Examination of Amorphous Calcium Carbonate on the Inflammatory and Muscle Damage Response in Experienced Resistance Trained Individuals
Abstract
:1. Introduction
2. Materials and Methods
2.1. Participants
2.2. Study Protocol
2.3. Supplement Protocol
2.4. Maximal Strength Testing
2.5. Performance Measures
2.6. Soreness Questionnaire
2.7. Blood Measurements
2.8. Biochemical Analyses
2.9. Statistical Analysis
3. Results
4. Discussion
Author Contributions
Funding
Institutional Review Board Statement
Informed Consent Statement
Data Availability Statement
Conflicts of Interest
References
- Arroyo, E.; Jajtner, A.R. Vitamins and Minerals. In Dietary Supplementation in Sport and Exercise; Hoffman, J.R., Ed.; Routledge: New York, NY, USA, 2019; pp. 22–46. [Google Scholar]
- Harvey, N.C.; Biver, E.; Kaufman, J.M.; Bauer, J.; Branco, J.; Brandi, M.L.; Cooper, C. The role of calcium supplementation in healthy musculoskeletal ageing: An expert consensus meeting of the European Society for Clinical and Economic Aspects of Osteoporosis, Osteoarthritis and Musculoskeletal Diseases (ESCEO) and the International Foundation for Osteoporosis (IOF). Osteoporos. Int. 2017, 28, 447–462. [Google Scholar] [PubMed] [Green Version]
- Chandran, M.; Tay, D.; Mithal, A. Supplemental calcium intake in the aging individual: Implications on skeletal and cardiovascular health. Aging Clin. Exp. Res. 2019, 31, 765–781. [Google Scholar] [CrossRef] [PubMed]
- Weaver, C.M.; Alexander, D.D.; Boushey, C.J.; Dawson-Hughes, B.; Lappe, J.M.; LeBoff, M.S.; Looker, A.C.; Wallace, T.C.; Wang, D.D. Calcium plus vitamin D supplementation and risk of fractures: An updated meta-analysis from the National Osteoporosis Foundation. Osteoporos. Int. 2016, 27, 367–376. [Google Scholar] [CrossRef] [PubMed] [Green Version]
- Bischoff-Ferrari, H.A.; Dawson-Hughes, B.; Baron, J.A.; Burckhardt, P.; Li, R.; Spiegelman, D.; Willett, W.C. Calcium intake and hip fracture risk in men and women: A meta-analysis of prospective cohort studies and randomized controlled trials. Am. J. Clin. Nutr. 2007, 86, 1780–1790. [Google Scholar] [CrossRef]
