Quantity and Variety of Fruit and Vegetable Intake with Changes in Measures of Adiposity among Community-Dwelling Chinese Older Adults
Abstract
:1. Introduction
2. Materials and Methods
2.1. Study Participants
2.2. Fruit and Vegetable Intake Assessment
2.3. Fruit and Vegetable Variety Assessment
2.4. Changes in Measures of Adiposity between Baseline and the 4th Year Follow-Up
2.5. Covariate Assessments
2.6. Statistical Analyses
3. Results
3.1. Baseline Characteristics
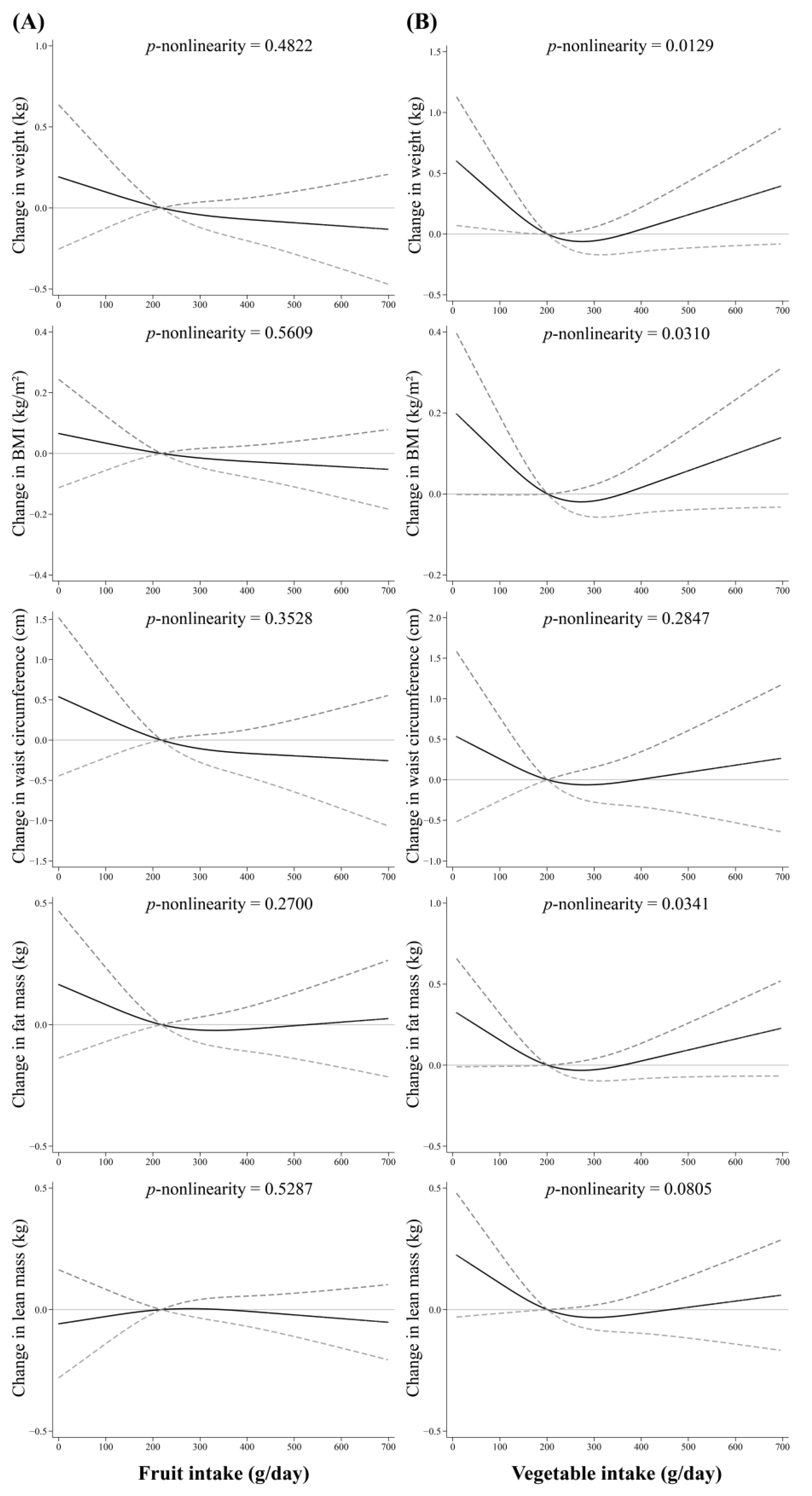
3.2. Associations between Fruit and Vegetable Intake and Changes in Measures of Adiposity
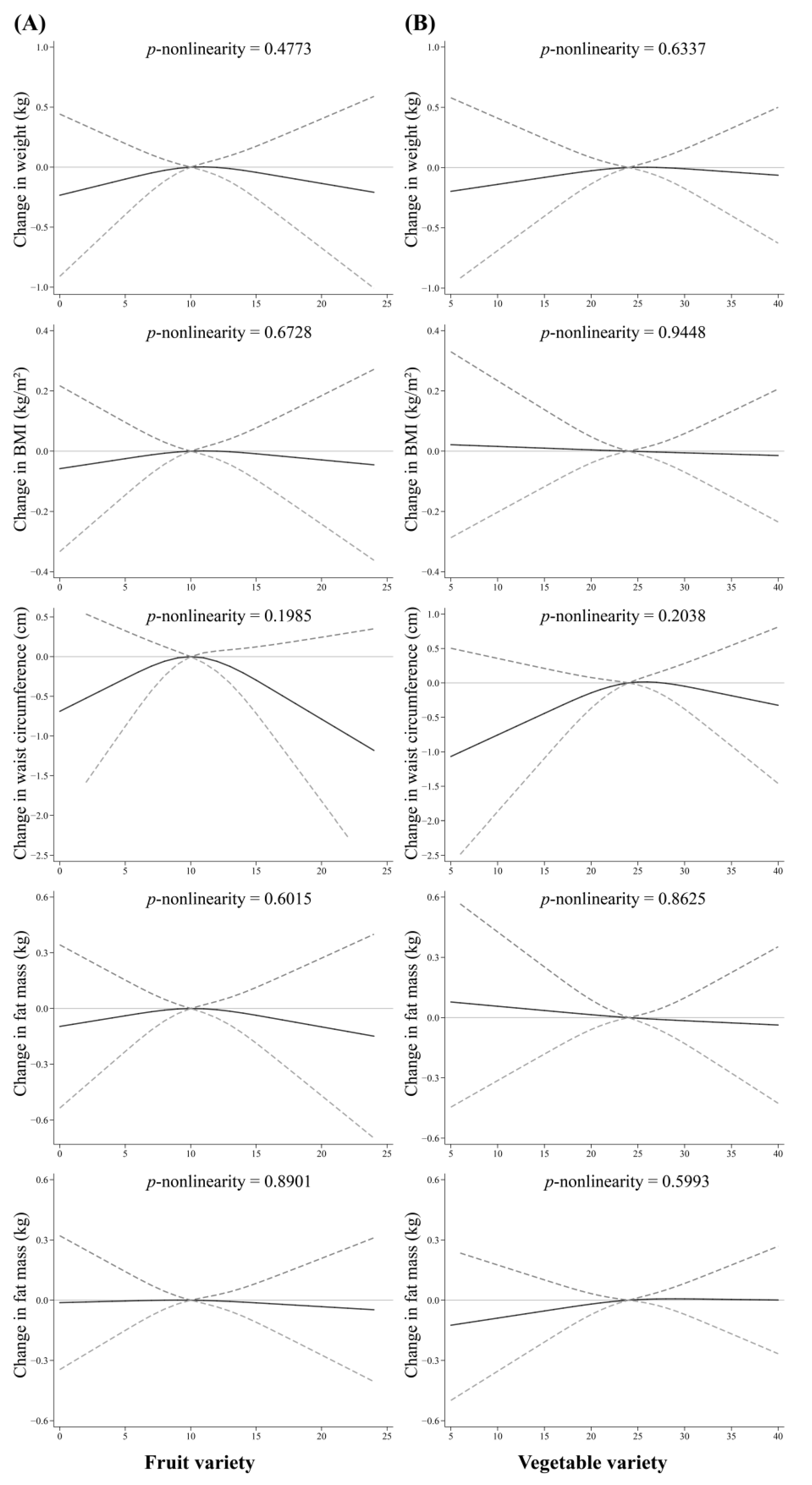
3.3. Associations between Fruit and Vegetable Variety and Changes in Measures of Adiposity
3.4. Associations between Fruit and Vegetable Intake and Variety and Weight Change in Different Baseline BMI
4. Discussion
5. Conclusions
Supplementary Materials
Author Contributions
Funding
Institutional Review Board Statement
Informed Consent Statement
Data Availability Statement
Acknowledgments
Conflicts of Interest
References
- Bales, C.W.; Starr, K.N.P. Obesity Interventions for Older Adults: Diet as a Determinant of Physical Function. Adv. Nutr. 2018, 9, 151–159. [Google Scholar] [CrossRef] [PubMed]
- Thomas, D.R. Loss of skeletal muscle mass in aging: Examining the relationship of starvation, sarcopenia and cachexia. Clin. Nutr. 2007, 26, 389–399. [Google Scholar] [CrossRef] [PubMed]
- Dhana, K.; Berghout, M.A.; Peeters, A.; Ikram, M.A.; Tiemeier, H.; Hofman, A.; Nusselder, W.; Kavousi, M.; Franco, O.H. Obesity in older adults and life expectancy with and without cardiovascular disease. Int. J. Obes. 2016, 40, 1535–1540. [Google Scholar] [CrossRef]
- Cruz-Jentoft, A.J.; Bahat, G.; Bauer, J.; Boirie, Y.; Bruyere, O.; Cederholm, T.; Cooper, C.; Landi, F.; Rolland, Y.; Sayer, A.A.; et al. Sarcopenia: Revised European consensus on definition and diagnosis. Age Ageing 2019, 48, 16–31. [Google Scholar] [CrossRef] [PubMed]
- Alharbi, T.A.; Paudel, S.; Gasevic, D.; Ryan, J.; Freak-Poli, R.; Owen, A.J. The association of weight change and all-cause mortality in older adults: A systematic review and meta-analysis. Age Ageing 2021, 50, 697–704. [Google Scholar] [CrossRef]
