Physical Activity, Sun Exposure, Vitamin D Intake and Perceived Stress in Italian Adults
Abstract
1. Introduction
2. Materials and Methods
2.1. Study Design and Population
2.2. Physical Activity Assessment
2.3. Sun Exposure Assessment
2.4. Dietary Assessment
2.5. Covariate Assessment
2.6. Perceived Stress Assessment
2.7. Statistical Analysis
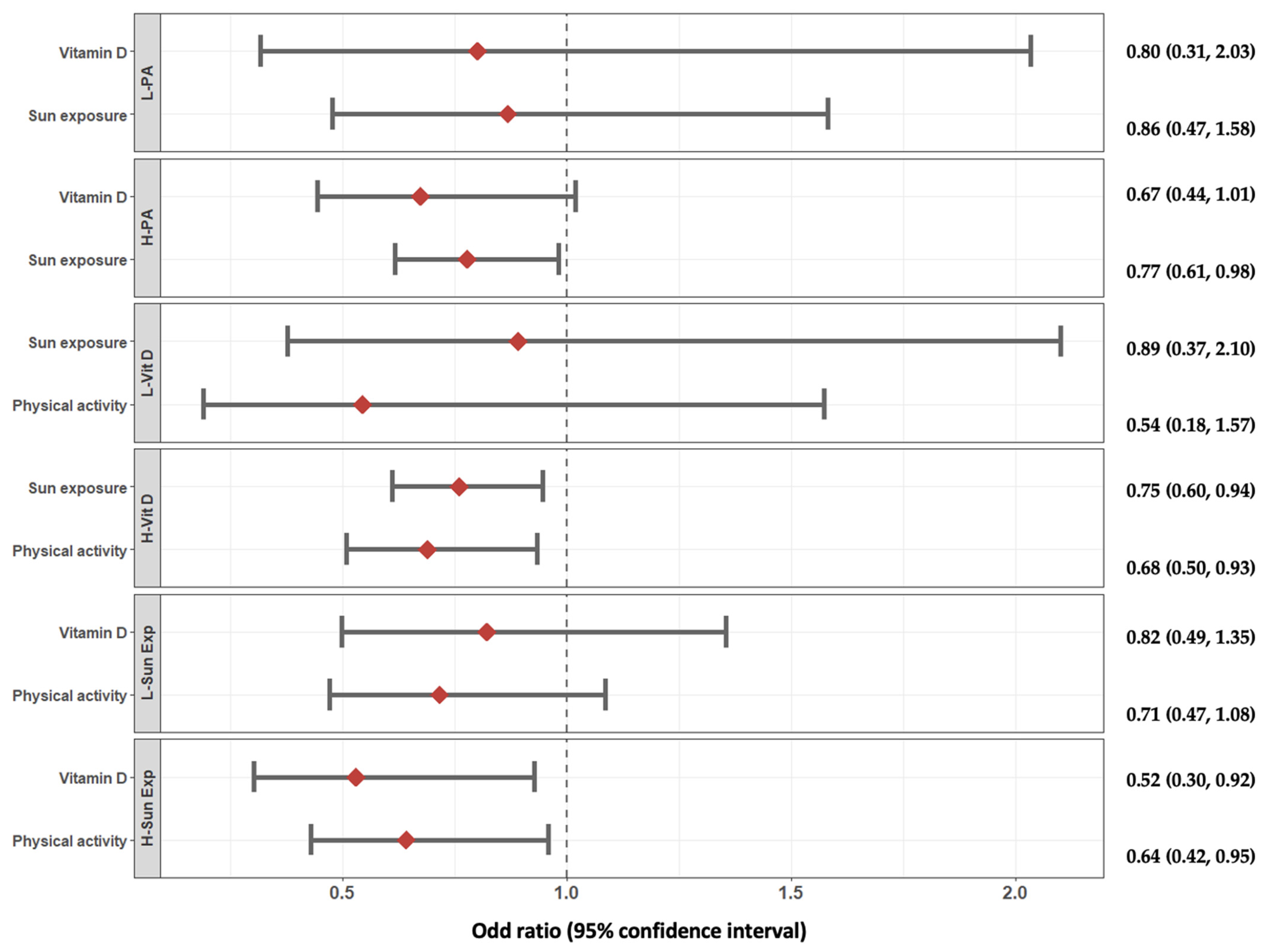
3. Results
4. Discussion
5. Conclusions
Author Contributions
Funding
Institutional Review Board Statement
Informed Consent Statement
Data Availability Statement
Conflicts of Interest
References
- Selye, H. The Stress of Life; McGraw-Hill: New York, NY, USA, 1956. [Google Scholar]
- Del Giudice, M.; Buck, C.L.; Chaby, L.E.; Gormally, B.M.; Taff, C.C.; Thawley, C.J.; Vitousek, M.N.; Wada, H. What is stress? A systems perspective. Integr. Comp. Biol. 2018, 58, 1019–1032. [Google Scholar] [CrossRef]
- McEwen, B.S. In pursuit of resilience: Stress, epigenetics, and brain plasticity. Ann. N. Y. Acad. Sci. 2016, 1373, 56–64. [Google Scholar] [CrossRef]
- Noushad, S.; Ahmed, S.; Ansari, B.; Mustafa, U.-H.; Saleem, Y.; Hazrat, H. Physiological biomarkers of chronic stress: A systematic review. Int. J. Health Sci. (Qassim) 2021, 15, 46–59. [Google Scholar]
- Olsen, L.R.; Mortensen, E.L.; Bech, P. Prevalence of major depression and stress indicators in the Danish general population. Acta Psychiatr. Scand. 2004, 109, 96–103. [Google Scholar] [CrossRef]
- Moritz, B.; Schmitz, A.E.; Rodrigues, A.L.S.; Dafre, A.L.; Cunha, M.P. The role of vitamin C in stress-related disorders. J. Nutr. Biochem. 2020, 85, 108459. [Google Scholar] [CrossRef] [PubMed]
- Godos, J.; Currenti, W.; Angelino, D.; Mena, P.; Castellano, S.; Caraci, F.; Galvano, F.; Del Rio, D.; Ferri, R.; Grosso, G. Diet and mental health: Review of the recent updates on molecular mechanisms. Antioxidants 2020, 9, 346. [Google Scholar] [CrossRef]
- Liang, M.; Pan, Y.; Zhong, T.; Zeng, Y.; Cheng, A.S.K. Effects of aerobic, resistance, and combined exercise on metabolic syndrome parameters and cardiovascular risk factors: A systematic review and network meta-analysis. Rev. Cardiovasc. Med. 2021, 22, 1523–1533. [Google Scholar] [CrossRef] [PubMed]
- Fransen, M.; McConnell, S.; Harmer, A.R.; Van der Esch, M.; Simic, M.; Bennell, K.L. Exercise for osteoarthritis of the knee: A Cochrane systematic review. Br. J. Sports Med. 2015, 49, 1554–1557. [Google Scholar] [CrossRef]
- Abou, L.; Alluri, A.; Fliflet, A.; Du, Y.; Rice, L.A. Effectiveness of Physical Therapy Interventions in Reducing Fear of Falling Among Individuals with Neurologic Diseases: A Systematic Review and Meta-analysis. Arch. Phys. Med. Rehabil. 2021, 102, 132–154. [Google Scholar] [CrossRef]
