Molecular Effects of Iodine-Biofortified Lettuce in Human Gastrointestinal Cancer Cells
Abstract
1. Introduction
2. Materials and Methods
2.1. Plant Material and Preparation of Extracts
2.2. Cell Culture
2.3. Cell Treatment
2.4. Cell Cytotoxicity
2.5. The Impact on Cell Growth
2.6. Cell Cycle Analysis
2.7. Bcl-2 Activity Analysis
2.8. Multicaspase Activity Analysis
2.9. RNA Isolation, RT and Real-Time PCR Analysis
2.10. DNA Isolation and Pyrosequencing
2.11. Statistical Analysis
3. Results
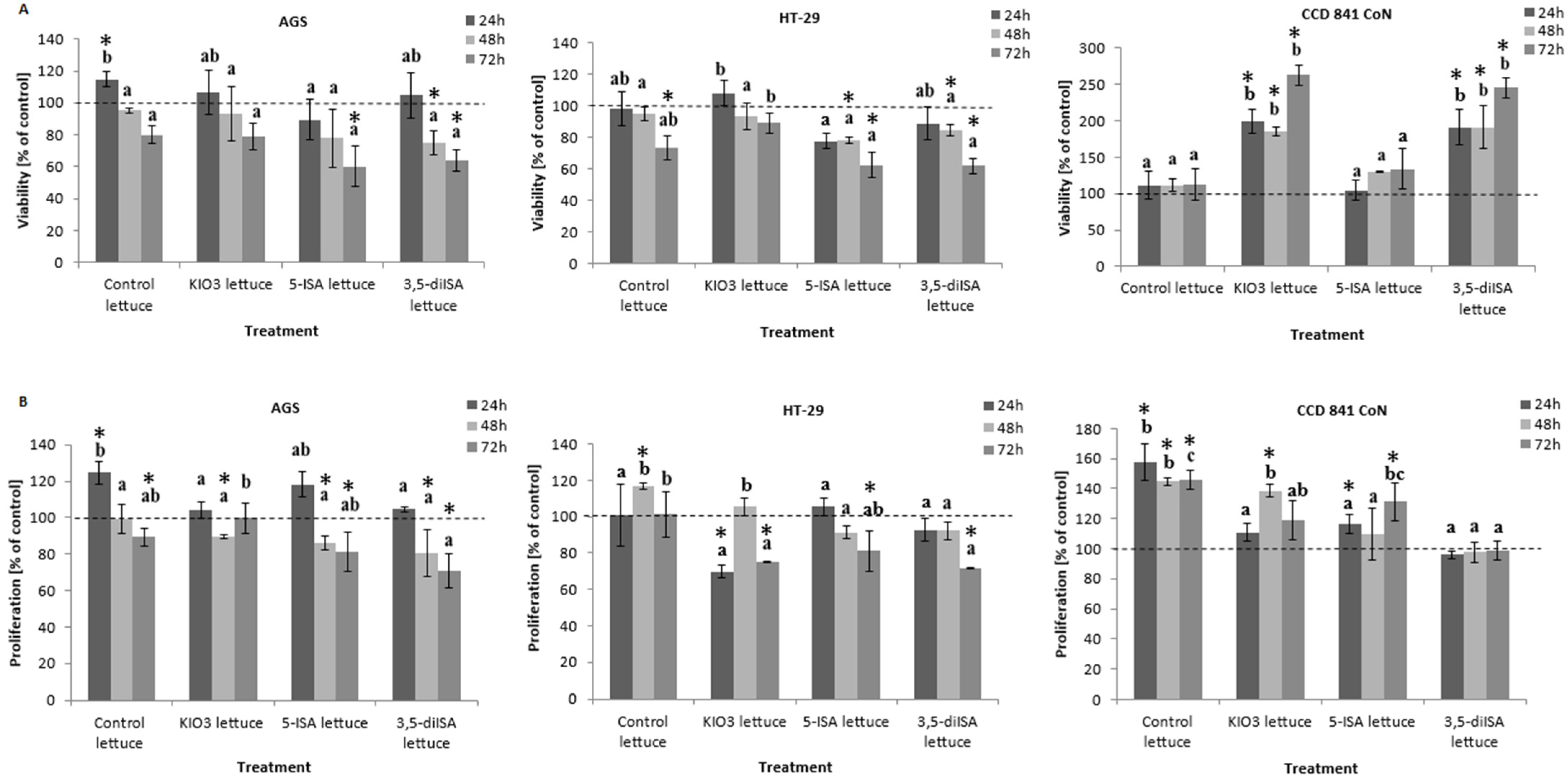
3.1. Cell Cytotoxicity
3.2. The Impact on Cell Growth
3.3. Lettuce Extracts Reduce Cell Cycle Progression
3.4. Activity of Anti-Apoptotic Bcl-2 Is Reduced upon Lettuce Extracts
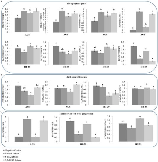
3.5. Pro-Apoptotic Caspases Are Activated by Lettuce Extracts
3.6. Lettuce Extracts Impact Expression of Genes Involved in Cell Proliferation, Apoptosis and Oncogenic Signaling Pathways
3.7. Extract from 5-ISA-Fortified Lettuce Leads to Hypomethylation and Up-Regulation of SEMA3A Tumor Suppressor Gene
4. Discussion
5. Patents
Supplementary Materials
Author Contributions
Funding
Institutional Review Board Statement
Informed Consent Statement
Data Availability Statement
Conflicts of Interest
References
- Sung, H.; Ferlay, J.; Siegel, R.L.; Laversanne, M.; Soerjomataram, I.; Jemal, A.; Bray, F. Global Cancer Statistics 2020: GLOBOCAN Estimates of Incidence and Mortality Worldwide for 36 Cancers in 185 Countries. CA Cancer J. Clin. 2021, 71, 209–249. [Google Scholar] [CrossRef]
- Bishop, K.S.; Ferguson, L.R. The interaction between epigenetics, nutrition and the development of cancer. Nutrients 2015, 7, 922–947. [Google Scholar] [CrossRef] [PubMed]
- Mao, Q.Q.; Xu, X.Y.; Shang, A.; Gan, R.Y.; Wu, D.T.; Atanasov, A.G.; Li, H. Bin Phytochemicals for the prevention and treatment of gastric cancer: Effects and mechanisms. Int. J. Mol. Sci. 2020, 21, 570. [Google Scholar] [CrossRef] [PubMed]
- Briguglio, G.; Costa, C.; Pollicino, M.; Giambò, F.; Catania, S.; Fenga, C. Polyphenols in cancer prevention: New insights (Review). Int. J. Funct. Nutr. 2020, 1, 9. [Google Scholar] [CrossRef]
- Zhou, Y.; Zheng, J.; Li, Y.; Xu, D.P.; Li, S.; Chen, Y.M.; Li, H. Bin Natural polyphenols for prevention and treatment of cancer. Nutrients 2016, 8, 515. [Google Scholar] [CrossRef] [PubMed]
- Llorach, R.; Martínez-Sánchez, A.; Tomás-Barberán, F.A.; Gil, M.I.; Ferreres, F. Characterisation of polyphenols and antioxidant properties of five lettuce varieties and escarole. Food Chem. 2008, 108, 1028–1038. [Google Scholar] [CrossRef] [PubMed]