- Bolland, M.J.; Leung, W.; Tai, V.; Bastin, S.; Gamble, G.D.; Grey, A.; Reid, I.R. Calcium intake and risk of fracture: Systematic review. BMJ 2015, 351, h4580. [Google Scholar] [CrossRef] [Green Version]
- Tang, B.M.; Eslick, G.D.; Nowson, C.; Smith, C.; Bensoussan, A. Use of calcium or calcium in combination with vitamin D supplementation to prevent fractures and bone loss in people aged 50 years and older: A meta-analysis. Lancet 2007, 370, 657–666. [Google Scholar] [CrossRef]
- Meiron, O.E.; Bar-David, E.; Aflalo, E.D.; Shechter, A.; Stepensky, D.; Berman, A.; Sagi, A. Solubility and bioavailability of stabilized amorphous calcium carbonate. J. Bone Miner. Res. 2011, 26, 364–372. [Google Scholar] [CrossRef]
- Straub, D.A. Calcium supplementation in clinical practice: A review of forms, doses, and indications. Nutr. Clin. Pract. 2007, 22, 286–296. [Google Scholar] [CrossRef]
- Heaney, R.P.; Dowell, M.S.; Bierman, J.; Hale, C.A.; Bendich, A. Absorbability and cost effectiveness in calcium supplementation. J. Am. Coll. Nutr. 2001, 20, 239–246. [Google Scholar] [CrossRef]
- Nebel, H.; Neumann, M.; Mayer, C.; Epple, M. On the structure of amorphous calcium carbonate--a detailed study by solid-state NMR spectroscopy. Inorg. Chem. 2008, 47, 7874–7879. [Google Scholar] [CrossRef]
- Gal, J.Y.; Bollinger, J.C.; Tolosa, H.; Gache, N. Calcium carbonate solubility: A reappraisal of scale formation and inhibition. Talanta 1996, 43, 1497–1509. [Google Scholar] [CrossRef]
- Shechter, A.; Berman, A.; Singer, A.; Freiman, A.; Grinstein, M.; Erez, J.; Sagi, A. Reciprocal changes in calcification of the gastrolith and cuticle during the molt cycle of the red claw crayfish Cherax quadricarinatus. Biol. Bull. 2008, 214, 122–134. [Google Scholar] [CrossRef] [PubMed] [Green Version]
- Shaltiel, G.; Bar-David, E.; Meiron, O.E.; Waltman, E.; Shechter, A.; Aflalo, E.D.; Sagi, A. Bone loss prevention in ovariectomized rats using stable amorphous calcium carbonate. Health 2013, 5, 18–29. [Google Scholar] [CrossRef] [Green Version]
