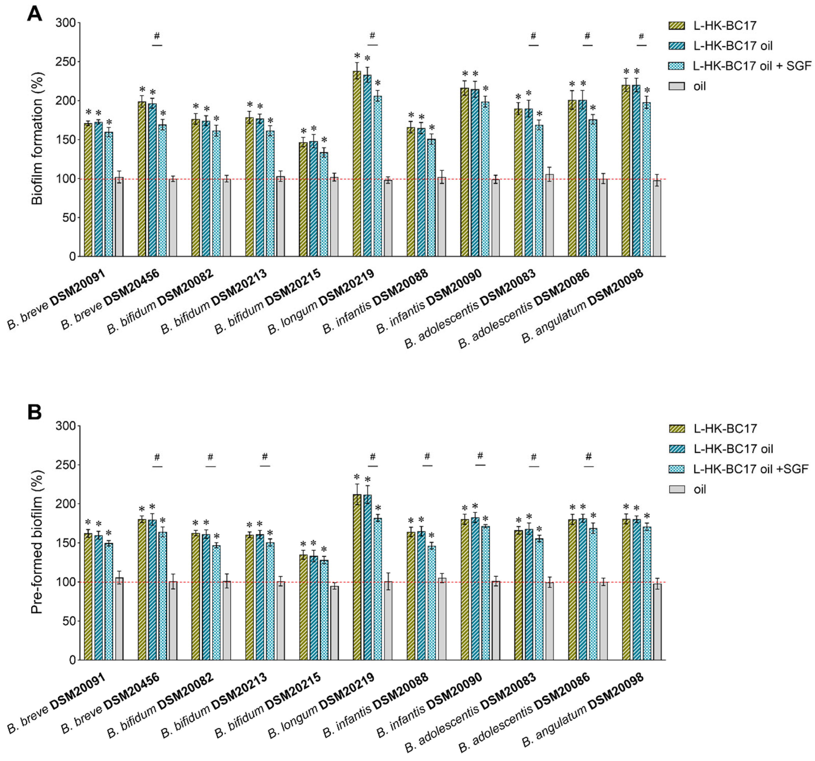
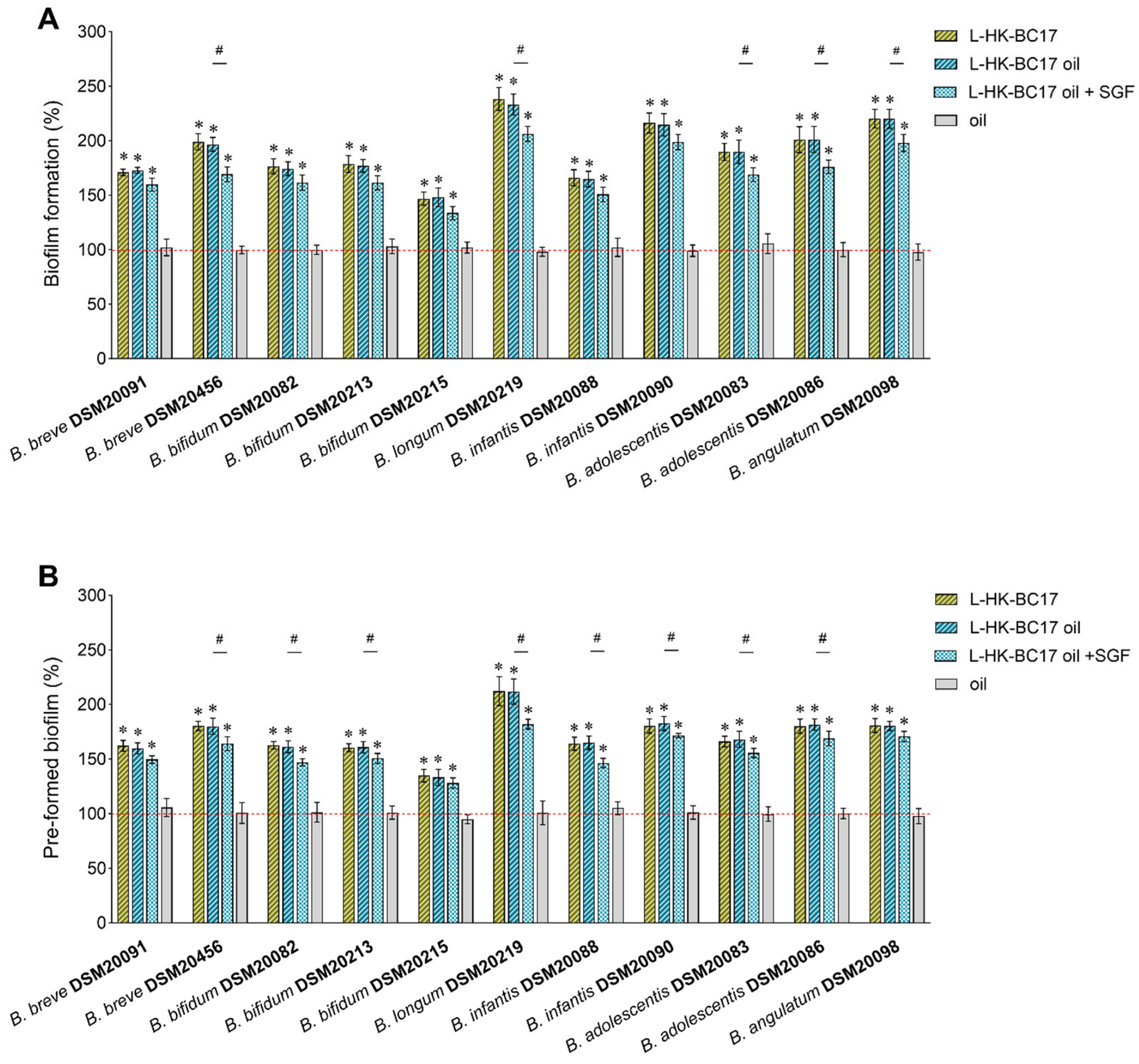
3.8. Functional Characterization of L. vaginalis BC17 Oil Suspension
4. Discussion
5. Conclusions
6. Patents
Author Contributions
Funding
Institutional Review Board Statement
Informed Consent Statement
Data Availability Statement
Conflicts of Interest
References
- Yao, Y.; Cai, X.; Ye, Y.; Wang, F.; Chen, F.; Zheng, C. The Role of Microbiota in Infant Health: From Early Life to Adulthood. Front. Immunol. 2021, 12, 708472. [Google Scholar] [CrossRef] [PubMed]
- Dominguez-Bello, M.G.; Costello, E.K.; Contreras, M.; Magris, M.; Hidalgo, G.; Fierer, N.; Knight, R. Delivery mode shapes the acquisition and structure of the initial microbiota across multiple body habitats in newborns. Proc. Natl. Acad. Sci. USA 2010, 107, 11971–11975. [Google Scholar] [CrossRef] [PubMed]
- Tamburini, S.; Shen, N.; Wu, H.C.; Clemente, J.C. The microbiome in early life: Implications for health outcomes. Nat. Med. 2016, 22, 713–722. [Google Scholar] [CrossRef]
- Belkaid, Y.; Hand, T.W. Role of the microbiota in immunity and inflammation. Cell 2014, 157, 121–141. [Google Scholar] [CrossRef]
- Kartjito, M.S.; Yosia, M.; Wasito, E.; Soloan, G.; Agussalim, A.F.; Basrowi, R.W. Defining the Relationship of Gut Microbiota, Immunity, and Cognition in Early Life—A Narrative Review. Nutrients 2023, 15, 2642. [Google Scholar] [CrossRef]
- Pinto Coelho, G.D.; Arial Ayres, L.F.; Barreto, D.S.; Henriques, B.D.; Cardoso Prado, M.R.M.; Dos Passos, C.M. Acquisition of microbiota according to the type of birth: An integrative review. Rev. Lat. Am. Enferm. 2021, 29, e3446. [Google Scholar] [CrossRef] [PubMed]
- Arboleya, S.; Suárez, M.; Fernández, N.; Mantecón, L.; Solís, G.; Gueimonde, M.; de los Reyes-Gavilán, C.G. C-section and the Neonatal Gut Microbiome Acquisition: Consequences for Future Health. Ann. Nutr. Metab. 2018, 73, 17–23. [Google Scholar] [CrossRef]
- Harmsen, H.J.M.; Wildeboer–Veloo, A.C.M.; Raangs, G.C.; Wagendorp, A.A.; Klijn, N.; Bindels, J.G.; Welling, G.W. Analysis of Intestinal Flora Development in Breast-Fed and Formula-Fed Infants by Using Molecular Identification and Detection Methods. J. Pediatr. Gastroenterol. Nutr. 2000, 30, 61–67. [Google Scholar] [CrossRef]