- Pearce, M.; Garcia, L.; Abbas, A.; Strain, T.; Schuch, F.B.; Golubic, R.; Kelly, P.; Khan, S.; Utukuri, M.; Laird, Y.; et al. Association between Physical Activity and Risk of Depression: A Systematic Review and Meta-analysis. JAMA Psychiatry 2022, 79, 550–559. [Google Scholar] [CrossRef] [PubMed]
- Thompson Coon, J.; Boddy, K.; Stein, K.; Whear, R.; Barton, J.; Depledge, M.H. Does participating in physical activity in outdoor natural environments have a greater effect on physical and mental wellbeing than physical activity indoors? A systematic review. Environ. Sci. Technol. 2011, 45, 1761–1772. [Google Scholar] [CrossRef]
- Kent, S.T.; McClure, L.A.; Crosson, W.L.; Arnett, D.K.; Wadley, V.G.; Sathiakumar, N. Effect of sunlight exposure on cognitive function among depressed and non-depressed participants: A REGARDS cross-sectional study. Environ. Health 2009, 8, 34. [Google Scholar] [CrossRef] [PubMed]
- Wacker, M.; Holick, M.F. Sunlight and vitamin D: A global perspective for health. Dermato-Endocrinology 2013, 5, 51–108. [Google Scholar] [CrossRef]
- Hossain, S.; Beydoun, M.A.; Beydoun, H.A.; Chen, X.; Zonderman, A.B.; Wood, R.J. Vitamin D and breast cancer: A systematic review and meta-analysis of observational studies. Clin. Nutr. ESPEN 2019, 30, 170–184. [Google Scholar] [CrossRef] [PubMed]
- Valer-Martinez, A.; Martinez, J.A.; Sayon-Orea, C.; Galvano, F.; Grosso, G.; Bes-Rastrollo, M. Vitamin D and Cardio-Metabolic Risk Factors in Overweight Adults: An Overview of the Evidence. Curr. Pharm. Des. 2019, 25, 2407–2420. [Google Scholar] [CrossRef]
- Wang, H.; Chen, W.; Li, D.; Yin, X.; Zhang, X.; Olsen, N.; Zheng, S.G. Vitamin D and chronic diseases. Aging Dis. 2017, 8, 346–353. [Google Scholar] [CrossRef] [PubMed]
- Li, S.; Xi, C.; Li, L.; Long, Z.; Zhang, N.; Yin, H.; Xie, K.; Wu, Z.; Tian, J.; Wang, F.; et al. Comparisons of different vitamin D supplementation for prevention of osteoporotic fractures: A Bayesian network meta-analysis and meta-regression of randomised controlled trials. Int. J. Food Sci. Nutr. 2021, 72, 518–528. [Google Scholar] [CrossRef]
- Li, H.; Sun, D.; Wang, A.; Pan, H.; Feng, W.; Ng, C.H.; Ungvari, G.S.; Tao, L.; Li, X.; Wang, W.; et al. Serum 25-Hydroxyvitamin D Levels and Depression in Older Adults: A Dose-Response Meta-Analysis of Prospective Cohort Studies. Am. J. Geriatr. Psychiatry 2019, 27, 1192–1202. [Google Scholar] [CrossRef]
