Uric Acid Levels Are Associated with Bone Mineral Density in Mexican Populations: A Longitudinal Study
Abstract
1. Introduction
2. Materials and Methods
2.1. Study Population
2.2. Bone Mineral Density Measurement
2.3. Uric Acid Level Assessment
2.4. Covariate Assessment
2.5. Statistical Analyses
3. Results
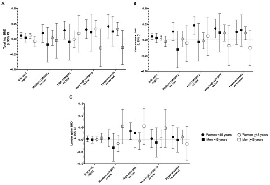
3.1. Cross-Sectional Associations between UA and BMD Levels by Sex and Age Groups
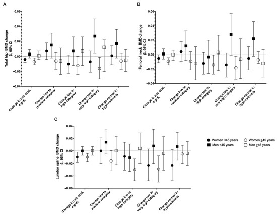
3.2. Longitudinal Associations between UA and BMD Levels by Sex and Age Groups
4. Discussion
5. Conclusions
Supplementary Materials
Author Contributions
Funding
Institutional Review Board Statement
Informed Consent Statement
Data Availability Statement
Acknowledgments
Conflicts of Interest
References
- Skoczyńska, M.; Chowaniec, M.; Szymczak, A.; Langner-Hetmańczuk, A.; Maciążek-Chyra, B.; Wiland, P. Pathophysiology of hyperuricemia and its clinical significance—A narrative review. Reumatologia 2020, 58, 312–323. [Google Scholar] [CrossRef] [PubMed]
- Glantzounis, G.K.; Tsimoyiannis, E.C.; Kappas, A.M.; Galaris, D.A. Uric acid and oxidative stress. Curr. Pharm. Des. 2005, 11, 4145–4151. [Google Scholar] [CrossRef] [PubMed]
- Ibrahim, W.N.; Younes, N.; Shi, Z.; Abu-Madi, M.A. Serum Uric Acid Level Is Positively Associated with Higher Bone Mineral Density at Multiple Skeletal Sites Among Healthy Qataris. Front. Endocrinol. 2021, 12, 653685. [Google Scholar] [CrossRef] [PubMed]
- Sánchez-Rodríguez, M.A.; Ruiz-Ramos, M.; Correa-Muñoz, E.; Mendoza-Núñez, V.M. Oxidative stress as a risk factor for osteoporosis in elderly Mexicans as characterized by antioxidant enzymes. BMC Musculoskelet. Disord. 2007, 8, 124. [Google Scholar] [CrossRef] [PubMed]
- Zhao, L.; Cao, L.; Zhao, T.-Y.; Yang, X.; Zhu, X.-X.; Zou, H.-J.; Wan, W.-G.; Xue, Y. Cardiovascular events in hyperuricemia population and a cardiovascular benefit-risk assessment of urate-lowering therapies: A systematic review and meta-analysis. Chin. Med. J. 2020, 133, 982–993. [Google Scholar] [CrossRef] [PubMed]
- Hwang, J.; Hwang, J.H.; Ryu, S.; Ahn, J.K. Higher serum uric acid is associated with higher lumbar spine bone mineral density in male health-screening examinees: A cross-sectional study. J. Bone Miner. Metab. 2019, 37, 142–151. [Google Scholar] [CrossRef]
- Veronese, N.; Carraro, S.; Bano, G.; Trevisan, C.; Solmi, M.; Luchini, C.; Manzato, E.; Caccialanza, R.; Sergi, G.; Nicetto, D.; et al. Hyperuricemia protects against low bone mineral density, osteoporosis and fractures: A systematic review and meta-analysis. Eur. J. Clin. Investig. 2016, 46, 920–930. [Google Scholar] [CrossRef]
- Yao, X.; Chen, L.; Xu, H.; Zhu, Z. The Association between Serum Uric Acid and Bone Mineral Density in Older Adults. Int. J. Endocrinol. 2020, 7, 3082318. [Google Scholar] [CrossRef] [PubMed]