- Jahangir, E.; De Schutter, A.; Lavie, C.J. Low weight and overweightness in older adults: Risk and clinical management. Prog. Cardiovasc. Dis. 2014, 57, 127–133. [Google Scholar] [CrossRef] [PubMed]
- Ionita-Mindrican, C.B.; Ziani, K.; Mititelu, M.; Oprea, E.; Neacsu, S.M.; Morosan, E.; Dumitrescu, D.E.; Rosca, A.C.; Draganescu, D.; Negrei, C. Therapeutic Benefits and Dietary Restrictions of Fiber Intake: A State of the Art Review. Nutrients 2022, 14, 2641. [Google Scholar] [CrossRef]
- Lopez-Gonzalez, L.; Becerra-Tomas, N.; Babio, N.; Martinez-Gonzalez, M.A.; Nishi, S.K.; Corella, D.; Goday, A.; Romaguera, D.; Vioque, J.; Alonso-Gomez, A.M.; et al. One-year changes in fruit and vegetable variety intake and cardiometabolic risk factors changes in a middle-aged Mediterranean population at high cardiovascular risk. Eur. J. Clin. Nutr. 2022, 76, 1393–1402. [Google Scholar] [CrossRef]
- Zhang, Y.J.; Gan, R.Y.; Li, S.; Zhou, Y.; Li, A.N.; Xu, D.P.; Li, H.B. Antioxidant Phytochemicals for the Prevention and Treatment of Chronic Diseases. Molecules 2015, 20, 21138–21156. [Google Scholar] [CrossRef]
- González-Castejón, M.; Rodriguez-Casado, A. Dietary phytochemicals and their potential effects on obesity: A review. Phamacol. Res. 2011, 64, 438–455. [Google Scholar] [CrossRef]
- Johnson, R.J.; Lanaspa, M.A.; Sanchez-Lozada, L.G.; Tolan, D.; Nakagawa, T.; Ishimoto, T.; Andres-Hernando, A.; Rodriguez-Iturbe, B.; Stenvinkel, P. The fructose survival hypothesis for obesity. Philos. Trans. R. Soc. Lond. B Biol. Sci. 2023, 378, 20220230. [Google Scholar] [CrossRef] [PubMed]
- Mytton, O.T.; Nnoaham, K.; Eyles, H.; Scarborough, P.; Ni Mhurchu, C. Systematic review and meta-analysis of the effect of increased vegetable and fruit consumption on body weight and energy intake. BMC Public Health 2014, 14, 886. [Google Scholar] [CrossRef] [PubMed]
- Schlesinger, S.; Neuenschwander, M.; Schwedhelm, C.; Hoffmann, G.; Bechthold, A.; Boeing, H.; Schwingshackl, L. Food Groups and Risk of Overweight, Obesity, and Weight Gain: A Systematic Review and Dose-Response Meta-Analysis of Prospective Studies. Adv. Nutr. 2019, 10, 205–218. [Google Scholar] [CrossRef]