- Gao, Q.; Kou, T.; Zhuang, B.; Ren, Y.; Dong, X.; Wang, Q. The Association between Vitamin D Deficiency and Sleep Disorders: A Systematic Review and Meta-Analysis. Nutrients 2018, 10, 1395. [Google Scholar] [CrossRef]
- Książek, A.; Zagrodna, A.; Słowińska-Lisowska, M. Vitamin D, Skeletal Muscle Function and Athletic Performance in Athletes-A Narrative Review. Nutrients 2019, 11, 1800. [Google Scholar] [CrossRef] [PubMed]
- Cashman, K.D.; Dowling, K.G.; Škrabáková, Z.; Gonzalez-Gross, M.; Valtueña, J.; De Henauw, S.; Moreno, L.; Damsgaard, C.T.; Michaelsen, K.F.; Mølgaard, C.; et al. Vitamin D deficiency in Europe: Pandemic? Am. J. Clin. Nutr. 2016, 103, 1033–1044. [Google Scholar] [CrossRef] [PubMed]
- Casseb, G.A.S.; Kaster, M.P.; Rodrigues, A.L.S. Potential role of vitamin D for the management of depression and anxiety. CNS Drugs 2019, 33, 619–637. [Google Scholar] [CrossRef] [PubMed]
- Grosso, G.; Marventano, S.; D’Urso, M.; Mistretta, A.; Galvano, F. The Mediterranean healthy eating, ageing, and lifestyle (MEAL) study: Rationale and study design. Int. J. Food Sci. Nutr. 2017, 68, 577–586. [Google Scholar] [CrossRef] [PubMed]
- Craig, C.L.; Marshall, A.L.; Sjöström, M.; Bauman, A.E.; Booth, M.L.; Ainsworth, B.E.; Pratt, M.; Ekelund, U.; Yngve, A.; Sallis, J.F.; et al. International physical activity questionnaire: 12-country reliability and validity. Med. Sci. Sports Exerc. 2003, 35, 1381–1395. [Google Scholar] [CrossRef] [PubMed]
- Humayun, Q.; Iqbal, R.; Azam, I.; Khan, A.H.; Siddiqui, A.R.; Baig-Ansari, N. Development and validation of sunlight exposure measurement questionnaire (SEM-Q) for use in adult population residing in Pakistan. BMC Public Health 2012, 12, 421. [Google Scholar] [CrossRef] [PubMed]
- Marventano, S.; Mistretta, A.; Platania, A.; Galvano, F.; Grosso, G. Reliability and relative validity of a food frequency questionnaire for Italian adults living in Sicily, Southern Italy. Int. J. Food Sci. Nutr. 2016, 67, 857–864. [Google Scholar] [CrossRef]
- Buscemi, S.; Rosafio, G.; Vasto, S.; Massenti, F.M.; Grosso, G.; Galvano, F.; Rini, N.; Barile, A.M.; Maniaci, V.; Cosentino, L.; et al. Validation of a food frequency questionnaire for use in Italian adults living in Sicily. Int. J. Food Sci. Nutr. 2015, 66, 426–438. [Google Scholar] [CrossRef]
- Tabelle Composizione Degli Alimenti CREA. Available online: https://www.crea.gov.it/-/tabella-di-composizione-degli-alimenti (accessed on 12 May 2021).
- Marventano, S.; Godos, J.; Platania, A.; Galvano, F.; Mistretta, A.; Grosso, G. Mediterranean diet adherence in the Mediterranean healthy eating, aging and lifestyle (MEAL) study cohort. Int. J. Food Sci. Nutr. 2018, 69, 100–107. [Google Scholar] [CrossRef]