- Tanaka, K.-I.; Kanazawa, I.; Notsu, M.; Sugimoto, T. Higher Serum Uric Acid is a Risk Factor of Reduced Muscle Mass in Men with Type 2 Diabetes Mellitus. Exp. Clin. Endocrinol. Diabetes 2021, 129, 50–55. [Google Scholar] [CrossRef]
- Yang, K.; Miao, H.; Zhao, R.; Wu, X.; Liu, B.; Zheng, S.; Huang, D.; Ping, Z. Association between serum uric acid and bone mineral density in patients with type 2 diabetes: A 6-year longitudinal study in China. Medicine 2021, 100, e25733. [Google Scholar] [CrossRef] [PubMed]
- Kang, S.; Kwon, D.; Lee, J.; Chung, Y.-J.; Kim, M.-R.; Namkung, J.; Jeung, I.C. Association between Serum Uric Acid Levels and Bone Mineral Density in Postmenopausal Women: A Cross-Sectional and Longitudinal Study. Healthcare 2021, 9, 1681. [Google Scholar] [CrossRef] [PubMed]
- Veronese, N.; Bolzetta, F.; De Rui, M.; Maggi, S.; Noale, M.; Zambon, S.; Corti, M.C.; Toffanello, E.D.; Baggio, G.; Perissinotto, E.; et al. Serum uric acid and incident osteoporotic fractures in old people: The PRO.V.A study. Bone 2015, 79, 183–189. [Google Scholar] [CrossRef] [PubMed]
- Mehta, T.; Bůžková, P.; Sarnak, M.J.; Chonchol, M.; Cauley, J.A.; Wallace, E.; Fink, H.A.; Robbins, J.; Jalal, D. Serum urate levels and the risk of hip fractures: Data from the Cardiovascular Health Study. Metabolism 2015, 64, 438–446. [Google Scholar] [CrossRef]
- Xiong, A.; Yao, Q.; He, J.; Fu, W.; Yu, J.; Zhang, Z. No causal effect of serum urate on bone-related outcomes among a population of postmenopausal women and elderly men of Chinese Han ethnicity—A Mendelian randomization study. Osteoporos. Int. 2016, 27, 1031–1039. [Google Scholar] [CrossRef] [PubMed]
- Zhang, D.; Bobulescu, I.A.; Maalouf, N.M.; Adams-Huet, B.; Poindexter, J.; Park, S.; Wei, F.; Chen, C.; Moe, O.W.; Sakhaee, K. Relationship between serum uric Acid and bone mineral density in the general population and in rats with experimental hyperuricemia. J. Bone Miner. Res. 2015, 30, 992–999. [Google Scholar] [CrossRef]
- Denova-Gutiérrez, E.; Flores, Y.N.; Gallegos-Carrillo, K.; Ramírez-Palacios, P.; Rivera-Paredez, B.; Muñoz-Aguirre, P.; Velázquez-Cruz, R.; Torres-Ibarra, L.; Meneses-León, J.; Méndez-Hernández, P.; et al. Health workers cohort study: Methods and study design. Salud Publica Mex. 2016, 58, 708–716. [Google Scholar] [CrossRef] [PubMed]
- Choi, J.W.J.; Ford, E.S.; Gao, X.; Choi, H.K. Sugar-sweetened soft drinks, diet soft drinks, and serum uric acid level: The Third National Health and Nutrition Examination Survey. Arthritis Rheum. 2008, 59, 109–116. [Google Scholar] [CrossRef] [PubMed]
- Davis, S.R.; Lambrinoudaki, I.; Lumsden, M.; Mishra, G.D.; Pal, L.; Rees, M.; Santoro, N.; Simoncini, T. Menopause. Nat. Rev. Dis. Prim. 2015, 1, 15004. [Google Scholar] [CrossRef] [PubMed]