- Vaisman, N.; Shaltiel, G.; Daniely, M.; Meiron, O.E.; Shechter, A.; Abrams, S.A.; Sagi, A. Increased calcium absorption from synthetic stable amorphous calcium carbonate: Double-blind randomized crossover clinical trial in postmenopausal women. J. Bone Miner. Res. 2014, 29, 2203–2209. [Google Scholar] [CrossRef] [Green Version]
- Markus, I.; Constantini, K.; Hoffman, J.R.; Bartolomei, S.; Gepner, Y. Exercise-induced muscle damage: Mechanism assessment nutritional factors to accelerate recovery. Eur. J. Appl. Physiol. 2021, 121, 969–992. [Google Scholar] [CrossRef]
- Hoffman, J.R. Physiological Aspects of Sport Training and Performance; Human Kinetics: Champaign, IL, USA, 2014. [Google Scholar]
- Hoffman, J.R.; Ratamess, N.A.; Tranchina, C.P.; Rashti, S.L.; Kang, J.; Faigenbaum, A.D. Effect of a proprietary protein supplement on recovery indices following resistance exercise in strength/power athletes. Amino Acids. 2010, 38, 771–778. [Google Scholar] [CrossRef]
- Jajtner, A.R.; Hoffman, J.R.; Gonzalez, A.M.; Worts, P.R.; Fragala, M.S.; Stout, J.R. Comparison of the effects of electrical stimulation and cold-water immersion on muscle soreness after resistance exercise. J. Sport Rehabil. 2015, 24, 99–108. [Google Scholar] [CrossRef] [Green Version]
- Hoffman, J.R. Norms for Fitness, Performance and Health; Human Kinetics: Champaign, IL, USA, 2006. [Google Scholar]
- Hoffman, J.R.; Ratamess, N.A.; Tranchina, C.P.; Rashti, S.L.; Kang, J.; Faigenbaum, A.D. Effect of protein-supplement timing on strength, power, and body composition changes in resistance-trained men. Int. J. Sport Nutr. Exerc. Metab. 2009, 19, 172–185. [Google Scholar] [CrossRef]
- Lee, K.A.; Hicks, G.; Nino-Murcia, G. Validity and reliability of a scale to assess fatigue. Psychiatry Res. 1991, 36, 291–298. [Google Scholar] [CrossRef]
- Hoffman, J.R.; Gepner, Y.; Stout, J.R.; Hoffman, M.W.; Ben-Dov, D.; Funk, S.; Ostfeld, I. β-Hydroxy-β-methylbutyrate attenuates cytokine response during sustained military training. Nutr. Res. 2016, 36, 553–563. [Google Scholar] [CrossRef]