- Kaiser, K.A.; Brown, A.W.; Bohan Brown, M.M.; Shikany, J.M.; Mattes, R.D.; Allison, D.B. Increased fruit and vegetable intake has no discernible effect on weight loss: A systematic review and meta-analysis. Am. J. Clin. Nutr. 2014, 100, 567–576. [Google Scholar] [CrossRef] [PubMed]
- Bertoia, M.L.; Mukamal, K.J.; Cahill, L.E.; Hou, T.; Ludwig, D.S.; Mozaffarian, D.; Willett, W.C.; Hu, F.B.; Rimm, E.B. Changes in Intake of Fruits and Vegetables and Weight Change in United States Men and Women Followed for Up to 24 Years: Analysis from Three Prospective Cohort Studies. PLoS Med. 2015, 12, e1001878. [Google Scholar] [CrossRef] [PubMed]
- Yuan, S.; Yu, H.J.; Liu, M.W.; Huang, Y.; Yang, X.H.; Tang, B.W.; Song, Y.; Cao, Z.K.; Wu, H.J.; He, Q.Q.; et al. The association of fruit and vegetable consumption with changes in weight and body mass index in Chinese adults: A cohort study. Public Health 2018, 157, 121–126. [Google Scholar] [CrossRef]
- Vergnaud, A.C.; Norat, T.; Romaguera, D.; Mouw, T.; May, A.M.; Romieu, I.; Freisling, H.; Slimani, N.; Boutron-Ruault, M.C.; Clavel-Chapelon, F.; et al. Fruit and vegetable consumption and prospective weight change in participants of the European Prospective Investigation into Cancer and Nutrition-Physical Activity, Nutrition, Alcohol, Cessation of Smoking, Eating Out of Home, and Obesity study. Am. J. Clin. Nutr. 2012, 95, 184–193. [Google Scholar] [CrossRef]
- Wilunda, C.; Sawada, N.; Goto, A.; Yamaji, T.; Takachi, R.; Ishihara, J.; Mori, N.; Kotemori, A.; Iwasaki, M.; Tsugane, S. Associations between changes in fruit and vegetable consumption and weight change in Japanese adults. Eur. J. Nutr. 2021, 60, 217–227. [Google Scholar] [CrossRef]
- Ledoux, T.A.; Hingle, M.D.; Baranowski, T. Relationship of fruit and vegetable intake with adiposity: A systematic review. Obes. Rev. 2011, 12, e143–e150. [Google Scholar] [CrossRef]
- Slavin, J.L.; Lloyd, B. Health benefits of fruits and vegetables. Adv. Nutr. 2012, 3, 506–516. [Google Scholar] [CrossRef]
- Mirmiran, P.; Bahadoran, Z.; Moslehi, N.; Bastan, S.; Azizi, F. Colors of fruits and vegetables and 3-year changes of cardiometabolic risk factors in adults: Tehran lipid and glucose study. Eur. J. Clin. Nutr. 2015, 69, 1215–1219. [Google Scholar] [CrossRef] [PubMed]