- Emaus, N.; Berntsen, G.K.R.; Joakimsen, R.; Fonnebø, V. Longitudinal changes in forearm bone mineral density in women and men aged 45–84 years: The Tromso Study, a population-based study. Am. J. Epidemiol. 2006, 163, 441–449. [Google Scholar] [CrossRef]
- Zamani, M.; Zamani, V.; Heidari, B.; Parsian, H.; Esmaeilnejad-Ganji, S.M. Prevalence of osteoporosis with the World Health Organization diagnostic criteria in the Eastern Mediterranean Region: A systematic review and meta-analysis. Arch. Osteoporos. 2018, 13, 129. [Google Scholar] [CrossRef] [PubMed]
- Schousboe, J.T.; Ensrud, K.E. Diagnostic criteria for osteoporosis should not be expanded. Lancet Diabetes Endocrinol. 2015, 3, 236–238. [Google Scholar] [CrossRef]
- Shivappa, N.; Steck, S.E.; Hurley, T.G.; Hussey, J.R.; Hébert, J.R. Designing and developing a literature-derived, population-based dietary inflammatory index. Public Health Nutr. 2014, 17, 1689–1696. [Google Scholar] [CrossRef] [PubMed]
- Martínez-González, M.A.; López-Fontana, C.; Varo, J.J.; Sánchez-Villegas, A.; Martinez, J.A. Validation of the Spanish version of the physical activity questionnaire used in the Nurses’ Health Study and the Health Professionals’ Follow-up Study. Public Health Nutr. 2005, 8, 920–927. [Google Scholar] [CrossRef]
- WHO. Global Recommendations on Physical Activity for Health; World Health Organization: Geneva, Switzerland, 2010. [Google Scholar] [CrossRef]
- American Diabetes Association Professional Practice Committee. 2. Classification and Diagnosis of Diabetes: Standards of Medical Care in Diabetes—2022. Diabetes Care 2021, 45, S17–S38. [Google Scholar] [CrossRef]
- Institute of Medicine (US) Committee on Nutrition Services for Medicare Beneficiaries. The Role of Nutrition in Maintaining Health in the Nation’s Elderly: Evaluating Coverage of Nutrition Services for the Medicare Population Washington (DC); National Academies Press: Washington, DC, USA, 2000; ISBN 0309068460. [Google Scholar]
- WHO (World Health Organization). WHO Obesity and Overweight Fact Sheet No 311; World Health Organization: Geneva, Switzerland, 2013. [Google Scholar]
- Allison, P. Fixed Effects Regression Models; SAGE Publications: Thousand Oaks, CA, USA, 2009; ISBN 9780761924975. [Google Scholar]
- Cauley, J.A. Estrogen and bone health in men and women. Steroids 2015, 99, 11–15. [Google Scholar] [CrossRef]
- Garnero, P.; Sornay-Rendu, E.; Claustrat, B.; Delmas, P.D. Biochemical markers of bone turnover, endogenous hormones and the risk of fractures in postmenopausal women: The OFELY study. J. Bone Miner. Res. 2000, 15, 1526–1536. [Google Scholar] [CrossRef]
- Finkelstein, J.S.; Brockwell, S.E.; Mehta, V.; Greendale, G.A.; Sowers, M.R.; Ettinger, B.; Lo, J.C.; Johnston, J.M.; Cauley, J.A.; Danielson, M.E.; et al. Bone mineral density changes during the menopause transition in a multiethnic cohort of women. J. Clin. Endocrinol. Metab. 2008, 93, 861–868. [Google Scholar] [CrossRef]