- Townsend, J.R.; Fragala, M.S.; Jajtner, A.R.; Gonzalez, A.M.; Wells, A.J.; Mangine, G.T.; Hoffman, J.R. β-Hydroxy-β-methylbutyrate (HMB)-free acid attenuates circulating TNF-α and TNFR1 expression postresistance exercise. J. Appl. Physiol. 2013, 115, 1173–1182. [Google Scholar] [CrossRef] [PubMed] [Green Version]
- Fethney, J. Statistical and clinical significance, and how to use confidence intervals to help interpret both. Aust. Crit. Care 2010, 23, 93–97. [Google Scholar] [CrossRef] [PubMed]
- Guyatt, G.; Jaeschke, R.; Heddle, N.; Cook, D.; Shannon, H.; Walter, S. Basic statistics for clinicians: 2. Interpreting study results: Confidence intervals. Can. Med. Assoc. J. 1995, 152, 169–173. [Google Scholar]
- Frost, J. Hypothesis Testing: An Intuitive Guide for Making Data Driven Decisions; Statistics Jim Publishing: State College, PA, USA, 2020. [Google Scholar]
- Buchheit, M. The numbers will love you back in return-I promise. Int. J. Sports Physiol. Perform. 2016, 11, 551–554. [Google Scholar] [CrossRef] [PubMed]
- Batterham, A.M.; Hopkins, W.G. Making meaningful inferences about magnitudes. Int. J. Sports Physiol. Perform. 2006, 1, 50–57. [Google Scholar] [CrossRef] [PubMed]
- Hopkins, W.G.; Marshall, S.W.; Batterham, A.M.; Hanin, J. Progressive statistics for studies in sports medicine and exercise science. Med. Sci. Sports Exerc. 2009, 41, 3–12. [Google Scholar] [CrossRef] [Green Version]
- Hopkins, W.G. A spreadsheet for deriving a confidence interval, mechanistic inference, and clinical inference from a p-value. Sportscience 2007, 11, 16–21. [Google Scholar]
- Peacock, M. Calcium metabolism in health and disease. Clin. J. Am. Soc. Nephrol. 2010, 5 (Suppl. 1), S23–S30. [Google Scholar] [CrossRef] [Green Version]
- Lappe, J.; Cullen, D.; Haynatzki, G.; Recker, R.; Ahlf, R.; Thompson, K. Calcium and vitamin d supplementation decreases incidence of stress fractures in female navy recruits. J. Bone Miner. Res. 2008, 23, 741–749. [Google Scholar] [CrossRef]
