High Levels of Nutrients of Concern in Baby Foods Available in Europe That Contain Sugar-Contributing Ingredients or Are Ultra-Processed
Abstract
:1. Introduction
2. Materials and Methods
2.1. Data Collection
2.2. Data Analysis
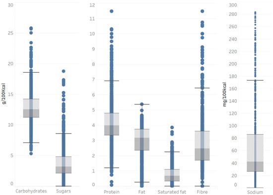
3. Results
4. Discussion
5. Conclusions
Author Contributions
Funding
Data Availability Statement
Acknowledgments
Conflicts of Interest
Appendix A
| Baby Cereals |
| These products are often a baby’s first introduction to solid food and are commonly in powdered format, but may also be ready to eat in jars or pots. Includes semolina, porridges and creamed rice. Breakfast cereals marketed at babies, such as corn flakes for babies are also categorised here. |
| Baby Biscuits and Rusks |
| All biscuits, rusks and crackers positioned for babies and toddlers. |
| Baby Juices and Drinks |
| Beverages for babies in all formats (including beverage mixes and concentrates). Includes fruit juices and fruit and cereal drinks, as well as drinks that claim to also be a meal. Milk drinks and formulas are not included here. |
| Baby Fruit Products, Desserts and Yoghurts |
| Products in this subcategory include single-fruit purées, multi-fruit purées, fruit and cereal combinations, milky desserts, yoghurts as well as fruit pieces specified for babies and toddlers. Fruit-flavoured snacks are categorised under Baby Snacks. |
| Baby Snacks |
| Items positioned as snacks for babies belong under this subcategory unless they are items that call themselves snacks but are actually puddings, biscuits, etc. |
| Baby Savoury Meals and Dishes |
| These products range from vegetable purées, soups, meat preparations, mixed vegetable purées, vegetarian menus (complete meals), complete vegetable meals with meat or fish and all other complete meals. |
| Other Baby Food |
| This category includes food items designated for babies and toddlers that do not fall into the other subcategories. Includes products such as cheese for babies, individual sauces for pasta and separate pasta items, as well as dressings for babies. Excludes products intended to treat dehydration or medical conditions. |
| Baby Cereals | Baby Biscuits and Rusks | Baby Juices and Drinks | Baby Fruit Products, Desserts and Yoghurts | Baby Snacks | Baby Savoury Meals and Dishes | Other Baby Food | Total | |
|---|---|---|---|---|---|---|---|---|
| Total | 571 | 233 | 147 | 1306 | 394 | 721 | 55 | 3427 |
| Austria | 31 | 14 | 7 | 55 | 20 | 25 | 1 | 153 |
| Belgium | 2 | 5 | 0 | 11 | 1 | 10 | 0 | 29 |
| Bulgaria | 0 | 1 | 0 | 0 | 0 | 0 | 0 | 1 |
| Croatia | 1 | 0 | 1 | 8 | 2 | 1 | 0 | 13 |
| Czechia | 10 | 12 | 11 | 67 | 15 | 31 | 0 | 146 |
| Denmark | 12 | 4 | 4 | 49 | 17 | 11 | 0 | 97 |
| Estonia | 0 | 1 | 0 | 0 | 0 | 0 | 1 | 2 |
| Finland | 15 | 3 | 2 | 30 | 13 | 8 | 0 | 71 |
| France | 40 | 34 | 6 | 153 | 12 | 125 | 3 | 373 |
| Germany | 118 | 38 | 51 | 221 | 75 | 105 | 7 | 615 |
| Greece | 1 | 3 | 1 | 3 | 4 | 0 | 0 | 12 |