- Godos, J.; Castellano, S.; Marranzano, M. Adherence to a Mediterranean Dietary Pattern Is Associated with Higher Quality of Life in a Cohort of Italian Adults. Nutrients 2019, 11, 981. [Google Scholar] [CrossRef]
- Mistretta, A.; Marventano, S.; Platania, A.; Godos, J.; Galvano, F.; Grosso, G. Metabolic profile of the Mediterranean healthy Eating, Lifestyle and Aging (MEAL) study cohort. Med. J. Nutr. Metab. 2017, 10, 131–140. [Google Scholar] [CrossRef]
- Cohen, S.; Kamarck, T.; Mermelstein, R. A global measure of perceived stress. J. Health Soc. Behav. 1983, 24, 385–396. [Google Scholar] [CrossRef]
- Hagen, K.B.; Dagfinrud, H.; Moe, R.H.; Østerås, N.; Kjeken, I.; Grotle, M.; Smedslund, G. Exercise therapy for bone and muscle health: An overview of systematic reviews. BMC Med. 2012, 10, 167. [Google Scholar] [CrossRef]
- Warburton, D.E.R.; Bredin, S.S.D. Health benefits of physical activity: A systematic review of current systematic reviews. Curr. Opin. Cardiol. 2017, 32, 541–556. [Google Scholar] [CrossRef] [PubMed]
- Sbert, P.R.; López González, Á.A.; Fe, B.R.; Fe, N.R.; Bote, S.A.; Manent, J.I.R. Influence of physical activity, the Mediterranean diet and sociodemographic variables on the values of different cardiovascular risk scales. Med. J. Nutr. Metab. 2022, 15, 273–284. [Google Scholar] [CrossRef]
- Schuch, F.B.; Vancampfort, D. Physical activity, exercise, and mental disorders: It is time to move on. Trends Psychiatry Psychother. 2021, 43, 177–184. [Google Scholar] [CrossRef]
- Naczenski, L.M.; de Vries, J.D.; van Hooff, M.L.M.; Kompier, M.A.J. Systematic review of the association between physical activity and burnout. J. Occup. Health 2017, 59, 477–494. [Google Scholar] [CrossRef] [PubMed]
- Ochentel, O.; Humphrey, C.; Pfeifer, K. Efficacy of Exercise Therapy in Persons with Burnout. A Systematic Review and Meta-Analysis. J. Sports Sci. Med. 2018, 17, 475–484. [Google Scholar]
- Carter, T.; Pascoe, M.; Bastounis, A.; Morres, I.D.; Callaghan, P.; Parker, A.G. The effect of physical activity on anxiety in children and young people: A systematic review and meta-analysis. J. Affect. Disord. 2021, 285, 10–21. [Google Scholar] [CrossRef] [PubMed]
- Kandola, A.; Stubbs, B. Exercise and Anxiety. Adv. Exp. Med. Biol. 2020, 1228, 345–352. [Google Scholar] [CrossRef] [PubMed]
- Bailey, A.P.; Hetrick, S.E.; Rosenbaum, S.; Purcell, R.; Parker, A.G. Treating depression with physical activity in adolescents and young adults: A systematic review and meta-analysis of randomised controlled trials. Psychol. Med. 2018, 48, 1068–1083. [Google Scholar] [CrossRef] [PubMed]