- Antón, F.M.; García Puig, J.; Ramos, T.; González, P.; Ordás, J. Sex differences in uric acid metabolism in adults: Evidence for a lack of influence of estradiol-17 beta (E2) on the renal handling of urate. Metabolism 1986, 35, 343–348. [Google Scholar] [CrossRef]
- Halperin Kuhns, V.L.; Woodward, O.M. Sex Differences in Urate Handling. Int. J. Mol. Sci. 2020, 21, 4269. [Google Scholar] [CrossRef]
- Ahn, S.H.; Lee, S.H.; Kim, B.-J.; Lim, K.-H.; Bae, S.J.; Kim, E.H.; Kim, H.-K.; Choe, J.W.; Koh, J.-M.; Kim, G.S. Higher serum uric acid is associated with higher bone mass, lower bone turnover, and lower prevalence of vertebral fracture in healthy postmenopausal women. Osteoporos. Int. 2013, 24, 2961–2970. [Google Scholar] [CrossRef]
- Makovey, J.; Macara, M.; Chen, J.S.; Hayward, C.S.; March, L.; Seibel, M.J.; Sambrook, P.N. Serum uric acid plays a protective role for bone loss in peri- and postmenopausal women: A longitudinal study. Bone 2013, 52, 400–406. [Google Scholar] [CrossRef] [PubMed]
- Lin, K.-M.; Lu, C.-L.; Hung, K.-C.; Wu, P.-C.; Pan, C.-F.; Wu, C.-J.; Syu, R.-S.; Chen, J.-S.; Hsiao, P.-J.; Lu, K.-C. The Paradoxical Role of Uric Acid in Osteoporosis. Nutrients 2019, 11, 2111. [Google Scholar] [CrossRef] [PubMed]
- Chen-Xu, M.; Yokose, C.; Rai, S.K.; Pillinger, M.H.; Choi, H.K. Contemporary Prevalence of Gout and Hyperuricemia in the United States and Decadal Trends: The National Health and Nutrition Examination Survey, 2007–2016. Arthritis Rheumatol. 2019, 71, 991–999. [Google Scholar] [CrossRef] [PubMed]
- Ovalle, F.; Bell, D.S. Hormone replacement therapy and serum uric acid. Lancet 1999, 354, 1643, author reply 1644. [Google Scholar] [CrossRef]
- Johnson, R.J.; Nakagawa, T.; Sanchez-Lozada, L.G.; Shafiu, M.; Sundaram, S.; Le, M.; Ishimoto, T.; Sautin, Y.Y.; Lanaspa, M.A. Sugar, uric acid, and the etiology of diabetes and obesity. Diabetes 2013, 62, 3307–3315. [Google Scholar] [CrossRef]
- Evans, P.L.; Prior, J.A.; Belcher, J.; Mallen, C.D.; Hay, C.A.; Roddy, E. Obesity, hypertension and diuretic use as risk factors for incident gout: A systematic review and meta-analysis of cohort studies. Arthritis Res. Ther. 2018, 20, 136. [Google Scholar] [CrossRef]
- Tanaka, K.-I.; Kanazawa, I.; Notsu, M.; Sugimoto, T. Higher Serum Uric Acid is a Risk Factor of Vertebral Fractures in Postmenopausal Women with Type 2 Diabetes Mellitus. Exp. Clin. Endocrinol. Diabetes 2020, 128, 66–71. [Google Scholar] [CrossRef]
- Lee, Y.J.; Hong, J.Y.; Kim, S.C.; Joo, J.K.; Na, Y.J.; Lee, K.S. The association between oxidative stress and bone mineral density according to menopausal status of Korean women. Obstet. Gynecol. Sci. 2015, 58, 46–52. [Google Scholar] [CrossRef]