| Hungary | 9 | 2 | 1 | 44 | 4 | 6 | 0 | 66 |
| Ireland | 0 | 2 | 2 | 3 | 3 | 3 | 0 | 13 |
| Italy | 17 | 14 | 6 | 34 | 3 | 28 | 17 | 119 |
| Latvia | 2 | 0 | 0 | 5 | 0 | 1 | 0 | 8 |
| Lithuania | 2 | 3 | 0 | 4 | 1 | 0 | 0 | 10 |
| Netherlands | 15 | 6 | 3 | 31 | 14 | 17 | 2 | 88 |
| Poland | 49 | 12 | 18 | 120 | 29 | 44 | 4 | 276 |
| Portugal | 7 | 6 | 1 | 33 | 5 | 2 | 54 | |
| Romania | 8 | 9 | 1 | 4 | 1 | 0 | 3 | 26 |
| Slovakia | 15 | 7 | 13 | 39 | 8 | 2 | 3 | 87 |
| Slovenia | 0 | 0 | 1 | 4 | 5 | 1 | 0 | 11 |
| Spain | 61 | 22 | 7 | 152 | 3 | 77 | 0 | 322 |
| Sweden | 3 | 0 | 0 | 8 | 8 | 2 | 0 | 21 |
| Norway | 61 | 2 | 2 | 86 | 36 | 31 | 0 | 218 |
| Switzerland | 21 | 7 | 6 | 34 | 19 | 14 | 1 | 102 |
| United Kingdom | 71 | 26 | 3 | 108 | 96 | 177 | 13 | 494 |
Appendix B








References
- Birch, L.L.; Doub, A.E. Learning to Eat: Birth to Age 2 y. Am. J. Clin. Nutr. 2014, 99, 723S–728S. [Google Scholar] [CrossRef] [Green Version]
- Nicklaus, S. Development of Food Variety in Children. Appetite 2009, 52, 253–255. [Google Scholar] [CrossRef]
- Mennella, J.A. Ontogeny of Taste Preferences: Basic Biology and Implications for Health. Am. J. Clin. Nutr. 2014, 99, 704S–711S. [Google Scholar] [CrossRef] [Green Version]
- WHO. The Optimal Duration of Exclusive Breastfeeding. Report of an Expert Consultation; World Health Organization: Geneva, Switzerland, 2001. [Google Scholar]
- EFSA. Appropriate Age Range for Introduction of Complementary Feeding into an Infant’s Diet. Available online: https://www.efsa.europa.eu/en/efsajournal/pub/5780 (accessed on 29 June 2021).
- Grammatikaki, E.; Wollgast, J.; Caldeira, S. Feeding Infants and Young Children. A Compilation of National Food-Based Dietary Guidelines and Specific Products Available in the EU Market; European Union: Maastrick, The Netherlands, 2019. [Google Scholar]
- European Commission. High Level Group on Nutrition and Physical Activity. EU Framework for National Initiatives on Selected Nutrients. 2011. Available online: https://ec.europa.eu/health/sites/default/files/nutrition_physical_activity/docs/euframework_national_nutrients_en.pdf (accessed on 29 August 2021).
- European Commission. Annex I: Saturated Fat. EU Framework for National Initiatives on Selected Nutrients. 2012. Available online: https://ec.europa.eu/health/sites/default/files/nutrition_physical_activity/docs/satured_fat_eufnisn_en.pdf (accessed on 29 August 2021).
- European Commission. High Level Group on Nutrition and Physical Activity. Annex II, Added Sugars. EU Framework for National Initiatives on Selected Nutrients. 2015. Available online: https://ec.europa.eu/health/sites/default/files/nutrition_physical_activity/docs/added_sugars_en.pdf (accessed on 29 August 2021).
- European Commission. High Level Group on Nutrition and Physical Activity. EU Framework for National Salt Initiatives. 2008. Available online: https://ec.europa.eu/health/ph_determinants/life_style/nutrition/documents/national_salt_en.pdf (accessed on 29 August 2021).