- Lo, Y.T.; Chang, Y.H.; Lee, M.S.; Wahlqvist, M.L. Dietary diversity and food expenditure as indicators of food security in older Taiwanese. Appetite 2012, 58, 180–187. [Google Scholar] [CrossRef] [PubMed]
- Wong, S.Y.; Kwok, T.; Woo, J.; Lynn, H.; Griffith, J.F.; Leung, J.; Tang, Y.Y.; Leung, P.C. Bone mineral density and the risk of peripheral arterial disease in men and women: Results from Mr. and Ms Os, Hong Kong. Osteoporos. Int. 2005, 16, 1933–1938. [Google Scholar] [CrossRef] [PubMed]
- Woo, J.; Leung, S.S.F.; Ho, S.C.; Lam, T.H.; Janus, E.D. A food frequency questionnaire for use in the Chinese population in Hong Kong: Description and examination of validity. Nutr. Res. 1997, 17, 1633–1641. [Google Scholar] [CrossRef]
- Zhu, F.; Du, B.; Xu, B. Anti-inflammatory effects of phytochemicals from fruits, vegetables, and food legumes: A review. Crit Rev. Food Sci. Nutr. 2018, 58, 1260–1270. [Google Scholar] [CrossRef] [PubMed]
- Eichholzer, M.; Lüthy, J.; Gutzwiller, F.; Stähelin, H.B. The role of folate, antioxidant vitamins and other constituents in fruit and vegetables in the prevention of cardiovascular disease: The epidemiological evidence. Int. J. Vitam. Nutr. Res. 2001, 71, 5–17. [Google Scholar] [CrossRef]
- Lai, H.T.; Threapleton, D.E.; Day, A.J.; Williamson, G.; Cade, J.E.; Burley, V.J. Fruit intake and cardiovascular disease mortality in the UK Women’s Cohort Study. Eur. J. Epidemiol. 2015, 30, 1035–1048. [Google Scholar] [CrossRef]
- Yeung, S.S.Y.; Kwok, T.; Woo, J. Higher fruit and vegetable variety associated with lower risk of cognitive impairment in Chinese community-dwelling older men: A 4-year cohort study. Eur. J. Nutr. 2022, 61, 1791–1799. [Google Scholar] [CrossRef]
- Liu, B.; Woo, J.; Tang, N.; Ng, K.; Ip, R.; Yu, A. Assessment of total energy expenditure in a Chinese population by a physical activity questionnaire: Examination of validity. Int. J. Food Sci. Nutr. 2001, 52, 269–282. [Google Scholar] [CrossRef]
- Yang, Y.X.; Zhu, B. Chinese Food Composition Table 2004; Peking University Medical Press: Beijing, China, 2005. [Google Scholar]
- Paul, A.A.; Southgate, D.A.T. Mccance and Widdowson’s the Composition of Foods, 4th ed.; H.M. Stationery Office: London, UK, 1978. [Google Scholar]