- Bai, X.; Lu, D.; Bai, J.; Zheng, H.; Ke, Z.; Li, X.; Luo, S. Oxidative stress inhibits osteoblastic differentiation of bone cells by ERK and NF-kappaB. Biochem. Biophys. Res. Commun. 2004, 314, 197–207. [Google Scholar] [CrossRef]
- Li, X.; Li, L.; Yang, L.; Yang, J.; Lu, H. No association between serum uric acid and lumbar spine bone mineral density in US adult males: A cross sectional study. Sci. Rep. 2021, 11, 15588. [Google Scholar] [CrossRef]
- Yan, D.-D.; Wang, J.; Hou, X.-H.; Bao, Y.-Q.; Zhang, Z.-L.; Hu, C.; Jia, W.-P. Association of serum uric acid levels with osteoporosis and bone turnover markers in a Chinese population. Acta Pharmacol. Sin. 2018, 39, 626–632. [Google Scholar] [CrossRef] [PubMed]


| Total n = 1423 | Females n = 1051 | Males n = 372 | |
|---|---|---|---|
| Age a, years | 46(37–55) | 46(37–56) | 45(36–54) * |
| BMI a, kg/m2 | 26.1(23.6–29.0) | 25.9(23.5–29.0) | 26.5(24.2–28.9) |
| Overweight, % | 43.1 | 40.8 | 49.5 ** |
| Obesity, % | 19.3 | 19.6 | 18.6 |
| Body fat proportion a | 40.7(33.8–45.8) | 43.2(38.7–47.2) | 30.6(27.0–35.0) *** |
| Diabetes, % | 8.6 | 8.7 | 8.3 |
| Uric acid a, mg/dL | 4.8(3.9–5.9) | 4.4(3.7–5.3) | 6.0(5.2–6.8) *** |
| Hyperuricemia, % | 18.2 | 16.9 | 21.8 * |
| Creatinine a, mg/dL | 0.9(0.8–1) | 0.8(0.7–1.0) | 1.0(0.9–1.2) *** |
| CKD-EPI equation a | 98.1(91.1–105.5) | 98.1(90.8–105.9) | 97.8(91.6–104.7) |
| Dietary inflammatory index a | 0.09(−1.41, 1.85) | −0.05(−1.48, 1.78) | 0.37(−1.09, 2.25) ** |
| Energy a, kcal/day | 1980(1528–2536) | 1928(1512–2451) | 2150(1612–2785) *** |
| Smoking status, % | |||
| Past, % | 28.3 | 23.8 | 41.1 *** |
| Current, % | 16.0 | 13.7 | 22.3 *** |
| Phosphorous intake a, mg/day | 1326(1019–1742) | 1298(999–1689) | 1419(1085–1835) ** |
| Calcium intake a, mg/day | 985(817–1203) | 993(825–1208) | 950(794–1196) |
| Calcium supplements, % | 14.3 | 17.9 | 4.3 *** |
| Hormone replacement therapy, % | - | 6.1 | - |
| Hip BMD a, g/cm2 | 1.019(0.923–1.112) | 0.996(0.904–1.082) | 1.084(0.997–1.189) *** |
| Hip T-score a | −0.10(−0.82, 0.61) | −0.09(−0.85, 0.61) | −0.11(−0.72, 0.64) |
| Low hip BMD, % | 20.2 | 21.0 | 17.7 |
| Femoral neck BMD a, g/cm2 | 0.978(0.884–1.077) | 0.960(0.867, 1.050) | 1.029(0.942, 1.145) *** |
| Femoral neck T-score a | −0.58(−1.35, 0.22) | −0.69(−1.45, 0.09) | −0.34(−0.95, 0.58) *** |
| Lumbar spine BMD a, g/cm2 | 1.113(1.009–1.223) | 1.102(0.999–1.213) | 1.148(1.041–1.258) *** |
| Lumbar spine T-score a | −0.78(−1.63, 0.09) | −0.78(−1.63, 0.09) | −0.77(−1.64, 0.09) |
| High leisure time physical activity, % | 38.5 | 35.3 | 47.4 *** |
| <45 Years | ≥45 Years | |||||||
|---|---|---|---|---|---|---|---|---|
| Females (n = 455) | Males (n = 181) | Females (n = 596) | Males (n = 191) | |||||
| Baseline | Follow-Up | Baseline | Follow-Up | Baseline | Follow-up | Baseline | Follow-Up | |
| Age a, years | 36 (31–41) | 43 (38–48) *** | 36 (31–40) | 43 (38–47) *** | 55 (49–61) | 61 (56–68) *** | 54 (48–60) | 60 (55–67) *** |