- WHO Europe. Better Food and Nutrition in Europe: A Progress Report Monitoring Policy Implementation in the WHO European Region; World Health Organization: Geneva, Switzerland, 2018. [Google Scholar]
- World Health Organization. Guideline: Sugars Intake for Adults and Children; World Health Organization: Geneva, Switzerland, 2015. [Google Scholar]
- WHO Europe. Commercial Foods for Infants and Young Children; World Health Organization: Copenhagen, Denmark, 2019. [Google Scholar]
- Hutchinson, J.; Rippin, H.; Threapleton, D.; Jewell, J.; Kanamäe, H.; Salupuu, K.; Caroli, M.; Antignani, A.; Pace, L.; Vassallo, C.; et al. High Sugar Content of European Commercial Baby Foods and Proposed Updates to Existing Recommendations. Matern. Child Nutr. 2021, 17, e13020. [Google Scholar] [CrossRef] [PubMed]
- García, A.L.; Morillo-Santander, G.; Parrett, A.; Mutoro, A.N. Confused Health and Nutrition Claims in Food Marketing to Children Could Adversely Affect Food Choice and Increase Risk of Obesity. Arch. Dis. Child. 2019, 104, 541–546. [Google Scholar] [CrossRef]
- SACN. Final Minutes of the 48th SACN Meeting; Scientific Advisory Committee on Nutrition (SACN): London, UK, 2016.
- Vandevijvere, S.; Jaacks, L.M.; Monteiro, C.A.; Moubarac, J.-C.; Girling-Butcher, M.; Lee, A.C.; Pan, A.; Bentham, J.; Swinburn, B. Global Trends in Ultraprocessed Food and Drink Product Sales and Their Association with Adult Body Mass Index Trajectories. Obes. Rev. 2019, 20, 10–19. [Google Scholar] [CrossRef]
- Afshin, A.; Sur, P.J.; Fay, K.A.; Cornaby, L.; Ferrara, G.; Salama, J.S.; Mullany, E.C.; Abate, K.H.; Abbafati, C.; Abebe, Z.; et al. Health Effects of Dietary Risks in 195 Countries, 1990–2017: A Systematic Analysis for the Global Burden of Disease Study 2017. Lancet 2019, 393, 1958–1972. [Google Scholar] [CrossRef] [Green Version]
- Monteiro, C.A.; Cannon, G.; Levy, R.B.; Moubarac, J.-C.; Louzada, M.L.; Rauber, F.; Khandpur, N.; Cediel, G.; Neri, D.; Martinez-Steele, E.; et al. Ultra-Processed Foods: What They Are and How to Identify Them. Public Health Nutr. 2019, 22, 936–941. [Google Scholar] [CrossRef]
- Aguayo-Patrón, S.V.; Calderón de la Barca, A.M. Old Fashioned vs. Ultra-Processed-Based Current Diets: Possible Implication in the Increased Susceptibility to Type 1 Diabetes and Celiac Disease in Childhood. Foods 2017, 6, 100. [Google Scholar] [CrossRef] [Green Version]
- Costa, C.S.; Rauber, F.; Leffa, P.S.; Sangalli, C.N.; Campagnolo, P.D.B.; Vitolo, M.R. Ultra-Processed Food Consumption and Its Effects on Anthropometric and Glucose Profile: A Longitudinal Study during Childhood. Nutr. Metab. Cardiovasc. Dis. 2019, 29, 177–184. [Google Scholar] [CrossRef] [PubMed]