- Woo, J.; Cheung, B.; Ho, S.; Sham, A.; Lam, T.H. Influence of dietary pattern on the development of overweight in a Chinese population. Eur. J. Clin. Nutr. 2008, 62, 480–487. [Google Scholar] [CrossRef]
- Cederholm, T.; Jensen, G.L.; Correia, M.; Gonzalez, M.C.; Fukushima, R.; Higashiguchi, T.; Baptista, G.; Barazzoni, R.; Blaauw, R.; Coats, A.; et al. GLIM criteria for the diagnosis of malnutrition—A consensus report from the global clinical nutrition community. Clin. Nutr. 2019, 38, 1–9. [Google Scholar] [CrossRef] [PubMed]
- Dreher, M.L.; Ford, N.A. A Comprehensive Critical Assessment of Increased Fruit and Vegetable Intake on Weight Loss in Women. Nutrients 2020, 12, 1919. [Google Scholar] [CrossRef] [PubMed]
- Schwingshackl, L.; Hoffmann, G.; Kalle-Uhlmann, T.; Arregui, M.; Buijsse, B.; Boeing, H. Fruit and Vegetable Consumption and Changes in Anthropometric Variables in Adult Populations: A Systematic Review and Meta-Analysis of Prospective Cohort Studies. PLoS ONE 2015, 10, e0140846. [Google Scholar] [CrossRef] [PubMed]
- Wang, D.D.; Li, Y.; Bhupathiraju, S.N.; Rosner, B.A.; Sun, Q.; Giovannucci, E.L.; Rimm, E.B.; Manson, J.E.; Willett, W.C.; Stampfer, M.J.; et al. Fruit and Vegetable Intake and Mortality: Results From 2 Prospective Cohort Studies of US Men and Women and a Meta-Analysis of 26 Cohort Studies. Circulation 2021, 143, 1642–1654. [Google Scholar] [CrossRef] [PubMed]
- Schwingshackl, L.; Hoffmann, G.; Lampousi, A.M.; Knuppel, S.; Iqbal, K.; Schwedhelm, C.; Bechthold, A.; Schlesinger, S.; Boeing, H. Food groups and risk of type 2 diabetes mellitus: A systematic review and meta-analysis of prospective studies. Eur. J. Epidemiol. 2017, 32, 363–375. [Google Scholar] [CrossRef] [PubMed]
- Carter, P.; Gray, L.J.; Troughton, J.; Khunti, K.; Davies, M.J. Fruit and vegetable intake and incidence of type 2 diabetes mellitus: Systematic review and meta-analysis. BMJ 2010, 341, c4229. [Google Scholar] [CrossRef]
- The Chinese Nutrition Society. Dietary Guidelines for Chinese Residents 2016. Available online: https://www.fao.org/nutrition/education/food-based-dietary-guidelines/regions/countries/china/en/ (accessed on 4 August 2023).