- Lafarga, T.; Villaró, S.; Rivera, A.; Bobo, G.; Aguiló-Aguayo, I. Bioaccessibility of polyphenols and antioxidant capacity of fresh or minimally processed modern or traditional lettuce (Lactuca sativa L.) varieties. J. Food Sci. Technol. 2020, 57, 754–763. [Google Scholar] [CrossRef] [PubMed]
- Kargar, S.; Shiryazdi, S.M.; Atashi, S.R.; Neamatzadeh, H.; Kamali, M. Urinary iodine concentrations in cancer patients. Asian Pacific J. Cancer Prev. 2017, 18, 819–821. [Google Scholar] [CrossRef]
- Aranda, N.; Sosa, S.; Delgado, G.; Aceves, C.; Anguiano, B. Uptake and antitumoral effects of iodine and 6-iodolactone in differentiated and undifferentiated human prostate cancer cell lines. Prostate 2013, 73, 31–41. [Google Scholar] [CrossRef] [PubMed]
- Tabaeizadeh, M.; Haghpanah, V.; Keshtkar, A.; Semnani, S.; Roshandel, G.; Adabi, K.; Heshmat, R.; Rohani, D.; Kia, A.; Hatami, E.; et al. Goiter frequency is more strongly associated with gastric adenocarcinoma than urine iodine level. J. Gastric Cancer 2013, 13, 106–110. [Google Scholar] [CrossRef] [PubMed][Green Version]
- Blasco, B.; Leyva, R.; Romero, L.; Ruiz, J.M. Iodine effects on phenolic metabolism in lettuce plants under salt stress. J. Agric. Food Chem. 2013, 61, 2591–2596. [Google Scholar] [CrossRef]
- Sularz, O.; Koronowicz, A.; Smoleń, S.; Kowalska, I.; Skoczylas, Ł.; Liszka-Skoczylas, M.; Tabaszewska, M.; Pitala, J. Anti- And pro-oxidant potential of lettuce (Lactuca sativa L.) biofortified with iodine by KIO3, 5-iodo- And 3,5-diiodosalicylic acid in human gastrointestinal cancer cell lines. RSC Adv. 2021, 11, 27547–27560. [Google Scholar] [CrossRef]
- Sularz, O.; Smoleń, S.; Koronowicz, A.; Kowalska, I.; Leszczyńska, T. Chemical Composition of Lettuce (Lactuca sativa L.) Biofortified with Iodine by KIO3, 5-Iodo-, and 3.5-Diiodosalicylic Acid in a Hydroponic Cultivation. Agronomy 2020, 10, 1022. [Google Scholar] [CrossRef]
- Shigaki, H.; Baba, Y.; Harada, K.; Yoshida, N.; Watanabe, M.; Baba, H. Epigenetic changes in gastrointestinal cancers. J. Cancer Metastasis Treat. 2015, 1, 113–122. [Google Scholar] [CrossRef][Green Version]
- Patel, T.N.; Roy, S.; Ravi, R. Gastric cancer and related epigenetic alterations. Ecancermedicalscience 2017, 11, 714. [Google Scholar] [CrossRef] [PubMed]
- Beetch, M.; Harandi-Zadeh, S.; Shen, K.; Lubecka, K.; Kitts, D.D.; O’Hagan, H.M.; Stefanska, B. Dietary antioxidants remodel DNA methylation patterns in chronic disease. Br. J. Pharmacol. 2020, 177, 1382–1408. [Google Scholar] [CrossRef] [PubMed]