- Sanders, M.E.; Merenstein, D.J.; Ouwehand, A.C.; Reid, G.; Salminen, S.; Cabana, M.D.; Paraskevakos, G.; Leyer, G. Probiotic use in at-risk populations. J. Am. Pharm. Assoc. 2016, 56, 680–686. [Google Scholar] [CrossRef]
- Meini, S.; Laureano, R.; Fani, L.; Tascini, C.; Galano, A.; Antonelli, A.; Rossolini, G.M. Breakthrough Lactobacillus rhamnosus GG bacteremia associated with probiotic use in an adult patient with severe active ulcerative colitis: Case report and review of the literature. Infection 2015, 43, 777–781. [Google Scholar] [CrossRef]
- D’agostin, M.; Squillaci, D.; Lazzerini, M.; Barbi, E.; Wijers, L.; Da Lozzo, P. Invasive infections associated with the use of probiotics in children: A systematic review. Children 2021, 8, 924. [Google Scholar] [CrossRef]
- Colautti, A.; Arnoldi, M.; Comi, G.; Iacumin, L. Antibiotic resistance and virulence factors in lactobacilli: Something to carefully consider. Food Microbiol. 2022, 103, 103934. [Google Scholar] [CrossRef] [PubMed]
- EFSA. EFSA statement on the requirements for whole genome sequence analysis of microorganisms intentionally used in the food chain. EFSA J. 2021, 19, e06506. [Google Scholar]
- Hill, C.; Guarner, F.; Reid, G.; Gibson, G.R.; Merenstein, D.J.; Pot, B.; Morelli, L.; Canani, R.B.; Flint, H.J.; Salminen, S.; et al. Expert consensus document: The international scientific association for probiotics and prebiotics consensus statement on the scope and appropriate use of the term probiotic. Nat. Rev. Gastroenterol. Hepatol. 2014, 11, 506–514. [Google Scholar] [CrossRef]
- Salminen, S.; Collado, M.C.; Endo, A.; Hill, C.; Lebeer, S.; Quigley, E.M.M.; Sanders, M.E.; Shamir, R.; Swann, J.R.; Szajewska, H.; et al. The International Scientific Association of Probiotics and Prebiotics (ISAPP) consensus statement on the definition and scope of postbiotics. Nat. Rev. Gastroenterol. Hepatol. 2021, 18, 649–667. [Google Scholar] [CrossRef] [PubMed]
- Piqué, N.; Berlanga, M.; Miñana-Galbis, D. Health Benefits of Heat-Killed (Tyndallized) Probiotics: An Overview. Int. J. Mol. Sci. 2019, 20, 2534. [Google Scholar] [CrossRef] [PubMed]
- Parolin, C.; Marangoni, A.; Laghi, L.; Foschi, C.; Palomino, R.A.Ñ.; Calonghi, N.; Cevenini, R.; Vitali, B. Isolation of vaginal lactobacilli and characterization of anti-candida activity. PLoS ONE 2015, 10, e0131220. [Google Scholar] [CrossRef]