- McNaughton, L.R.; Gough, L.; Deb, S.; Bentley, D.; Sparks, S.A. Recent Developments in the Use of Sodium Bicarbonate as an Ergogenic Aid. Curr. Sports Med. Rep. 2016, 15, 233–244. [Google Scholar] [CrossRef]
- Duncan, M.J.; Weldon, A.; Price, M.J. The effect of sodium bicarbonate ingestion on back squat and bench press exercise to failure. J. Strength Cond. Res. 2014, 28, 1358–1366. [Google Scholar] [CrossRef] [PubMed] [Green Version]
- Dos Santos, W.D.N.; Vieira, C.A.; Bottaro, M.; Nunes, V.A.; Ramirez-Campillo, R.; Steele, J.; James, P.F.; Gentil, P. Resistance Training Performed to Failure or Not to Failure Results in Similar Total Volume, but With Different Fatigue and Discomfort Levels. J. Strength Cond. Res. 2021, 35, 1372–1379. [Google Scholar] [CrossRef] [PubMed]
- Miles, M.P.; Clarkson, P.M. Exercise-induced muscle pain, soreness, and cramps. J. Sports Med. Phys. Fitness 1994, 34, 203–216. [Google Scholar] [PubMed]
- Stožer, A.; Vodopivc, P.; Križančić Bombek, L. Pathophysiology of exercise-induced muscle damage and its structural, functional, metabolic, and clinical consequences. Physiol. Res. 2020, 69, 565–598. [Google Scholar] [CrossRef] [PubMed]
- Allen, D.G.; Whitehead, N.P.; Yeung, E.W. Mechanisms of stretch-induced muscle damage in normal and dystrophic muscle: Role of ionic changes. J. Physiol. 2005, 567 Pt 3, 723–735. [Google Scholar] [CrossRef] [PubMed]
- Goll, D.E.; Thompson, V.F.; Li, H.; Wei, W.; Cong, J. The calpain system. Physiol. Rev. 2003, 83, 731–801. [Google Scholar] [CrossRef]
- Goswami, R.; Vatsa, M.; Sreenivas, V.; Singh, U.; Gupta, N.; Lakshmy, R.; Bhatia, H. Skeletal muscle strength in young Asian Indian females after vitamin D and calcium supplementation: A double-blind randomized controlled clinical trial. J. Clin. Endocrinol. Metab. 2012, 97, 4709–4716. [Google Scholar] [CrossRef] [Green Version]
- Gupta, R.; Sharma, U.; Gupta, N.; Kalaivani, M.; Singh, U.; Guleria, R.; Jagannathan, N.R.; Goswami, R. Effect of cholecalciferol and calcium supplementation on muscle strength and energy metabolism in vitamin D-deficient Asian Indians: A randomized, controlled trial. Clin. Endocrinol. 2010, 73, 445–451. [Google Scholar] [CrossRef]