- Leffa, P.S.; Hoffman, D.J.; Rauber, F.; Sangalli, C.N.; Valmórbida, J.L.; Vitolo, M.R. Longitudinal Associations between Ultra-Processed Foods and Blood Lipids in Childhood. Br. J. Nutr. 2020, 124, 341–348. [Google Scholar] [CrossRef] [Green Version]
- Vedovato, G.M.; Vilela, S.; Severo, M.; Rodrigues, S.; Lopes, C.; Oliveira, A. Ultra-Processed Food Consumption, Appetitive Traits and BMI in Children: A Prospective Study. Br. J. Nutr. 2021, 125, 1427–1436. [Google Scholar] [CrossRef]
- Hall, K.D.; Ayuketah, A.; Brychta, R.; Cai, H.; Cassimatis, T.; Chen, K.Y.; Chung, S.T.; Costa, E.; Courville, A.; Darcey, V.; et al. Ultra-Processed Diets Cause Excess Calorie Intake and Weight Gain: An Inpatient Randomized Controlled Trial of Ad Libitum Food Intake. Cell Metab. 2019, 30, 67–77.e3. [Google Scholar] [CrossRef] [PubMed] [Green Version]
- Khandpur, N.; Neri, D.A.; Monteiro, C.; Mazur, A.; Frelut, M.L.; Boyland, E.; Weghuber, D.; Thivel, D. Ultra-Processed Food Consumption among the Paediatric Population: An Overview and Call to Action from the European Childhood Obesity Group. ANM 2020, 76, 109–113. [Google Scholar] [CrossRef]
- Spaniol, A.M.; da Costa, T.H.M.; de Souza, A.M.; Gubert, M.B. Early Consumption of Ultra-Processed Foods among Children under 2 Years Old in Brazil. Public Health Nutr. 2021, 24, 1–11. [Google Scholar] [CrossRef] [PubMed]
- Batalha, M.A.; da França, A.K.T.C.; da Conceição, S.I.O.; dos Santos, A.M.; de Silva, F.S.; Padilha, L.L.; da Silva, A.A.M. Processed and Ultra-Processed Food Consumption among Children Aged 13 to 35 Months and Associated Factors. Cad. Saúde Pública 2017, 33. [Google Scholar] [CrossRef] [PubMed] [Green Version]
- Da Rocha, K.F.; de Araújo, C.R.; de Morais, I.L.; Padrão, P.; Moreira, P.; da S. Ribeiro, K.D. Commercial Foods for Infants under the Age of 36 Months: An Assessment of the Availability and Nutrient Profile of Ultra-Processed Foods. Public Health Nutr. 2021, 24, 3179–3186. [Google Scholar] [CrossRef] [PubMed]
- European Commission. Guidance Document for Competent Authorities for the Control of Compliance with EU Legislation on: Regulation (EU) No 1169/2011 of the European Parliament and of the Council of 25 October 2011 on the Provision of Food Information to Consumers, Amending Regulations (EC) No 1924/2006 and (EC) No 1925/2006 of the European Parliament and of the Council, and Repealing Commission Directive 