- Giordani, B.; Abruzzo, A.; Parolin, C.; Foschi, C.; Laghi, L.; Marangoni, A.; Luppi, B.; Vitali, B. Prebiotic Activity of Vaginal Lactobacilli on Bifidobacteria: From Concept to Formulation. Microbiol. Spectr. 2023, 11, e0200922. [Google Scholar] [CrossRef]
- Giordani, B.; Naldi, M.; Croatti, V.; Parolin, C.; Erdoğan, Ü.; Bartolini, M.; Vitali, B. Exopolysaccharides from vaginal lactobacilli modulate microbial biofilms. Microb. Cell Fact. 2023, 22, 45. [Google Scholar] [CrossRef]
- D’alessandro, M.; Parolin, C.; Patrignani, S.; Sottile, G.; Antonazzo, P.; Vitali, B.; Lanciotti, R.; Patrignani, F. Human Breast Milk: A Source of Potential Probiotic Candidates. Microorganisms 2022, 10, 1279. [Google Scholar] [CrossRef]
- Koren, S.; Walenz, B.P.; Berlin, K.; Miller, J.R.; Bergman, N.H.; Phillippy, A.M. Canu: Scalable and accurate long-read assembly via adaptive κ-mer weighting and repeat separation. Genome Res. 2017, 27, 722–736. [Google Scholar] [CrossRef]
- Schwengers, O.; Jelonek, L.; Dieckmann, M.A.; Beyvers, S.; Blom, J.; Goesmann, A. Bakta: Rapid and standardized annotation of bacterial genomes via alignment-free sequence identification. Microb. Genom. 2021, 7, 000685. [Google Scholar] [CrossRef]
- Parisio, E.M.; Camarlinghi, G.; Antonelli, A.; Coppi, M.; Mosconi, L.; Rossolini, G.M. Epidemiology and antibiotic susceptibility profiles of obligate anaerobes in a hospital of central Italy during a one-year (2019) survey. Anaerobe 2022, 78, 102666. [Google Scholar] [CrossRef]
- Alarie, H.; Roullin, V.G.; Leclair, G. Development of a safe and versatile suspension vehicle for pediatric use: Formulation development. Int. J. Pharm. 2019, 569, 118552. [Google Scholar] [CrossRef] [PubMed]
- Kathpalia, H.; Mittal, S.; Bhatia, V.; Pillai, P. Development and evaluation of a ready to use cefpodoxime proxetil suspension. Int. J. Pharm. Sci. Res. 2011, 2, 2173–2177. [Google Scholar]
- EFSA. Guidance on the assessment of bacterial susceptibility to antimicrobials of human and veterinary importance. EFSA J. 2012, 10, 2740. [Google Scholar] [CrossRef]
- Martin, R.; Makino, H.; Yavuz, A.C.; Ben-Amor, K.; Roelofs, M.; Ishikawa, E.; Kubota, H.; Swinkels, S.; Sakai, T.; Oishi, K.; et al. Early-Life events, including mode of delivery and type of feeding, siblings and gender, shape the developing gut microbiota. PLoS ONE 2016, 11, e0158498. [Google Scholar] [CrossRef]