- Miller, V.; Mente, A.; Dehghan, M.; Rangarajan, S.; Zhang, X.; Swaminathan, S.; Dagenais, G.; Gupta, R.; Mohan, V.; Lear, S.; et al. Fruit, vegetable, and legume intake, and cardiovascular disease and deaths in 18 countries (PURE): A prospective cohort study. Lancet 2017, 390, 2037–2049. [Google Scholar] [CrossRef]
- Wallace, T.C.; Bailey, R.L.; Blumberg, J.B.; Burton-Freeman, B.; Chen, C.O.; Crowe-White, K.M.; Drewnowski, A.; Hooshmand, S.; Johnson, E.; Lewis, R.; et al. Fruits, vegetables, and health: A comprehensive narrative, umbrella review of the science and recommendations for enhanced public policy to improve intake. Crit. Rev. Food Sci. Nutr. 2020, 60, 2174–2211. [Google Scholar] [CrossRef]
- Leenders, M.; Boshuizen, H.C.; Ferrari, P.; Siersema, P.D.; Overvad, K.; Tjonneland, A.; Olsen, A.; Boutron-Ruault, M.C.; Dossus, L.; Dartois, L.; et al. Fruit and vegetable intake and cause-specific mortality in the EPIC study. Eur. J. Epidemiol. 2014, 29, 639–652. [Google Scholar] [CrossRef]
- Wang, J.; Liu, F.; Li, J.; Huang, K.; Yang, X.; Chen, J.; Liu, X.; Cao, J.; Chen, S.; Shen, C.; et al. Fruit and vegetable consumption, cardiovascular disease, and all-cause mortality in China. Sci. China Life Sci. 2022, 65, 119–128. [Google Scholar] [CrossRef]
- Yu, Z.M.; DeClercq, V.; Cui, Y.; Forbes, C.; Grandy, S.; Keats, M.; Parker, L.; Sweeney, E.; Dummer, T.J.B. Fruit and vegetable intake and body adiposity among populations in Eastern Canada: The Atlantic Partnership for Tomorrow’s Health Study. BMJ Open 2018, 8, e018060. [Google Scholar] [CrossRef]
- Colleluori, G.; Villareal, D.T. Aging, obesity, sarcopenia and the effect of diet and exercise intervention. Exp. Gerontol. 2021, 155, 111561. [Google Scholar] [CrossRef] [PubMed]
- Gariballa, S.; Al-Bluwi, G.S.M.; Yasin, J. Increased Fruit and Vegetable Consumption Mitigates Oxidative Damage and Associated Inflammatory Response in Obese Subjects Independent of Body Weight Change. Nutrients 2023, 15, 1638. [Google Scholar] [CrossRef] [PubMed]
- Kositsawat, J.; Duque, G.; Kirk, B. Nutrients with anabolic/anticatabolic, antioxidant, and anti-inflammatory properties: Targeting the biological mechanisms of aging to support musculoskeletal health. Exp. Gerontol. 2021, 154, 111521. [Google Scholar] [CrossRef] [PubMed]
- Charlton, K.; Kowal, P.; Soriano, M.M.; Williams, S.; Banks, E.; Vo, K.; Byles, J. Fruit and vegetable intake and body mass index in a large sample of middle-aged Australian men and women. Nutrients 2014, 6, 2305–2319. [Google Scholar] [CrossRef] [PubMed]
- Lamb, M.J.; Griffin, S.J.; Sharp, S.J.; Cooper, A.J. Fruit and vegetable intake and cardiovascular risk factors in people with newly diagnosed type 2 diabetes. Eur. J. Clin. Nutr. 2017, 71, 115–121. [Google Scholar] [CrossRef] [PubMed]
- Oude Griep, L.M.; Verschuren, W.M.; Kromhout, D.; Ocke, M.C.; Geleijnse, J.M. Variety in fruit and vegetable consumption and 10-year incidence of CHD and stroke. Public Health Nutr. 2012, 15, 2280–2286. [Google Scholar] [CrossRef]
- Bhupathiraju, S.N.; Wedick, N.M.; Pan, A.; Manson, J.E.; Rexrode, K.M.; Willett, W.C.; Rimm, E.B.; Hu, F.B. Quantity and variety in fruit and vegetable intake and risk of coronary heart disease. Am. J. Clin. Nutr. 2013, 98, 1514–1523. [Google Scholar] [CrossRef]
- Nicklett, E.J.; Kadell, A.R. Fruit and vegetable intake among older adults: A scoping review. Maturitas 2013, 75, 305–312. [Google Scholar] [CrossRef]
- Lopez-Gonzalez, L.; Becerra-Tomas, N.; Babio, N.; Martinez-Gonzalez, M.A.; Diaz-Lopez, A.; Corella, D.; Goday, A.; Romaguera, D.; Vioque, J.; Alonso-Gomez, A.M.; et al. Variety in fruits and vegetables, diet quality and lifestyle in an older adult mediterranean population. Clin. Nutr. 2021, 40, 1510–1518. [Google Scholar] [CrossRef]
- Centre for Food Safety, Food and Environmental Hygiene Department, The Government of the Hong Kong Special Administrative Region. Report of the Second Hong Kong Population-Based Food Consumption Survey. Available online: https://www.cfs.gov.hk/english/programme/programme_firm/files/2nd_FCS_Report_29_Jun_2021.pdf (accessed on 11 September 2023).
- Harrington, J.M.; Dahly, D.L.; Fitzgerald, A.P.; Gilthorpe, M.S.; Perry, I.J. Capturing changes in dietary patterns among older adults: A latent class analysis of an ageing Irish cohort. Public Health Nutr. 2014, 17, 2674–2686. [Google Scholar] [CrossRef] [PubMed]
- Census and Statistics Department, Hong Kong Special Administrative Region. Thematic Household Survey Report—Report No. 74. Available online: https://www.censtatd.gov.hk/en/data/stat_report/product/B1130201/att/B11302742021XXXXB0100.pdf (accessed on 11 September 2023).