- Liu, Y.; Feng, Y.; Li, Y.; Hu, Y.; Zhang, Q.; Huang, Y.; Shi, K.; Ran, C.; Hou, J.; Zhou, G.; et al. Chlorogenic Acid Decreases Malignant Characteristics of Hepatocellular Carcinoma Cells by Inhibiting DNMT1 Expression. Front. Pharmacol. 2020, 11, 867. [Google Scholar] [CrossRef]
- Luque-Badillo, A.C.; Hernandez-Tapia, G.; Ramirez-Castillo, D.A.; Espinoza-Serrano, D.; Cortes-Limon, A.M.; Cortes-Gallardo, J.P.; Jacobo-Velázquez, D.A.; Martinez-Fierro, M.L.; Rios-Ibarra, C.P. Gold nanoparticles enhance microRNA 31 detection in colon cancer cells after inhibition with chlorogenic acid. Oncol. Lett. 2021, 22, 22–27. [Google Scholar] [CrossRef] [PubMed]
- Ohishi, T.; Hayakawa, S.; Miyoshi, N. Involvement of microRNA modifications in anticancer effects of major polyphenols from green tea, coffee, wine, and curry. Crit. Rev. Food Sci. Nutr. 2022, 1–32. [Google Scholar] [CrossRef]
- Karabegović, I.; Portilla-Fernandez, E.; Li, Y.; Ma, J.; Maas, S.C.E.; Sun, D.; Hu, E.A.; Kühnel, B.; Zhang, Y.; Ambatipudi, S.; et al. Epigenome-wide association meta-analysis of DNA methylation with coffee and tea consumption. Nat. Commun. 2021, 12, 2830. [Google Scholar] [CrossRef] [PubMed]
- Itoh, S.; Yamazaki, J.; Iwahana, M.; Tsukamoto, A. Olsalazine inhibits cell proliferation and DNA methylation in canine lymphoid tumor cell lines. Pol. J. Vet. Sci. 2021, 24, 515–523. [Google Scholar] [CrossRef] [PubMed]
- Kiselev, K.V.; Tyunin, A.P.; Karetin, Y.A. Salicylic acid induces alterations in the methylation pattern of the VaSTS1, VaSTS2, and VaSTS10 genes in Vitis amurensis Rupr. cell cultures. Plant Cell Rep. 2015, 34, 311–320. [Google Scholar] [CrossRef] [PubMed]
- Teti, C.; Panciroli, M.; Nazzari, E.; Pesce, G.; Mariotti, S.; Olivieri, A.; Bagnasco, M. Iodoprophylaxis and thyroid autoimmunity: An update. Immunol. Res. 2021, 69, 129–138. [Google Scholar] [CrossRef] [PubMed]
- Ren, B.; Wan, S.; Wu, H.; Qu, M.; Chen, Y.; Liu, L.; Jin, M.; Zhou, Z.; Shen, H. Effect of different iodine levels on the DNA methylation of PRKAA2, ITGA6, THEM4 and PRL genes in PI3K-AKT signaling pathway and population-based validation from autoimmune thyroiditis patients. Eur. J. Nutr. 2022, 61, 3571–3583. [Google Scholar] [CrossRef]
- Qu, M.; Wan, S.; Wu, H.; Ren, B.; Chen, Y.; Liu, L.; Shen, H. The Whole Blood DNA Methylation Patterns of Extrinsic Apoptotic Signaling Pathway Related Genes in Autoimmune Thyroiditis among Areas with Different Iodine Levels. Br. J. Nutr. 2022, 9, 1–35. [Google Scholar] [CrossRef] [PubMed]