- Bhuiyan, N.; Kang, J.H.; Papalia, Z.; Bopp, C.M.; Bopp, M.; Mama, S.K. Assessing the stress-buffering effects of social support for exercise on physical activity, sitting time, and blood lipid profiles. J. Am. Coll. Health 2022, 70, 1563–1569. [Google Scholar] [CrossRef] [PubMed]
- Ramos-Sanchez, C.P.; Schuch, F.B.; Seedat, S.; Louw, Q.A.; Stubbs, B.; Rosenbaum, S.; Firth, J.; van Winkel, R.; Vancampfort, D. The anxiolytic effects of exercise for people with anxiety and related disorders: An update of the available meta-analytic evidence. Psychiatry Res. 2021, 302, 114046. [Google Scholar] [CrossRef] [PubMed]
- Dinas, P.C.; Koutedakis, Y.; Flouris, A.D. Effects of exercise and physical activity on depression. Ir. J. Med. Sci. 2011, 180, 319–325. [Google Scholar] [CrossRef]
- Puett, R.; Teas, J.; España-Romero, V.; Artero, E.G.; Lee, D.; Baruth, M.; Sui, X.; Montresor-López, J.; Blair, S.N. Physical activity: Does environment make a difference for tension, stress, emotional outlook, and perceptions of health status? J. Phys. Act. Health 2014, 11, 1503–1511. [Google Scholar] [CrossRef]
- Hwang, H.-J.; Choi, Y.-J.; Hong, D. The Association between Self-Rated Health Status, Psychosocial Stress, Eating Behaviors, and Food Intake According to the Level of Sunlight Exposure in Korean Adults. Int. J. Environ. Res. Public Health 2022, 20, 262. [Google Scholar] [CrossRef]
- Fernandez, D.C.; Fogerson, P.M.; Lazzerini Ospri, L.; Thomsen, M.B.; Layne, R.M.; Severin, D.; Zhan, J.; Singer, J.H.; Kirkwood, A.; Zhao, H.; et al. Light Affects Mood and Learning through Distinct Retina-Brain Pathways. Cell 2018, 175, 71–84.e18. [Google Scholar] [CrossRef]
- Chen, L.; Zhu, H.; Harshfield, G.A.; Treiber, F.A.; Pollock, J.S.; Pollock, D.; Okereke, O.I.; Su, S.; Dong, Y. Serum 25-Hydroxyvitamin D Concentrations Are Associated with Mental Health and Psychosocial Stress in Young Adults. Nutrients 2020, 12, 1938. [Google Scholar] [CrossRef] [PubMed]
- Eyles, D.W.; Smith, S.; Kinobe, R.; Hewison, M.; McGrath, J.J. Distribution of the vitamin D receptor and 1 alpha-hydroxylase in human brain. J. Chem. Neuroanat. 2005, 29, 21–30. [Google Scholar] [CrossRef]
- Saper, C.B.; Lowell, B.B. The hypothalamus. Curr. Biol. 2014, 24, R1111–R1116. [Google Scholar] [CrossRef] [PubMed]
- Leistner, C.; Menke, A. Hypothalamic-pituitary-adrenal axis and stress. Handb. Clin. Neurol. 2020, 175, 55–64. [Google Scholar] [CrossRef]