- Goswami, R.; Bhatia, M.; Goyal, R.; Kochupillai, N. Reversible peripheral neuropathy in idiopathic hypoparathyroidism. Acta Neurol. Scand. 2002, 105, 128–131. [Google Scholar] [CrossRef]
- Saha, S.; Goswami, R.; Ramakrishnan, L.; Vishnubhatla, S.; Mahtab, S.; Kar, P.; Srinivasan, S.; Singh, N.; Singh, U. Vitamin D and calcium supplementation, skeletal muscle strength and serum testosterone in young healthy adult males: Randomized control trial. Clin. Endocrinol. 2018, 88, 217–226. [Google Scholar] [CrossRef]
- Gordon, J.A., III; Hoffman, J.R.; Arroyo, E.; Varanoske, A.N.; Coker, N.A.; Gepner, Y.; Wells, A.J.; Stout, J.R.; Fukuda, D.H. Comparisons in the Recovery Response From Resistance Exercise Between Young and Middle-Aged Men. J. Strength Cond. Res. 2017, 31, 3454–3462. [Google Scholar] [CrossRef] [PubMed]
- Fischer, C.P. Interleukin-6 in acute exercise and training: What is the biological relevance? Exerc. Immunol. Rev. 2006, 12, 6–33. [Google Scholar] [PubMed]
- Reikerås, O. Immune depression in musculoskeletal trauma. Inflamm. Res. 2010, 59, 409–414. [Google Scholar] [CrossRef] [PubMed]
- Xing, Z.; Gauldie, J.; Cox, G.; Baumann, H.; Jordana, M.; Lei, X.F.; Achong, M.K. IL-6 is an antiinflammatory cytokine required for controlling local or systemic acute inflammatory responses. J. Clin. Investig. 1998, 101, 311–320. [Google Scholar] [CrossRef] [PubMed]





| Variable | Group | T3 | T4 | T5 |
|---|---|---|---|---|
| Repetitions Performed (#) | ACC | 26.7 ± 5.7 | 22.2 ± 7.3 | 22.0 ± 7.4 |
| PL | 27.6 ± 9.0 | 20.7 ± 9.0 | 18.9 ± 10.1 | |
| Peak Power (w) | ACC | 323 ± 51 | 297 ± 48 | 285 ± 44 |
| PL | 366 ± 86 | 322 ± 95 | 333 ± 103 | |
| Mean Power (w) | ACC | 207 ± 39 | 187 ± 29 | 174 ± 24 |
| PL | 230 ± 53 | 222 ± 59 | 219 ± 70 | |
| VAS—General body soreness (cm) | ACC | 3.8 ± 3.8 | 4.4 ± 3.5 | 5.1 ± 3.9 |
| PL | 2.0 ± 2.5 | 3.6 ± 2.8 | 4.8 ± 3.4 | |
| VAS—Upper body soreness (cm) | ACC | 2.3 ± 2.5 | 4.8 ± 3.1 | 6.1 ± 4.7 |