87/250/EEC, Council Directive 90/496/EEC, Commission Directive 1999/10/EC, Directive 2000/13/EC of the European Parliament and of the Council, Commission Directives 2002/67/EC and 2008/5/EC and Commission Regulation (EC) No 608/2004 and Council Directive 90/496/EEC of 24 September 1990 on Nutrition Labelling of Foodstuffs and Directive 2002/46/EC of the European Parliament and of the Council of 10 June 2002 on the Approximation of the Laws of the Member States Relating to Food Supplements with Regard to the Setting of Tolerances for Nutrient Values Declared on a Label; European Commission, Health And Consumers Directorate General: Brussels, Belgium, 2012. [Google Scholar]
- EFSA Panel on Dietetic Products, Nutrition, and Allergies. Scientific Opinion on Dietary Reference Values for carbohydrates and dietary fibre. EFSA J. 2010, 8, 1462. [Google Scholar]
- Monteiro, C.; Cannon, G.; Lawrence, M.; Costa Louzada, M.; Pereira Machado, P. Ultra-Processed Foods, Diet Quality, and Health Using the NOVA Classification System; FAO: Rome, Italy, 2019. [Google Scholar]
- EFSA Panel on Dietetic Products, Nutrition and Allergies. Scientific Opinion on Dietary Reference Values for Energy. EFSA J. 2013, 11, 3005. [Google Scholar] [CrossRef] [Green Version]
- EFSA Panel on Dietetic Products, Nutrition and Allergies. Scientific Opinion on Nutrient Requirements and Dietary Intakes of Infants and Young Children in the European Union. EFSA J. 2013, 11, 3408. [Google Scholar] [CrossRef] [Green Version]
- Hilbig, A.; Foterek, K.; Kersting, M.; Alexy, U. Home-Made and Commercial Complementary Meals in German Infants: Results of the DONALD Study. J. Hum. Nutr. Diet. 2015, 28, 613–622. [Google Scholar] [CrossRef] [PubMed]
- Rito, A.I.; Dinis, A.; Rascôa, C.; Maia, A.; de Carvalho Martins, I.; Santos, M.; Lima, J.; Mendes, S.; Padrão, J.; Stein-Novais, C. Improving Breakfast Patterns of Portuguese Children—An Evaluation of Ready-to-Eat Cereals According to the European Nutrient Profile Model. Eur. J. Clin. Nutr. 2019, 73, 465–473. [Google Scholar] [CrossRef] [PubMed]
- Marinho, A.R.; Severo, M.; Correia, D.; Lobato, L.; Vilela, S.; Oliveira, A.; Ramos, E.; Torres, D.; Lopes, C. Total, Added and Free Sugar Intakes, Dietary Sources and Determinants of Consumption in Portugal: The National Food, Nutrition and Physical Activity Survey (IAN-AF 2015–2016). Public Health Nutr. 2020, 23, 869–881. [Google Scholar]