- de Kloet, E.R.; Joëls, M.; Holsboer, F. Stress and the brain: From adaptation to disease. Nat. Rev. Neurosci. 2005, 6, 463–475. [Google Scholar] [CrossRef] [PubMed]
- Neveu, I.; Naveilhan, P.; Baudet, C.; Brachet, P.; Metsis, M. 1,25-dihydroxyvitamin D3 regulates NT-3, NT-4 but not BDNF mRNA in astrocytes. Neuroreport 1994, 6, 124–126. [Google Scholar] [CrossRef] [PubMed]
- Neveu, I.; Naveilhan, P.; Jehan, F.; Baudet, C.; Wion, D.; De Luca, H.F.; Brachet, P. 1,25-dihydroxyvitamin D3 regulates the synthesis of nerve growth factor in primary cultures of glial cells. Brain Res. Mol. Brain Res. 1994, 24, 70–76. [Google Scholar] [CrossRef]
- Dowlati, Y.; Herrmann, N.; Swardfager, W.; Liu, H.; Sham, L.; Reim, E.K.; Lanctôt, K.L. A meta-analysis of cytokines in major depression. Biol. Psychiatry 2010, 67, 446–457. [Google Scholar] [CrossRef] [PubMed]
- Alroy, I.; Towers, T.L.; Freedman, L.P. Transcriptional repression of the interleukin-2 gene by vitamin D3: Direct inhibition of NFATp/AP-1 complex formation by a nuclear hormone receptor. Mol. Cell. Biol. 1995, 15, 5789–5799. [Google Scholar] [CrossRef]


| Physical Activity Level | ||||
|---|---|---|---|---|
| Low (n = 329) | Medium (n = 856) | High (n = 543) | p-Value | |
| Age, mean (SD) | 55 (19.23) | 47 (17.24) | 44 (14.77) | <0.001 |
| Age groups, n (%) | <0.001 | |||
| 18–34 | 36 (20.0) | 51 (22.9) | 132 (29.5) | |
| 35–49 | 36 (20.0) | 54 (24.2) | 174 (38.8) | |
| 50–64 | 40 (22.2) | 77 (34.5) | 105 (23.4) | |
| 65+ | 68 (37.8) | 41 (18.4) | 37 (8.3) | |
| Sex, n (%) | <0.001 | |||
| Men | 102 (31.0) | 338 (39.5) | 285 (52.5) | |
| Women | 227 (69.0) | 518 (60.5) | 258 (47.5) | |
| Smoking status, n (%) | 0.002 | |||
| Never | 213 (64.7) | 527 (61.6) | 340 (62.6) | |
| Current | 76 (23.1) | 195 (22.8) | 155 (28.5) | |
| Former | 40 (12.2) | 134 (15.7) | 48 (8.8) | |
| BMI categories, n (%) | <0.001 | |||
| Normal weight | 101 (35.1) | 390 (49.6) | 269 (51.8) | |
| Overweight | 101 (35.1) | 270 (34.3) | 192 (37.0) | |
| Obese | 86 (29.9) | 127 (16.1) | 58 (11.2) | |
| Educational level, n (%) | <0.001 | |||
| Low | 185 (56.2) | 228 (26.6) | 153 (28.2) | |
| Medium | 79 (24.0) | 327 (38.2) | 264 (48.6) | |
| High | 65 (19.8) | 301 (35.2) | 126 (23.2) | |
| Marital status, n (%) | 0.177 | |||
| Unmarried/widowed | 127 (38.6) | 362 (42.3) | 204 (37.6) | |
| Married | 202 (61.4) | 494 (57.7) | 339 (62.4) | |
| Eating habits, n (%) | ||||
| Skipping breakfast | 71 (21.6) | 197 (23.0) | 148 (27.3) | 0.098 |
| Daily snacking | 230 (69.9) | 693 (81.0) | 401 (73.8) | <0.001 |
| Skipping dinner | 13 (4.0) | 64 (7.5) | 36 (6.6) | 0.089 |