| PL | 1.3 ± 1.3 | 7.0 ± 3.9 | 7.3 ± 3.7 |
| Variable | Time | ACC | PL | Mean Difference | % Positive | % Trivial | % Negative | Interpretation |
|---|---|---|---|---|---|---|---|---|
| Percent Chance Greater | ||||||||
| Repetitions Performed (#) | ΔT4 | −4.5 ± 4.6 | −6.9 ± 5.8 | 2.4 ± 4.1 | 67.4 | 29.4 | 3.2 | Possibly Beneficial |
| ΔT5 | −4.7 ± 4.7 | −8.6 ± 7.3 | 3.9 ± 4.7 | 84.8 | 13.8 | 1.4 | Likely Beneficial | |
| Peak Power (w) | ΔT4 | −23.0 ± 34.4 | −38.2 ± 47.7 | 15.0 ± 34.0 | 51.6 | 44.4 | 4.0 | Possibly Beneficial |
| ΔT5 | −32.2 ± 33.9 | −28.3 ± 65.1 | −3.9 ± 42.0 | 18.5 | 51.3 | 30.2 | Unclear | |
| Mean Power (w) | ΔT4 | −21.2 ± 24.2 | −4.6 ± 34.8 | −17.0 ± 24.0 | 1.8 | 25.5 | 72.6 | Possibly Negative |
| ΔT5 | −31.6 ± 24.1 | −6.5 ± 39.4 | −25.0 ± 26.0 | 0.6 | 11.0 | 88.3 | Likely Negative | |
| VAS—General Soreness (cm) | ΔT4 | 0.6 ± 3.7 | 1.6 ± 2.2 | −1.0 ± 2.6 | 61.2 | 29.0 | 9.8 | Unclear |
| ΔT5 | 1.3 ± 3.4 | 2.8 ± 2.9 | −1.5 ± 2.6 | 74.9 | 20.1 | 5.0 | Unclear | |
| VAS—Upper Body Soreness (cm) | ΔT4 | 2.7 ± 3.5 | 6.3 ± 3.9 | −3.6 ± 3.2 | 97.4 | 1.7 | 0.8 | Very Likely Beneficial |
| ΔT5 | 4.0 ± 4.3 | 6.6 ± 3.2 | −2.6 ± 3.3 | 90.9 | 5.6 | 3.5 | Likely Beneficial | |
| Variable | Time | ACC | PL | Mean Difference | % Positive | % Trivial | % Negative | Interpretation |
|---|---|---|---|---|---|---|---|---|
| Percent Chance Greater | ||||||||
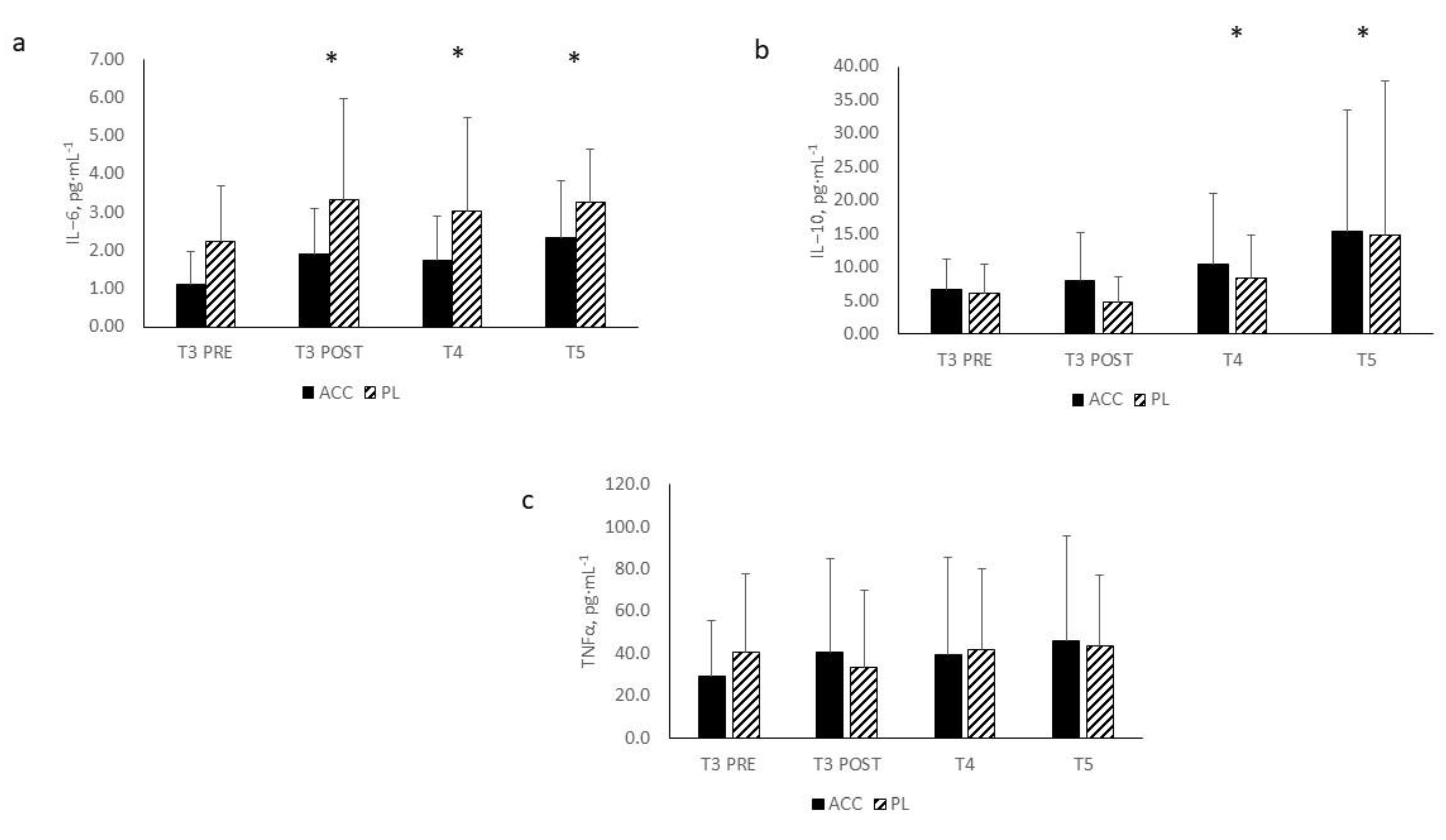
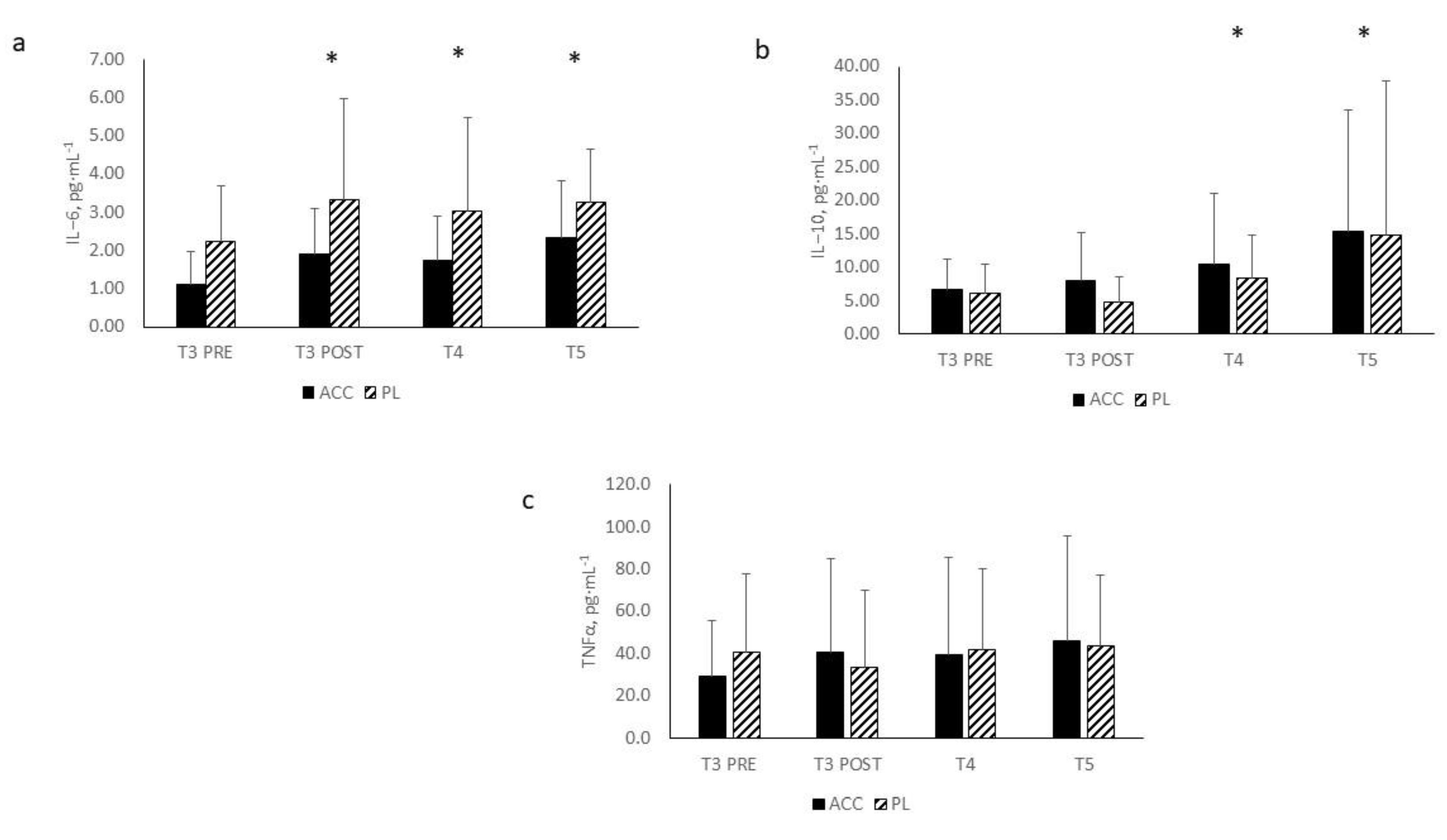
| IL-6 (pg·mL−1) | Δ POST − PRE | 0.77 ± 0.78 | 1.09 ± 1.95 | −0.32 ± 1.4 | 54.2 | 25.6 | 20.2 | Unclear |
| Δ T4 − PRE | 0.62 ± 1.34 | 0.8 ± 1.31 | −0.18 ± 1.2 | 45.1 | 32.3 | 22.6 | Unclear | |
| Δ T5 − PRE | 1.02 ± 1.72 | 1.02 ± 1.56 | 0.18 ± 1.4 | 27.1 | 26.8 | 46.0 | Unclear | |
| IL-10 (pg·mL−1) | Δ POST − PRE | 1.36 ± 4.42 | −1.41 ± 2.7 | 2.80 ± 3.1 | 89.0 | 9.7 | 1.3 | Likely Beneficial |
| Δ T4 − PRE | 3.76 ± 7.59 | 2.12 ± 3.15 | 1.6 ± 5.0 | 62.7 | 22.0 | 15.3 | Unclear | |
| Δ T5 − PRE | 8.81 ± 14.68 | 8.58 ± 23.32 | 0.23 ± 17.0 | 46.9 | 8.4 | 44.7 | Unclear | |