- Devenish, G.; Golley, R.; Mukhtar, A.; Begley, A.; Ha, D.; Do, L.; Scott, J.A. Free Sugars Intake, Sources and Determinants of High Consumption among Australian 2-Year-Olds in the SMILE Cohort. Nutrients 2019, 11, 161. [Google Scholar] [CrossRef] [PubMed] [Green Version]
- Moubarac, J.-C.; Batal, M.; Louzada, M.L.; Martinez Steele, E.; Monteiro, C.A. Consumption of Ultra-Processed Foods Predicts Diet Quality in Canada. Appetite 2017, 108, 512–520. [Google Scholar] [CrossRef] [PubMed]
- da Costa Louzada, M.L.; Martins, A.P.B.; Canella, D.S.; Baraldi, L.G.; Levy, R.B.; Claro, R.M.; Moubarac, J.-C.; Cannon, G.; Monteiro, C.A. Ultra-Processed Foods and the Nutritional Dietary Profile in Brazil. Rev. Saude Publica 2015, 49. [Google Scholar] [CrossRef]
- OECD. The Heavy Burden of Obesity: The Economics of Prevention; OECD Health Policy Studies; OECD: Paris, France, 2019; ISBN 978-92-64-33004-7. [Google Scholar]



| Baby Cereals (n = 571) | Baby Biscuits and Rusks (n = 233) | Baby Juices and Drinks (n = 147) | Baby Fruit Products, Dessertsand Yoghurts (n = 1306) | Baby Snacks (n = 394) | Baby Savoury Meals and Dishes (n = 721) | Other Baby Food (n = 55) | |
|---|---|---|---|---|---|---|---|
| Energy (kcal) | 351.4 ± 112 | 423.4 ± 28.8 | 38.1 ± 49 | 72.7 ± 43.8 | 391.2 ± 48.3 | 68.8 ± 42.6 | 262.5 ± 136.4 |
| Protein (g) | 10.5 ± 4.3 | 7.9 ± 2.5 | 0.3 ± 0.4 | 1.1 ± 1.2 | 8 ± 4.1 | 3 ± 2.9 | 8.6 ± 5 |
| Total fat (g) | 5.6 ± 4.4 | 10.5 ± 3.9 | 0.3 ± 0.5 | 0.9 ± 1.2 | 8.2 ± 6.2 | 2 ± 1.3 | 1.9 ± 1.1 |
| Saturated fat (g) | 1.6 ± 1.7 | 3.1 ± 2.8 | 0.1 ± 0.3 | 0.4 ± 0.7 | 1.6 ± 2 | 0.6 ± 0.6 | 0.5 ± 0.5 |
| Carbohydrate (g) | 62.7 ± 21.5 | 72.8 ± 6.5 | 8.4 ± 12.2 | 14.2 ± 8.5 | 69 ± 10.1 | 8.9 ± 7 | 51.4 ± 31.8 |
| Total sugars (g) | 14.8 ± 12.7 | 16.1 ± 8.4 | 7.7 ± 12.2 | 11.3 ± 7.2 | 15.4 ± 17.5 | 2.3 ± 1.6 | 3.3 ± 1.5 |
| Fibre (g) | 4.6 ± 3.1 | 3 ± 1.8 | 0.4 ± 0.5 | 1.8 ± 1.9 | 4.7 ± 3.1 | 1.8 ± 1.2 | 2.7 ± 1 |
| Sodium (mg) | 52.5 ± 60.5 | 100.9 ± 99.9 | 14.3 ± 25 | 14.4 ± 29.6 | 55.8 ± 111.5 | 46.1 ± 51.7 | 30.4 ± 44.4 |
| All Products (n = 3427) | Baby Cereals (n = 571) | Baby Biscuits and Rusks (n = 233) | Baby Juices and Drinks (n = 147) | Baby Fruit Products, Desserts and Yoghurts (n = 1306) | Baby Snacks (n = 394) | Baby Savoury Meals and Dishes (n = 721) | Other Baby Food (n = 55) | ||
|---|---|---|---|---|---|---|---|---|---|
| Ingredients | Added sugars 1a Free sugars 2a Purees a Powders a Any sugar-contributing ingredient a | ![]() | ![]() | ![]() | ![]() | ![]() | ![]() | ![]() | ![]() |
| NOVA classification a | Minimally processed | ![]() | ![]() | ![]() | ![]() | ![]() | ![]() | ![]() | ![]() |
| Processed | |||||||||