| Characteristics | Study Population | 
|---|---|
| Fruit intake, g/day | 252.5 ± 185.4 | 
| Vegetable intake, g/day | 232.2 ± 150.0 | 
| Fruit variety | 10 (7–13) | 
| Vegetable variety | 24 (20–29) | 
| Age, year | 71.8 ± 4.8 | 
| Male, % | 52.0 | 
| Education, % | |
| No education | 18.3 | 
| Primary or below | 51.0 | 
| Secondary or above | 30.7 | 
| Current smoker, % | 6.4 | 
| Current alcohol drinker, % | 14.0 | 
| Subjective social status 2, rung | |
| Community Ladder | 6.9 ± 2.2 | 
| Hong Kong Ladder | 4.6 ± 1.9 | 
| Number of chronic diseases 3, % | |
| 0 | 62.1 | 
| 1 | 27.7 | 
| ≥2 | 10.3 | 
| PASE score | 95.7 ± 44.0 | 
| Energy intake, kcal/day | 1866.7 ± 577.1 | 
| DQI-I | 64.8 ± 9.3 | 
| Fiber intake, g/day | 9.4 ± 4.4 | 
| Vitamin C, mg/day | 159.4 ± 96.9 | 
| Weight, kg | 58.9 ± 9.6 | 
| BMI, kg/m2 | 23.7 ± 3.2 | 
| Waist circumference, cm | 86.3 ± 9.2 | 
| Fat mass, kg | 17.2 ± 5.2 | 
| Fat mass, % | 29.3 ± 7.2 | 
| Lean mass, kg | 41.2 ± 7.4 | 
| Lean mass, % | 70.7 ± 7.2 | 
| n (%) | Weight Gain, OR (95%CI) | |||
|---|---|---|---|---|
| Model 1 2 | Model 2 3 | Model 3 4 | ||
| Fruit intake | ||||
| Q1 | 68 (9.3) | 1.00 (Ref) | 1.00 (Ref) | 1.00 (Ref) | 
| Q2 | 70 (9.5) | 1.02 (0.72, 1.46) | 1.06 (0.73, 1.53) | 1.06 (0.73, 1.54) | 
| Q3 | 64 (8.7) | 0.95 (0.66, 1.36) | 0.97 (0.66, 1.43) | 1.00 (0.67, 1.48) | 
| Q4 | 63 (8.6) | 0.87 (0.61, 1.26) | 0.89 (0.58, 1.35) | 0.93 (0.61, 1.42) | 
| p-trend | 0.392 | 0.475 | 0.628 | |
| Vegetable intake | ||||
| Q1 | 76 (10.3) | 1.00 (Ref) | 1.00 (Ref) | 1.00 (Ref) | 
| Q2 | 66 (9.0) | 0.85 (0.59, 1.20) | 0.82 (0.57, 1.18) | 0.81 (0.56, 1.17) | 
| Q3 | 48 (6.5) | 0.58 (0.39, 0.85) | 0.56 (0.37, 0.84) | 0.55 (0.36, 0.83) | 
| Q4 | 75 (10.2) | 0.96 (0.68, 1.36) | 0.90 (0.60, 1.35) | 0.88 (0.58, 1.33) | 
| p-trend | 0.856 | 0.785 | 0.730 | |
| Fruit variety | ||||
| Q1 | 68 (9.1) | 1.00 (Ref) | 1.00 (Ref) | 1.00 (Ref) | 
| Q2 | 83 (9.7) | 1.09 (0.77, 1.53) | 1.04 (0.74, 1.48) | 1.04 (0.74, 1.48) | 
| Q3 | 68 (9.3) | 1.05 (0.73, 1.51) | 1.03 (0.71, 1.49) | 1.04 (0.71, 1.50) | 
| Q4 | 46 (7.5) | 0.80 (0.53, 1.19) | 0.74 (0.49, 1.12) | 0.75 (0.49, 1.15) | 
| p-trend | 0.300 | 0.207 | 0.239 | |
| Vegetable variety | ||||
| Q1 | 72 (8.9) | 1.00 (Ref) | 1.00 (Ref) | 1.00 (Ref) | 
| Q2 | 52 (7.6) | 0.87 (0.60, 1.27) | 0.86 (0.58, 1.26) | 0.90 (0.61, 1.32) | 
| Q3 | 84 (10.3) | 1.16 (0.82, 1.62) | 1.13 (0.80, 1.59) | 1.19 (0.84, 1.70) | 
| Q4 | 57 (9.0) | 1.03 (0.71, 1.51) | 0.99 (0.67, 1.47) | 1.04 (0.69, 1.54) | 
| p-trend | 0.568 | 0.743 | 0.583 | |
| BMI < 20.0 kg/m2 (n = 332) | BMI 20.0–24.9 kg/m2 (n = 1647) | BMI ≥ 25.0 kg/m2 (n = 965) | |
|---|---|---|---|
| Fruit intake | |||
| Q1 | 1.00 (Ref) | 1.00 (Ref) | 1.00 (Ref) | 
| Q2 | 1.38 (0.78, 2.47) | 1.12 (0.69, 1.84) | 1.06 (0.50, 2.23) | 