| TNFα (pg·mL−1) | Δ POST − PRE | 11.0 ± 24.4 | −7.4 ± 18.9 | 18 ± 20 | 1.0 | 10.0 | 89.0 | Likely Negative |
| Δ T4 − PRE | 9.8 ± 26.1 | 1.0 ± 14.9 | 8.8 ± 20 | 6.9 | 32.5 | 60.6 | Possibly Negative | |
| Δ T5 − PRE | 16.4 ± 27.9 | 3.0 ± 14.9 | 13 ± 21 | 3.5 | 20.7 | 75.9 | Likely Negative | |
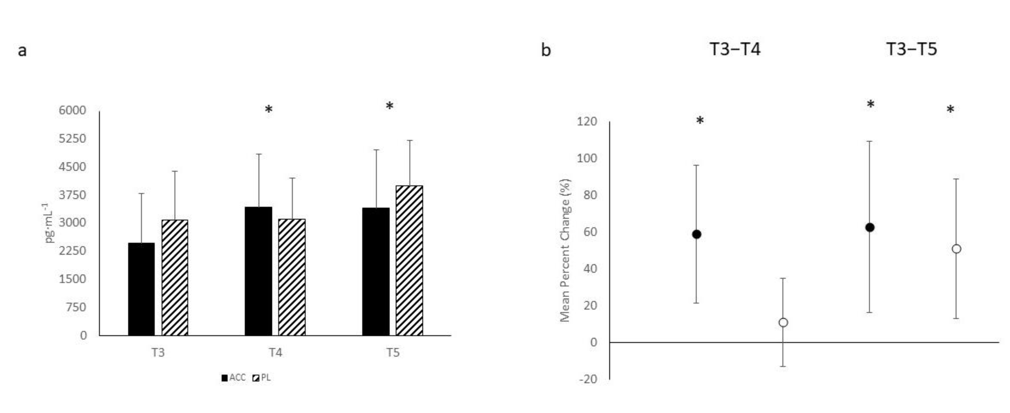
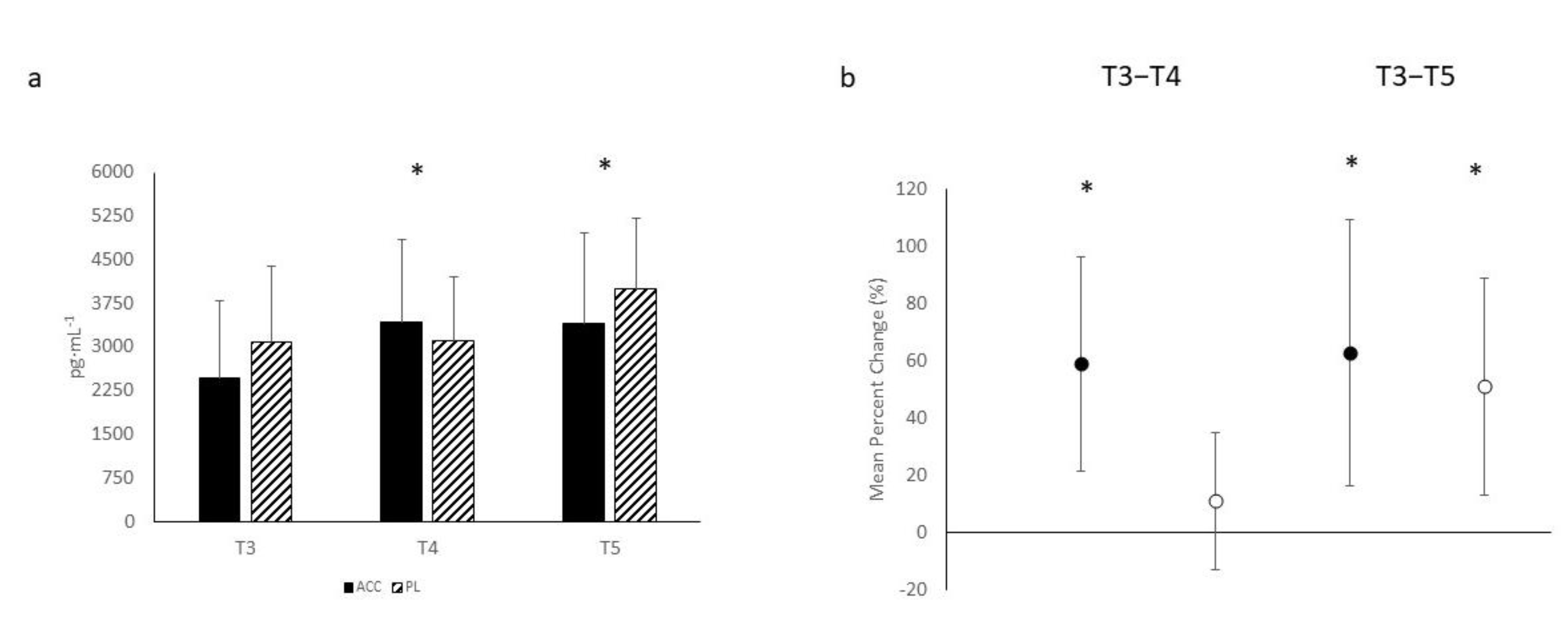
| CK-M (pg·mL−1) | Δ T4 − T3 | 968 ± 1169 | 12 ± 1258 | 960 ± 1100 | 1.2 | 8.5 | 90.2 | Very Likely Negative |
| Δ T5 − T3 | 942 ± 1702 | 908 ± 1659 | 33 ± 1500 | 33.3 | 29.9 | 36.8 | Unclear | |
Publisher’s Note: MDPI stays neutral with regard to jurisdictional claims in published maps and institutional affiliations. |
© 2022 by the authors. Licensee MDPI, Basel, Switzerland. This article is an open access article distributed under the terms and conditions of the Creative Commons Attribution (CC BY) license (https://creativecommons.org/licenses/by/4.0/).
Share and Cite
Hoffman, J.R.; Ben-Zeev, T.; Zamir, A.; Levi, C.; Ostfeld, I. Examination of Amorphous Calcium Carbonate on the Inflammatory and Muscle Damage Response in Experienced Resistance Trained Individuals. Nutrients 2022, 14, 1894. https://doi.org/10.3390/nu14091894
Hoffman JR, Ben-Zeev T, Zamir A, Levi C, Ostfeld I. Examination of Amorphous Calcium Carbonate on the Inflammatory and Muscle Damage Response in Experienced Resistance Trained Individuals. Nutrients. 2022; 14(9):1894. https://doi.org/10.3390/nu14091894
Chicago/Turabian StyleHoffman, Jay R., Tavor Ben-Zeev, Amit Zamir, Chagai Levi, and Ishay Ostfeld. 2022. "Examination of Amorphous Calcium Carbonate on the Inflammatory and Muscle Damage Response in Experienced Resistance Trained Individuals" Nutrients 14, no. 9: 1894. https://doi.org/10.3390/nu14091894
APA StyleHoffman, J. R., Ben-Zeev, T., Zamir, A., Levi, C., & Ostfeld, I. (2022). Examination of Amorphous Calcium Carbonate on the Inflammatory and Muscle Damage Response in Experienced Resistance Trained Individuals. Nutrients, 14(9), 1894. https://doi.org/10.3390/nu14091894