- Sung, B.; Pandey, M.K.; Ann, K.S.; Yi, T.; Chaturvedi, M.M.; Liu, M.; Aggarwal, B.B. Anacardic acid (6-nonadecyl salicylic acid), an inhibitor of histone acetyltransferase, suppresses expression of nuclear factor-κB-regulated gene products involved in cell survival, proliferation, invasion, and inflammation through inhibition of the inhib. Blood 2008, 111, 4880–4891. [Google Scholar] [CrossRef] [PubMed]
- Xu, J.; Gao, L.; Liang, H.; Zhang, S.; Lai, P.; Chen, S. Evidence for the anti-NAFLD effectiveness of chlorogenic acid as a HAT inhibitor using in vivo experiments supported by virtual molecular docking. Phytomedicine Plus 2021, 1, 100055. [Google Scholar] [CrossRef]
- Lubecka, K.; Kurzava, L.; Flower, K.; Buvala, H.; Zhang, H.; Teegarden, D.; Camarillo, I.; Suderman, M.; Kuang, S.; Andrisani, O.; et al. Stilbenoids remodel the DNA methylation patterns in breast cancer cells and inhibit oncogenic NOTCH signaling through epigenetic regulation of MAML2 transcriptional activity. Carcinogenesis 2016, 37, 656–668. [Google Scholar] [CrossRef]
- Tang, Y.A.; Lin, R.K.; Tsai, Y.T.; Hsu, H.S.; Yang, Y.C.; Chen, C.Y.; Wang, Y.C. MDM2 overexpression deregulates the transcriptional control of RB/E2F leading to DNA methyltransferase 3A overexpression in lung cancer. Clin. Cancer Res. 2012, 18, 4325–4333. [Google Scholar] [CrossRef][Green Version]
- Beetch, M.; Lubecka, K.; Shen, K.; Flower, K.; Harandi-Zadeh, S.; Suderman, M.; Flanagan, J.M.; Stefanska, B. Stilbenoid-Mediated Epigenetic Activation of Semaphorin 3A in Breast Cancer Cells Involves Changes in Dynamic Interactions of DNA with DNMT3A and NF1C Transcription Factor. Mol. Nutr. Food Res. 2019, 63, 1801386. [Google Scholar] [CrossRef]
- Rösner, H.; Möller, W.; Groebner, S.; Torremante, P. Antiproliferative/cytotoxic effects of molecular iodine, povidone-iodine and Lugol’s solution in different human carcinoma cell lines. Oncol. Lett. 2016, 12, 2159–2162. [Google Scholar] [CrossRef] [PubMed]
- Shrivastava, A.; Tiwari, M.; Sinha, R.A.; Kumar, A.; Balapure, A.K.; Bajpai, V.K.; Sharma, R.; Mitra, K.; Tandon, A.; Godbole, M.M. Molecular iodine induces caspase-independent apoptosis in human breast carcinoma cells involving the mitochondria-mediated pathway. J. Biol. Chem. 2006, 281, 19762–19771. [Google Scholar] [CrossRef] [PubMed]
- Santos Joseph Alvin, R.; Christoforou, A.; Trieu, K.; Bl, M.; Downs, S.; Billot, L.; Webster, J.; Li, M.; Jar, S.; Christoforou, A.; et al. Iodine fortification of foods and condiments, other than salt, for preventing iodine deficiency disorders. Cochrane Database Syst. Rev. 2019, 12, 1–9. [Google Scholar]