| BMI a, kg/m2 | 24.7 (22.5–27.8) | 25.7 (23.3–29.2) *** | 26.2 (24.2–28.8) | 27.9 (24.7–29.5) *** | 26.8 (24.5–29.9) | 26.9 (24.6–30.0) * | 26.7 (24.5–29.0) | 26.9 (24.0–29.1) |
| Overweight, % | 33.0 | 34.4 | 51.4 | 49.7 | 46.7 | 47.0 | 49.5 | 47.5 |
| Obesity, % | 13.6 | 19.9* | 18.2 | 21.0 | 24.1 | 24.9 | 18.6 | 186 |
| Body fat proportion a | 40.8 (40.2–41.4) | 44.0 (43.4–44.6) *** | 31.1 (29.6–32.5) | 32.3 (31.3–33.2) * | 43.9 (43.4–44.4) | 45.0 (44.5–45.5) *** | 30.9 (30.0–31.8) | 31.9 (31.0–32.8) ** |
| Uric acid a, mg/dL | 4.1 (4.0–4.2) | 4.4 (4.3–4.5) *** | 6.4 (6.2–6.6) | 6.3 (6.1–6.5) | 4.9 (4.8–5.0) | 5.2 (5.1–5.3) *** | 5.9 (5.7–6.1) | 6.1 (5.9–6.3) * |
| Hyperuricemia, % | 8.5 (6.0–11.1) | 12.7 (9.6–15.8) * | 26.0 (19.5–324) | 24.9 (18.5–31.2) | 23.8 (20.4–27.2) | 30.0 (26.4–33.6) ** | 17.5 (12.1–22.9) | 25.3 (19.0–31.4) * |
| Creatinine a, mg/dL | 0.84 (0.83–0.86) | 0.72 (0.71–0.73) *** | 1.03 (1.01–1.06) | 0.90 (0.87–0.92) *** | 0.84 (0.83–0.86) | 0.72 (0.71–0.74) *** | 1.04 (1.01–1.06) | 0.93 (0.90–0.96) *** |
| CKD-EPI equation a | 106.6 (105.8–107.4) | 106.6 (105.8–107.4) | 104.7 (103.5–105.9) | 106.2 (104.8–107.6) * | 92.4 (91.7–93.1) | 92.6 (91.8–93.3) | 92.0 (90.2–93.9) | 91.4 (90.0–92.8) |
| Dietary inflammatory index a | 0.11 (−1.43, 1.84) | 0.70 (−1.09, 2.36) ** | 0.63 (−1.03, 2.40) | 0.90 (−0.68, 2.50) | −0.12 (−1.57, 1.66) | 0.50 (−0.90, 2.14) *** | 0.25 (−1.11, 2.02) | 0.81 (−0.75, 2.38) * |
| Energy a, kcal/day | 2148 (2068–2227) | 1880 (1806–1953) *** | 2310 (2177–2442) | 2122 (1985–2261) ** | 2008 (1944–2073) | 1750 (1694–1807) *** | 2224 (2103–2346) | 1908 (1803–2013) *** |
| Smoking status, % | ||||||||
| Past, % | 21.2 | 26.9 * | 34.8 | 47.5 * | 25.9 | 32.5 * | 46.4 | 55.7 |
| Current, % | 14.9 | 12.7 | 25.4 | 18.8 | 13.0 | 7.9 ** | 19.1 | 12.4 |
| Phosphorous intake a, mg/day | 1308 (1015–1731) | 1070 (766–1451) *** | 1504 (1126–1838) | 1190 (944–1621) *** | 1294 (994–1681) | 1045 (786–1434) *** | 1378 (1037–1815) | 1089 (794–1491) *** |
| Calcium intake a, mg/day | 1062 (1009–1113) | 867 (820–914) *** | 1001 (927–1075) | 894 (814–975) * | 1059 (1013–1105) | 867 (828–906) *** | 1043 (961–1126) | 842 (774–909) *** |
| Calcium supplements, % | 7.0 | 6.8 | 1.1 | 0.0 | 26.2 | 26.1 | 7.7 | 0.0 *** |
| Hormone replacement therapy, % | 3.3 | 3.7 | - | - | 8.4 | 5.4 * | - | - |
| Diuretics, % | 0.9 | 1.5 | 0 | 0.6 | 1.2 | 2.9 | 0.5 | 3.1 |
| Hip BMD a, g/cm2 | 1.040 (1.029–1.051) | 1.027 (1.015–1.038) *** | 1.126 (1.104–1.147) | 1.111 (1.089–1.132) ** | 0.962 (−0.051, −0.044) | 0.914 (0.904, 0.925) *** | 1.061 (1.039–1.082) | 1.037 (1.015–1.058) *** |
| Hip T-score a | 0.20 (−0.37, 0.90) | 0.06 (−0.57, 0.81) *** | 0.16 (−0.49, 0.86) | 0.09 (−0.65, 0.66) *** | −0.40 (−1.11, 0.41) | −0.75 (−1.44, −0.09) *** | −0.32 (−0.95, 0.34) | −0.47 (−1.11, 0.27) *** |