- Motta, J.P.; Wallace, J.L.; Buret, A.G.; Deraison, C.; Vergnolle, N. Gastrointestinal biofilms in health and disease. Nat. Rev. Gastroenterol. Hepatol. 2021, 18, 314–334. [Google Scholar] [CrossRef]
- Neal-Kluever, A.; Fisher, J.; Grylack, L.; Kakiuchi-Kiyota, S.; Halpern, W. Physiology of the neonatal gastrointestinal system relevant to the disposition of orally administered medications. Drug Metab. Dispos. 2019, 47, 296–313. [Google Scholar] [CrossRef]
- Martín-Peláez, S.; Cano-Ibáñez, N.; Pinto-Gallardo, M.; Amezcua-Prieto, C. The Impact of Probiotics, Prebiotics, and Synbiotics during Pregnancy or Lactation on the Intestinal Microbiota of Children Born by Cesarean Section: A Systematic Review. Nutrients 2022, 14, 341. [Google Scholar] [CrossRef]
- Baglatzi, L.; Gavrili, S.; Stamouli, K.; Zachaki, S.; Favre, L.; Pecquet, S.; Benyacoub, J.; Costalos, C. Effect of Infant Formula Containing a Low Dose of the Probiotic Bifidobacterium lactis CNCM I-3446 on Immune and Gut Functions in C-Section Delivered Babies: A Pilot Study. Clin. Med. Insights Pediatr. 2016, 10, CMPed.S33096. [Google Scholar] [CrossRef] [PubMed]
- Cooper, P.; Bolton, K.D.; Velaphi, S.; De Groot, N.; Emady-Azar, S.; Pecquet, S.; Steenhout, P. Early Benefits of a Starter Formula Enriched in Prebiotics and Probiotics on the Gut Microbiota of Healthy Infants Born to HIV+ Mothers: A Randomized Double-Blind Controlled Trial. Clin. Med. Insights Pediatr. 2016, 10, CMPed.S40134. [Google Scholar] [CrossRef] [PubMed]
- Chua, M.C.; Ben-Amor, K.; Lay, C.; Neo, A.G.E.; Chiang, W.C.; Rao, R.; Chew, C.; Chaithongwongwatthana, S.; Khemapech, N.; Knol, J.; et al. Effect of Synbiotic on the Gut Microbiota of Cesarean Delivered Infants: A Randomized, Double-blind, Multicenter Study. J. Pediatr. Gastroenterol. Nutr. 2017, 65, 102–106. [Google Scholar] [CrossRef] [PubMed]
- Saviano, A.; Brigida, M.; Migneco, A.; Gunawardena, G.; Zanza, C.; Candelli, M.; Franceschi, F.; Ojetti, V. In Diarrhea and Constipation: Two Sides of the Same Coin? Medicine 2021, 17938, 1–9. [Google Scholar]
- Marzet, C.B.; Burgos, F.; Del Compare, M.; Gerold, I.; Tabacco, O.; Vinderola, G. Approach to probiotics in pediatrics: The role of Lactobacillus rhamnosus GG. Arch. Argent. Pediatr. 2022, 120, E1–E7. [Google Scholar] [CrossRef]
- Rodenas, C.L.G.; Lepage, M.; Ngom-Bru, C.; Fotiou, A.; Papagaroufalis, K.; Berger, B. Effect of formula containing Lactobacillus reuteri DSM 17938 on fecal microbiota of infants born by cesarean-section. J. Pediatr. Gastroenterol. Nutr. 2016, 63, 681–687. [Google Scholar] [CrossRef]