- Duborska, E.; Urik, M.; Šeda, M. Iodine Biofortification of Vegetables Could Improve Iodine Supplementation Status. Agronomy 2020, 10, 1574. [Google Scholar] [CrossRef]
- Smoleń, S.; Czernicka, M.; Kowalska, I.; Kȩska, K.; Halka, M.; Grzebelus, D.; Grzanka, M.; Skoczylas, Ł.; Pitala, J.; Koronowicz, A.; et al. New Aspects of Uptake and Metabolism of Non-organic and Organic Iodine Compounds—The Role of Vanadium and Plant-Derived Thyroid Hormone Analogs in Lettuce. Front. Plant Sci. 2021, 12, 653168. [Google Scholar] [CrossRef]
- Koronowicz, A.A.; Kopec, A.; Master, A.; Smoleñ, S.; Pitkowska, E.; Bieanowska-Kopec, R.; Ledwoyw-Smoleñ, I.; Skoczylas, L.; Rakoczy, R.; Leszczyñska, T.; et al. Transcriptome profiling of caco-2 cancer cell line following treatment with extracts from iodine-biofortified lettuce (Lactuca sativa L.). PLoS ONE 2016, 11, e0147336. [Google Scholar] [CrossRef]
- Kogai, T.; Brent, G. The sodium iodide symporter (NIS): Regulation and approaches to targeting for cancer therapeutics. Pharmacol. Ther. 2013, 135, 355–370. [Google Scholar] [CrossRef]
- Upadhyay, G.; Singh, R.; Agarwal, G.; Mishra, S.K.; Pal, L.; Pradhan, P.K.; Das, B.K.; Godbole, M.M. Functional expression of sodium iodide symporter (NIS) in human breast cancer tissue. Breast Cancer Res. Treat. 2003, 77, 157–165. [Google Scholar] [CrossRef]
- Stoddard, F.R.; Brooks, A.D.; Eskin, B.A.; Johannes, G.J. Iodine alters gene expression in the MCF7 breast cancer cell line: Evidence for an anti-estrogen effect of iodine. Int. J. Med. Sci. 2008, 5, 189–196. [Google Scholar] [CrossRef]
- Elengoe, A.; Hamdan, S. Evaluation of Mcf-7 Cell Viability By Ldh, Trypan Blue and Crystal Violet Staining. Malaysian J. Med. Res. 2017, 1, 37–42. [Google Scholar]
- Mickuviene, I.; Kirveliene, V.; Juodka, B. Experimental survey of non-clonogenic viability assays for adherent cells in vitro. Toxicol. Vitr. 2004, 18, 639–648. [Google Scholar] [CrossRef] [PubMed]
- Kanagalingam, J.; Feliciano, R.; Hah, J.H.; Labib, H.; Le, T.A.; Lin, J.C. Practical use of povidone-iodine antiseptic in the maintenance of oral health and in the prevention and treatment of common oropharyngeal infections. Int. J. Clin. Pract. 2015, 69, 1247–1256. [Google Scholar] [CrossRef] [PubMed]
- Aceves, C.; Mendieta, I.; Anguiano, B.; Delgado-González, E. Molecular iodine has extrathyroidal effects as an antioxidant, differentiator, and immunomodulator. Int. J. Mol. Sci. 2021, 22, 1228. [Google Scholar] [CrossRef] [PubMed]