| Low hip BMD, % | 9.8 | 12.9 | 11.6 | 14.4 | 29.8 | 41.3 *** | 31.4 | 23.7 |
| Femoral neck BMD a, g/cm2 | 1.008 (0.996–1.019) | 1.019 (1.008–1.030) *** | 1.096 (1.073, 1.118) | 1.073 (1.051–1.095) *** | 0.917 (0.907–0.928) | 0.868 (0.858–0.877) *** | 0.994 (0.973–1.026) | 0.962 (0.941–0.983) *** |
| Femoral neck T-score a | −0.19 (−0.86, 0.55) | −0.30 (−0.84, 0.35) | 0.11 (−0.67, 0.93) | −0.03 (−0.75, 0.60) | −1.03 (−1.74, −0.24) | −1.25 (−1.84, −0.61) | −0.63 (−1.29, 0.06) | −0.86 (−1.46, −0.15) |
| Lumbar spine BMD a, g/cm2 | 1.172 (1.159–1.184) | 1.159 (1.147–1.172) ** | 1.162 (1.142–1.183) | 1.162 (1.140–1.184) | 1.045 (1.032–1.058) | 1.006 (0.994–1.018) *** | 1.152 (1.127–1.178) | 1.167 (1.142–1.193) ** |
| Lumbar spine T-score a | −0.26 (−0.88, 0.45) | −0.41 (−1.08, 0.44) *** | −0, 70 (−1.45, 0.16) | −0.76 (−1.45, 0.12) | −1.33 (−2.15, −0.40) | −1.70 (−2.42, −0.78) *** | −0.88 (−1.80, 0.09) | −0.77 (−1.71, 0.21) * |
| High leisure time physical activity, % | 30.4 | 32.0 | 47.8 | 39.2 | 38.9 | 32.0 * | 46.9 | 40.7 |
Publisher’s Note: MDPI stays neutral with regard to jurisdictional claims in published maps and institutional affiliations. |
© 2022 by the authors. Licensee MDPI, Basel, Switzerland. This article is an open access article distributed under the terms and conditions of the Creative Commons Attribution (CC BY) license (https://creativecommons.org/licenses/by/4.0/).
Share and Cite
Robles-Rivera, K.; Argoty-Pantoja, A.D.; Hidalgo-Bravo, A.; Quezada-Sánchez, A.D.; León-Reyes, G.; Flores, Y.N.; Salmerón, J.; Velázquez-Cruz, R.; Rivera-Paredez, B. Uric Acid Levels Are Associated with Bone Mineral Density in Mexican Populations: A Longitudinal Study. Nutrients 2022, 14, 4245. https://doi.org/10.3390/nu14204245
Robles-Rivera K, Argoty-Pantoja AD, Hidalgo-Bravo A, Quezada-Sánchez AD, León-Reyes G, Flores YN, Salmerón J, Velázquez-Cruz R, Rivera-Paredez B. Uric Acid Levels Are Associated with Bone Mineral Density in Mexican Populations: A Longitudinal Study. Nutrients. 2022; 14(20):4245. https://doi.org/10.3390/nu14204245
Chicago/Turabian StyleRobles-Rivera, Karina, Anna D. Argoty-Pantoja, Alberto Hidalgo-Bravo, Amado D. Quezada-Sánchez, Guadalupe León-Reyes, Yvonne N. Flores, Jorge Salmerón, Rafael Velázquez-Cruz, and Berenice Rivera-Paredez. 2022. "Uric Acid Levels Are Associated with Bone Mineral Density in Mexican Populations: A Longitudinal Study" Nutrients 14, no. 20: 4245. https://doi.org/10.3390/nu14204245
APA StyleRobles-Rivera, K., Argoty-Pantoja, A. D., Hidalgo-Bravo, A., Quezada-Sánchez, A. D., León-Reyes, G., Flores, Y. N., Salmerón, J., Velázquez-Cruz, R., & Rivera-Paredez, B. (2022). Uric Acid Levels Are Associated with Bone Mineral Density in Mexican Populations: A Longitudinal Study. Nutrients, 14(20), 4245. https://doi.org/10.3390/nu14204245