| Ultra-processed | |||||||||
| Positioning statements | Nutrient-related a ‘No added sugar’ a ‘Natural’ a ‘Free of artificial ingredients’ 3 | ![]() | ![]() | ![]() | ![]() | ![]() | ![]() | ![]() | ![]() |
| n | Energy | Protein | Fat | Saturated Fats | Carbohydrates | Sugars | Fibre | Sodium | ||
|---|---|---|---|---|---|---|---|---|---|---|
| kcal/100 g | g/100 g | g/100 g | g/100 g | g/100 g | g/100 g | g/100 g | mg/100 g | |||
| Added Sugars | ||||||||||
| Baby cereals | No | 502 | 353.77 ± 107.98 | 10.57 ± 4.27 | 5.53 ± 4.44 | 1.56 ± 1.61 | 63.11 ± 20.73 | 13.7 ± 12.41 | 4.82 ± 3.12 | 50.16 ± 60.6 |
| Yes | 69 | 333.83 ± 137.65 | 9.77 ± 4.57 | 5.72 ± 3.93 | 2.19 ± 1.93 b | 59.55 ± 26.32 | 22.8 ± 12.07 c | 2.64 ± 2.14 c | 69.59 ± 57.61 c | |
| Baby biscuits and rusks | No | 141 | 416.55 ± 31.01 | 8.52 ± 2.1 | 10.03 ± 4.53 | 2.43 ± 2.05 | 71.28 ± 7.33 | 12.33 ± 7.4 | 3.52 ± 1.9 | 92.69 ± 102.55 |
| Yes | 92 | 433.79 ± 21.47 c | 6.99 ± 2.87 b | 11.12 ± 2.73 | 4.02 ± 3.38 c | 75.09 ± 4.22 c | 21.92 ± 6.29 c | 2.29 ± 1.34c | 113.52 ± 94.81 b | |
| Baby fruit products, desserts and yoghurts | No | 1133 | 69.85 ± 43.86 | 0.92 ± 1.02 | 0.67 ± 1.03 | 0.27 ± 0.57 | 14.16 ± 8.74 | 11.45 ± 7.55 | 1.96 ± 1.93 | 11.86 ± 30.09 |
| Yes | 173 | 91.62 ± 38.19 c | 2.42 ± 1.51 c | 2.39 ± 1.4 c | 1.43 ± 0.83 c | 14.76 ± 6.91 c | 10.58 ± 4.22 b | 0.73 ± 0.53 c | 31.01 ± 19.17 c | |
| Baby snacks | No | 383 | 392.26 ± 44.64 | 8.00 ± 4.04 | 8.27 ± 6.1 | 1.59 ± 1.97 | 69.13 ± 9.55 | 15.36 ± 17.67 | 4.72 ± 3.1 | 54.03 ± 108.88 |
| Yes | 11 | 355.97 ± 119.45 | 6.23 ± 4.37 a | 7 ± 9.53 | 2.35 ± 3.58 | 64.38 ± 21.54 | 15.76 ± 8.18 | 4.57 ± 2.54 | 117.7 ± 177.65 | |
| Free Sugars | ||||||||||
| Baby cereals | No | 465 | 361.87 ± 99.57 | 10.83 ± 4.06 | 5.72 ± 4.5 | 1.6 ± 1.62 | 64.4 ± 19.32 | 13.75 ± 12.48 | 4.89 ± 3.13 | 51.54 ± 61.33 |
| Yes | 106 | 305.29 ± 147.28 | 8.88 ± 4.99 c | 4.83 ± 3.75 | 1.79 ± 1.82 | 55.13 ± 28.01 | 19.42 ± 12.74 c | 3.02 ± 2.43 c | 56.78 ± 56.99 | |
| Baby biscuits and rusks | No | 100 | 413.15 ± 32.54 | 8.86 ± 2.18 | 9.28 ± 4.76 | 2.09 ± 1.78 | 71.75 ± 8.1 | 11.27 ± 7.84 | 3.73 ± 2.04 | 91.76 ± 110.31 |
| Yes | 133 | 431.03 ± 23.03 c | 7.21 ± 2.56 c | 11.35 ± 2.92 b | 3.79 ± 3.13 c | 73.56 ± 4.97 b | 19.83 ± 6.81 c | 2.46 ± 1.34 c | 107.76 ± 91.06 b | |
| Baby fruit products, desserts and yoghurts | No | 927 | 70.35 ± 48.04 | 0.93 ± 1.1 | 0.67 ± 1.05 | 0.28 ± 0.58 | 14.22 ± 9.59 | 11.61 ± 8.25 | 2.07 ± 2.12 | 12.33 ± 32.6 |