- Ravel, J.; Gajer, P.; Abdo, Z.; Schneider, G.M.; Koenig, S.S.K.; McCulle, S.L.; Karlebach, S.; Gorle, R.; Russell, J.; Tacket, C.O.; et al. Vaginal microbiome of reproductive-age women. Proc. Natl. Acad. Sci. USA 2011, 108, 4680–4687. [Google Scholar] [CrossRef]
- Ksiezarek, M.; Grosso, F.; Ribeiro, T.G.; Peixe, L. Genomic diversity of genus Limosilactobacillus. Microb. Genom. 2022, 8, 000847. [Google Scholar] [CrossRef]
- Dani, C.; Coviello, C.; Corsini, I.; Arena, F.; Antonelli, A.; Rossolini, G.M. Lactobacillus Sepsis and Probiotic Therapy in Newborns: Two New Cases and Literature Review. AJP Rep. 2015, 6, e25–e29. [Google Scholar] [CrossRef]
- Neu, J. Perinatal and neonatal manipulation of the intestinal microbiome: A note of caution. Nutr. Rev. 2007, 65, 282–285. [Google Scholar] [CrossRef]
- Zorzela, L.; Ardestani, S.K.; McFarland, L.V.; Vohra, S. Is there a role for modified probiotics as beneficial microbes: A systematic review of the literature. Benef. Microbes 2017, 8, 739–754. [Google Scholar] [CrossRef] [PubMed]
- Adams, C.A. The probiotic paradox: Live and dead cells are biological response modifiers. Nutr. Res. Rev. 2010, 23, 37–46. [Google Scholar] [CrossRef] [PubMed]
- Taverniti, V.; Guglielmetti, S. The immunomodulatory properties of probiotic microorganisms beyond their viability (ghost probiotics: Proposal of paraprobiotic concept). Genes Nutr. 2011, 6, 261–274. [Google Scholar] [CrossRef] [PubMed]
- Burta, O.; Iacobescu, C.; Mateescu, R.B.; Nicolaie, T.; Tiuca, N.; Pop, C.S. Efficacy and safety of APT036 versus simethicone in the treatment of functional bloating: A multicentre, randomised, double-blind, parallel group, clinical study. Transl. Gastroenterol. Hepatol. 2018, 3, 72. [Google Scholar] [CrossRef] [PubMed]
- Zhang, L.; Li, N.; Caicedo, R.; Neu, J. Alive and Dead Lactobacillus rhamnosus GG Decrease Tumor Necrosis Factor-α–Induced Interleukin-8 Production in Caco-2 Cells. J. Nutr. 2005, 135, 1752–1756. [Google Scholar] [CrossRef]
- Li, N.; Russell, W.M.; Douglas-Escobar, M.; Hauser, N.; Lopez, M.; Neu, J. Live and Heat-Killed Lactobacillus rhamnosus GG: Effects on Proinflammatory and Anti-Inflammatory Cytokines/Chemokines in Gastrostomy-Fed Infant Rats. Pediatr. Res. 2009, 66, 203–207. [Google Scholar] [CrossRef]