- Nava-Villalba, M.; Nuñez-Anita, R.E.; Bontempo, A.; Aceves, C. Activation of peroxisome proliferator-activated receptor gamma is crucial for antitumoral effects of 6-iodolactone. Mol. Cancer 2015, 14, 168. [Google Scholar] [CrossRef]
- Bontempo, A.; Ugalde-Villanueva, B.; Delgado-Gonzalez, E.; Rodríguez, Á.L.; Aceves, C. Molecular iodine impairs chemoresistance mechanisms, enhances doxorubicin retention and induces downregulation of the CD44+/CD24+ and E-cadherin+/vimentin+ subpopulations in MCF-7 cells resistant to low doses of doxorubicin. Oncol. Rep. 2017, 38, 2867–2876. [Google Scholar] [CrossRef] [PubMed]
- Nava-Villalba, M.; Aceves, C. 6-Iodolactone, key mediator of antitumoral properties of iodine. Prostaglandins Other Lipid Mediat. 2014, 112, 27–33. [Google Scholar] [CrossRef] [PubMed]
- Komatsu, H.; Okayasu, I.; Mitomi, H.; Imai, H.; Nakagawa, Y.; Obata, F. Immunohistochemical detection of human gastrointestinal glutathione peroxidase in normal tissues and cultured cells with novel mouse monoclonal antibodies. J. Histochem. Cytochem. 2001, 49, 759–766. [Google Scholar] [CrossRef]
- Dachineni, R.; Ramesh Kumar, D.; Callegari, E.; Kesharwani, S.S.; Anan, R.S.; Seefeldt, T.; Tummala, H.; Jayarama Bhat, G. Salicylic acid metabolites and derivatives inhibit CDK activity: Novel insights into aspirin’s chemopreventive effects against colorectal cancer. Int. J. Oncol. 2017, 51, 1661–1671. [Google Scholar] [CrossRef]
- Zhou, W.; Liang, X.; Dai, P.; Chen, Y.; Zhang, Y.; Zhang, M.; Lu, L.; Jin, C.; Lin, X. Alteration of phenolic composition in lettuce (Lactuca sativa L.) by reducing nitrogen supply enhances its anti-proliferative effects on colorectal cancer cells. Int. J. Mol. Sci. 2019, 20, 4205. [Google Scholar] [CrossRef] [PubMed]
- Kiferle, C.; Ascrizzi, R.; Martinelli, M.; Gonzali, S.; Mariotti, L.; Pistelli, L.; Flamini, G.; Perata, P. Effect of Iodine treatments on Ocimum basilicum L.: Biofortification, phenolics production and essential oil composition. PLoS ONE 2019, 14, e0226559. [Google Scholar] [CrossRef] [PubMed]
- Maglione, G.; Vitale, E.; Costanzo, G.; Polimeno, F.; Arena, C.; Vitale, L. Iodine Enhances the Nutritional Value but Not the Tolerance of Lettuce to NaCl. Horticulturae 2022, 8, 662. [Google Scholar] [CrossRef]