| Q3 | 0.92 (0.49, 1.75) | 1.16 (0.53, 1.94) | 0.79 (0.34, 1.81) | 
| Q4 | 1.21 (0.62, 2.35) | 0.86 (0.32, 1.53) | 1.19 (0.51, 2.76) | 
| p-trend | 0.466 | 0.508 | 0.735 | 
| Vegetable intake | |||
| Q1 | 1.00 (Ref) | 1.00 (Ref) | 1.00 (Ref) | 
| Q2 | 1.18 (0.47, 2.95) | 0.63 (0.38, 1.04) | 0.62 (0.29, 1.30) | 
| Q3 | 0.78 (0.28, 2.17) | 0.49 (0.28, 0.85) | 0.29 (0.11, 0.74) | 
| Q4 | 1.23 (0.43, 3.55) | 0.91 (0.53, 1.56) | 0.87 (0.39, 1.94) | 
| p-trend | 0.789 | 0.786 | 0.968 | 
| Fruit variety | |||
| Q1 | 1.00 (Ref) | 1.00 (Ref) | 1.00 (Ref) | 
| Q2 | 1.36 (0.79, 2.33) | 1.15 (0.72, 1.84) | 0.81 (0.41, 1.60) | 
| Q3 | 1.57 (0.89, 2.76) | 1.14 (0.70, 1.85) | 0.55 (0.25, 1.24) | 
| Q4 | 0.93 (0.48, 1.82) | 0.85 (0.48, 1.50) | 0.69 (0.30, 1.51) | 
| p-trend | 0.324 | 0.654 | 0.215 | 
| Vegetable variety | |||
| Q1 | 1.00 (Ref) | 1.00 (Ref) | 1.00 (Ref) | 
| Q2 | 1.17 (0.51, 2.69) | 1.01 (0.59, 1.73) | 0.61 (0.29, 1.32) | 
| Q3 | 1.67 (0.67, 4.15) | 1.45 (0.90, 2.35) | 0.93 (0.46, 1.88) | 
| Q4 | 0.89 (0.31, 2.54) | 1.19 (0.70, 2.04) | 0.76 (0.33, 1.73) | 
| p-trend | 0.917 | 0.309 | 0.631 | 
| Disclaimer/Publisher’s Note: The statements, opinions and data contained in all publications are solely those of the individual author(s) and contributor(s) and not of MDPI and/or the editor(s). MDPI and/or the editor(s) disclaim responsibility for any injury to people or property resulting from any ideas, methods, instructions or products referred to in the content. | 
© 2023 by the authors. Licensee MDPI, Basel, Switzerland. This article is an open access article distributed under the terms and conditions of the Creative Commons Attribution (CC BY) license (https://creativecommons.org/licenses/by/4.0/).
Share and Cite
Li, S.-Y.; Leung, J.C.S.; Lu, Z.-H.; Kwok, T.C.Y. Quantity and Variety of Fruit and Vegetable Intake with Changes in Measures of Adiposity among Community-Dwelling Chinese Older Adults. Nutrients 2023, 15, 4096. https://doi.org/10.3390/nu15194096
Li S-Y, Leung JCS, Lu Z-H, Kwok TCY. Quantity and Variety of Fruit and Vegetable Intake with Changes in Measures of Adiposity among Community-Dwelling Chinese Older Adults. Nutrients. 2023; 15(19):4096. https://doi.org/10.3390/nu15194096
Chicago/Turabian StyleLi, Shu-Yi, Jason C. S. Leung, Zhi-Hui Lu, and Timothy C. Y. Kwok. 2023. "Quantity and Variety of Fruit and Vegetable Intake with Changes in Measures of Adiposity among Community-Dwelling Chinese Older Adults" Nutrients 15, no. 19: 4096. https://doi.org/10.3390/nu15194096
APA StyleLi, S.-Y., Leung, J. C. S., Lu, Z.-H., & Kwok, T. C. Y. (2023). Quantity and Variety of Fruit and Vegetable Intake with Changes in Measures of Adiposity among Community-Dwelling Chinese Older Adults. Nutrients, 15(19), 4096. https://doi.org/10.3390/nu15194096
 
        


 
       