- Castro-Bravo, N.; Wells, J.M.; Margolles, A.; Ruas-Madiedo, P. Interactions of Surface Exopolysaccharides From Bifidobacterium and Lactobacillus Within the Intestinal Environment. Front. Microbiol. 2018, 9, 2426. [Google Scholar] [CrossRef]
- Chen, C.-Y.; Tsen, H.-Y.; Lin, C.-L.; Lin, C.-K.; Chuang, L.-T.; Chen, C.-S.; Chiang, Y.-C. Enhancement of the immune response against Salmonella infection of mice by heat-killed multispecies combinations of lactic acid bacteria. J. Med. Microbiol. 2013, 62, 1657–1664. [Google Scholar] [CrossRef]
- Warda, A.K.; Clooney, A.G.; Ryan, F.; de Almeida Bettio, P.H.; Di Benedetto, G.; Ross, R.P.; Hill, C. A Postbiotic Consisting of Heat-Treated Lactobacilli Has a Bifidogenic Effect in Pure Culture and in Human Fermented Fecal Communities. Appl. Environ. Microbiol. 2021, 87, e02459-20. [Google Scholar] [CrossRef]
- Miquel, S.; Verlaguet, J.; Garcin, S.; Bertran, T.; Evrard, B. Lacticaseibacillus rhamnosus Lcr35 Stimulates Epithelial Vaginal. Infect. Immun. 2022, 90, e0030922. [Google Scholar] [CrossRef]
- Kelly, S.M.; Lanigan, N.; O’Neill, I.J.; Bottacini, F.; Lugli, G.A.; Viappiani, A.; Turroni, F.; Ventura, M.; van Sinderen, D. Bifidobacterial biofilm formation is a multifactorial adaptive phenomenon in response to bile exposure. Sci. Rep. 2020, 10, 11598. [Google Scholar] [CrossRef]
- Bello, F.D.; Walter, J.; Hertel, C.; Hammes, W.P. In vitro study of Prebiotic Properties of Levan-type Exopolysaccharides from Lactobacilli and Non-digestible Carbohydrates Using Denaturing Gradient Gel Electrophoresis. Syst. Appl. Microbiol. 2001, 24, 232–237. [Google Scholar] [CrossRef] [PubMed]
- Kang, J.-E.; Kim, T.-J.; Moon, G.-S. A Novel Lactobacillus casei LP1 Producing 1,4-Dihydroxy-2-Naphthoic Acid, a Bifidogenic Growth Stimulator. Prev. Nutr. Food Sci. 2015, 20, 78–81. [Google Scholar] [CrossRef]
- Polak-Berecka, M.; Waśko, A.; Szwajgier, D.; Choma, A. Bifidogenic and antioxidant activity of exopolysaccharides produced by Lactobacillus rhamnosus E/N cultivated on different carbon sources. Pol. J. Microbiol. 2013, 62, 181–188. [Google Scholar] [CrossRef]
- FAO/WHO Probiotics in Food. Health and Nutritional Properties and Guidelines for Evaluation. FAO Food Nutr. Pap. 2006, 85. Available online: https://www.fao.org/3/a0512e/a0512e.pdf (accessed on 19 September 2023).