- Subash-Babu, P.; Alshammari, G.M.; Ignacimuthu, S.; Alshatwi, A.A. Epoxy clerodane diterpene inhibits MCF-7 human breast cancer cell growth by regulating the expression of the functional apoptotic genes Cdkn2A, Rb1, mdm2 and p53. Biomed. Pharmacother. 2017, 87, 388–396. [Google Scholar] [CrossRef] [PubMed]
- Chen, K.; Zhang, Y.; Qian, L.; Wang, P. Emerging strategies to target RAS signaling in human cancer therapy. J. Hematol. Oncol. 2021, 14, 116. [Google Scholar] [CrossRef]
- Zhao, Y.; Yu, H.; Hu, W. The regulation of MDM2 oncogene and its impact on human cancers. Acta Biochim. Biophys. Sin. 2014, 46, 180–189. [Google Scholar] [CrossRef] [PubMed]
- Hou, H.; Sun, D.; Zhang, X. The role of MDM2 amplification and overexpression in therapeutic resistance of malignant tumors. Cancer Cell Int. 2019, 19, 216. [Google Scholar] [CrossRef] [PubMed]
- Chen, H.; Liu, H.; Qing, G. Targeting oncogenic Myc as a strategy for cancer treatment. Signal Transduct. Target. Ther. 2018, 3, 5. [Google Scholar] [CrossRef] [PubMed]






| Cytotoxicity [%] | |||
|---|---|---|---|
| Treatment | AGS | HT-29 | CCD 841 CoN |
| Control lettuce | 1.84 ± 0.04 | 3.24 ± 0.01 | 3.27 ± 0.37 |
| KIO3 lettuce | 1.18 ± 0.07 | 2.95 ± 0.13 | 0.00 ± 0.14 |
| 5-ISA lettuce | 0.11 ± 0.31 | 0.24 ± 0.06 | 5.69 ± 0.52 |
| 3,5-diISA lettuce | 6.27 ± 0.08 | 1.00 ± 0.04 | 2.29 ± 0.76 |
Publisher’s Note: MDPI stays neutral with regard to jurisdictional claims in published maps and institutional affiliations. |
© 2022 by the authors. Licensee MDPI, Basel, Switzerland. This article is an open access article distributed under the terms and conditions of the Creative Commons Attribution (CC BY) license (https://creativecommons.org/licenses/by/4.0/).
Share and Cite
Sularz, O.; Koronowicz, A.; Boycott, C.; Smoleń, S.; Stefanska, B. Molecular Effects of Iodine-Biofortified Lettuce in Human Gastrointestinal Cancer Cells. Nutrients 2022, 14, 4287. https://doi.org/10.3390/nu14204287
Sularz O, Koronowicz A, Boycott C, Smoleń S, Stefanska B. Molecular Effects of Iodine-Biofortified Lettuce in Human Gastrointestinal Cancer Cells. Nutrients. 2022; 14(20):4287. https://doi.org/10.3390/nu14204287
Chicago/Turabian StyleSularz, Olga, Aneta Koronowicz, Cayla Boycott, Sylwester Smoleń, and Barbara Stefanska. 2022. "Molecular Effects of Iodine-Biofortified Lettuce in Human Gastrointestinal Cancer Cells" Nutrients 14, no. 20: 4287. https://doi.org/10.3390/nu14204287
APA StyleSularz, O., Koronowicz, A., Boycott, C., Smoleń, S., & Stefanska, B. (2022). Molecular Effects of Iodine-Biofortified Lettuce in Human Gastrointestinal Cancer Cells. Nutrients, 14(20), 4287. https://doi.org/10.3390/nu14204287