| Out of home eating | 97 (29.5) | 479 (56.0) | 340 (62.6) | <0.001 |
| Mediterranean diet adherence, n (%) | 0.009 | |||
| Low | 185 (56.2) | 494 (57.7) | 264 (48.6) | |
| Medium | 117 (35.6) | 288 (33.6) | 212 (39.0) | |
| High | 27 (8.2) | 74 (8.6) | 67 (12.3) |
| Perceived Stress, OR (95% CI) | |||
| Low | Medium | High | |
| Physical activity level | |||
| Unadjusted | 1 | 0.68 (0.51, 0.91) | 0.80 (0.60, 1.08) |
| Model 1 * | 1 | 0.65 (0.47, 0.89) | 0.73 (0.53, 1.02) |
| Model 2 ** | 1 | 0.64 (0.46, 0.88) | 0.72 (0.51, 1.00) |
| Vitamin D intake | |||
| Unadjusted | 1 | 0.90 (0.71, 1.14) | 0.81 (0.64, 1.02) |
| Model 1 * | 1 | 0.82 (0.64, 1.05) | 0.72 (0.56, 0.94) |
| Model 2 ** | 1 | 0.80 (0.63, 1.03) | 0.69 (0.53, 0.89) |
| Sun exposure | |||
| Unadjusted | 1 | 0.81 (0.63, 1.02) | 0.74 (0.55, 1.00) |
| Model 1 * | 1 | 0.76 (0.59, 0.99) | 0.73 (0.53, 1.01) |
| Model 2 ** | 1 | 0.76 (0.59, 0.98) | 0.72 (0.52, 0.99) |
Disclaimer/Publisher’s Note: The statements, opinions and data contained in all publications are solely those of the individual author(s) and contributor(s) and not of MDPI and/or the editor(s). MDPI and/or the editor(s) disclaim responsibility for any injury to people or property resulting from any ideas, methods, instructions or products referred to in the content. |
© 2023 by the authors. Licensee MDPI, Basel, Switzerland. This article is an open access article distributed under the terms and conditions of the Creative Commons Attribution (CC BY) license (https://creativecommons.org/licenses/by/4.0/).
Share and Cite
Trovato, B.; Godos, J.; Varrasi, S.; Roggio, F.; Castellano, S.; Musumeci, G. Physical Activity, Sun Exposure, Vitamin D Intake and Perceived Stress in Italian Adults. Nutrients 2023, 15, 2301. https://doi.org/10.3390/nu15102301
Trovato B, Godos J, Varrasi S, Roggio F, Castellano S, Musumeci G. Physical Activity, Sun Exposure, Vitamin D Intake and Perceived Stress in Italian Adults. Nutrients. 2023; 15(10):2301. https://doi.org/10.3390/nu15102301
Chicago/Turabian StyleTrovato, Bruno, Justyna Godos, Simone Varrasi, Federico Roggio, Sabrina Castellano, and Giuseppe Musumeci. 2023. "Physical Activity, Sun Exposure, Vitamin D Intake and Perceived Stress in Italian Adults" Nutrients 15, no. 10: 2301. https://doi.org/10.3390/nu15102301
APA StyleTrovato, B., Godos, J., Varrasi, S., Roggio, F., Castellano, S., & Musumeci, G. (2023). Physical Activity, Sun Exposure, Vitamin D Intake and Perceived Stress in Italian Adults. Nutrients, 15(10), 2301. https://doi.org/10.3390/nu15102301