- Martinelli, M.; Ummarino, D.; Giugliano, F.P.; Sciorio, E.; Tortora, C.; Bruzzese, D.; De Giovanni, D.; Rutigliano, I.; Valenti, S.; Romano, C.; et al. Efficacy of a standardized extract of Matricariae chamomilla L., Melissa officinalis L. and tyndallized Lactobacillus acidophilus (HA122) in infantile colic: An open randomized controlled trial. Neurogastroenterol. Motil. 2017, 29, e13145. [Google Scholar] [CrossRef] [PubMed]
- Owusu, F.W.A.; Asare, C.O.; Enstie, P.; Adi-Dako, O.; Yeboah, G.N.; Kumadoh, D.; Tetteh-Annor, A.; Amenuke, E.M.; Karen, M. Formulation and in Vitro Evaluation of Oral Capsules and Suspension from the Ethanolic Extract of Cola nitida Seeds for the Treatment of Diarrhea. Biomed Res. Int. 2021, 2021, 6630449. [Google Scholar] [CrossRef]
- Ogaji, I.J.; Hoag, S.W. Effect of grewia gum as a suspending agent on ibuprofen pediatric formulation. AAPS PharmSciTech 2011, 12, 507–513. [Google Scholar] [CrossRef] [PubMed]








| Antibiotic | MIC for L. vaginalis BC17 | Microbiological Cut-Off Values for L. reuteri |
|---|---|---|
| Ampicillin | 0.125 | 2 |
| Clindamycin | <0.06 | 1 |
| Tetracycline | 1 | 16 |
| Vancomycin | >256 | n.r. |
| Gentamycin | 0.25 | 8 |
| Erythromycin | <0.03 | 1 |
| Kanamycin | 15 | 64 |
| Streptomycin | 7.5 | 64 |
Disclaimer/Publisher’s Note: The statements, opinions and data contained in all publications are solely those of the individual author(s) and contributor(s) and not of MDPI and/or the editor(s). MDPI and/or the editor(s) disclaim responsibility for any injury to people or property resulting from any ideas, methods, instructions or products referred to in the content. |
© 2023 by the authors. Licensee MDPI, Basel, Switzerland. This article is an open access article distributed under the terms and conditions of the Creative Commons Attribution (CC BY) license (https://creativecommons.org/licenses/by/4.0/).
Share and Cite
Giordani, B.; Parolin, C.; Abruzzo, A.; Foschi, C.; Marangoni, A.; Luppi, B.; Vitali, B. Limosilactobacillus vaginalis Exerts Bifidogenic Effects: A Novel Postbiotic Strategy for Infant Prebiotic Supplementation. Nutrients 2023, 15, 4433. https://doi.org/10.3390/nu15204433
Giordani B, Parolin C, Abruzzo A, Foschi C, Marangoni A, Luppi B, Vitali B. Limosilactobacillus vaginalis Exerts Bifidogenic Effects: A Novel Postbiotic Strategy for Infant Prebiotic Supplementation. Nutrients. 2023; 15(20):4433. https://doi.org/10.3390/nu15204433
Chicago/Turabian StyleGiordani, Barbara, Carola Parolin, Angela Abruzzo, Claudio Foschi, Antonella Marangoni, Barbara Luppi, and Beatrice Vitali. 2023. "Limosilactobacillus vaginalis Exerts Bifidogenic Effects: A Novel Postbiotic Strategy for Infant Prebiotic Supplementation" Nutrients 15, no. 20: 4433. https://doi.org/10.3390/nu15204433
APA StyleGiordani, B., Parolin, C., Abruzzo, A., Foschi, C., Marangoni, A., Luppi, B., & Vitali, B. (2023). Limosilactobacillus vaginalis Exerts Bifidogenic Effects: A Novel Postbiotic Strategy for Infant Prebiotic Supplementation. Nutrients, 15(20), 4433. https://doi.org/10.3390/nu15204433