| Yes | 379 | 78.58 ± 30.14 c | 1.57 ± 1.35 c | 1.43 ± 1.46 c | 0.78 ± 0.89 c | 14.29 ± 5.04 c | 10.68 ± 3.42 | 1.2 ± 0.68 c | 19.47 ± 19.7 c | |
| Baby snacks | No | 340 | 392.51 ± 45.17 | 7.99 ± 4.07 | 8.33 ± 5.97 | 1.49 ± 1.59 | 68.97 ± 9.19 | 14.28 ± 17.4 | 4.68 ± 2.99 | 52.56 ± 106.99 |
| Yes | 54 | 383.32 ± 64.75 | 7.71 ± 3.95 | 7.64 ± 7.57 | 2.36 ± 3.68 | 69.22 ± 14.44 | 22.19 ± 16.48 c | 4.96 ± 3.69 | 76.65 ± 136.39 | |
| Baby savoury meals and dishes | No | 665 | 68.71 ± 44.03 | 2.99 ± 3 | 2.03 ± 1.3 | 0.58 ± 0.64 | 8.84 ± 7.22 | 2.33 ± 1.58 | 1.78 ± 1.19 | 45.55 ± 52.07 |
| Yes | 56 | 69.93 ± 20.08 a | 3.03 ± 1.51 | 2.03 ± 1.2 | 0.74 ± 0.64 a | 8.98 ± 3.00 | 2.51 ± 2.05 | 1.68 ± 0.78 | 52.29 ± 47.35 | |
| Any Sugar-Contributing Ingredient | ||||||||||
| Baby cereals | No | 370 | 363.18 ± 99.05 | 10.85 ± 4.11 | 5.51 ± 4.61 | 1.51 ± 1.57 | 65.29 ± 19.65 | 13.15 ± 12.48 | 4.65 ± 3.04 | 51.99 ± 60.11 |
| Yes | 201 | 329.61 ± 130.14 a | 9.77 ± 4.59 a | 5.64 ± 3.93 | 1.88 ± 1.8 a | 57.87 ± 23.82 c | 17.83 ± 12.61 c | 4.38 ± 3.19 | 53.49 ± 61.43 | |
| Baby biscuits and rusks | No | 73 | 411.03 ± 34.32 | 9.08 ± 2.35 | 9.31 ± 4.6 | 1.97 ± 1.65 | 70.92 ± 8.13 | 11.17 ± 8.03 | 4.00 ± 2.02 | 108.33 ± 119.25 |
| Yes | 160 | 428.98 ± 24.07 c | 7.38 ± 2.45 c | 10.99 ± 3.5 a | 3.56 ± 3.02 c | 73.63 ± 5.5 c | 18.42 ± 7.57 c | 2.57 ± 1.49 c | 97.43 ± 89.85 | |
| Baby fruit products, desserts and yoghurts | No | 692 | 71.49 ± 52.59 | 0.92 ± 1.11 | 0.66 ± 1.11 | 0.26 ± 0.58 | 14.47 ± 10.41 | 11.89 ± 8.86 | 2.25 ± 2.45 | 11.7 ± 21.23 |
| Yes | 614 | 74.15 ± 30.91 c | 1.35 ± 1.28 c | 1.16 ± 1.3 c | 0.62 ± 0.82 c | 13.98 ± 5.68 c | 10.72 ± 4.6 | 1.36 ± 0.7 c | 17.47 ± 36.61 c | |
| Baby snacks | No | 242 | 386.9 ± 47.86 | 8.02 ± 4.47 | 7.6 ± 6.13 | 1.47 ± 1.66 | 68.96 ± 9.63 | 14.74 ± 17.83 | 4.87 ± 3.22 | 42.53 ± 88.91 |
| Yes | 152 | 398.18 ± 48.42 b | 7.85 ± 3.29 | 9.25 ± 6.2 a | 1.84 ± 2.49 | 69.07 ± 10.72 | 16.35 ± 16.9 c | 4.49 ± 2.86 | 76.95 ± 137.9 c | |
| Baby savoury meals and dishes | No | 650 | 68.78 ± 44.42 | 3 ± 3.03 | 2.03 ± 1.31 | 0.57 ± 0.64 | 8.84 ± 7.29 | 2.32 ± 1.58 | 1.78 ± 1.2 | 45.34 ± 51.8 |
| Yes | 71 | 69.08 ± 20.17 | 2.94 ± 1.4 | 2 ± 1.15 | 0.73 ± 0.61 a | 8.93 ± 2.94 a | 2.6 ± 1.92 | 1.67 ± 0.75 | 52.86 ± 50.84 | |
| n | Energy | Protein | Fat | Saturated Fats | Carbohydrates | Sugars | Fibre | Sodium | ||
|---|---|---|---|---|---|---|---|---|---|---|
| kcal/100 g | g/100 g | g/100 g | g/100 g | g/100 g | g/100 g | g/100 g | mg/100 g | |||
| Baby cereals | (M)PF | 245 | 304.18 ± 131.36 | 8.44 ± 4.17 | 3.08 ± 2.39 | 0.68 ± 0.64 | 58.33 ± 27.16 | 5.43 ± 6.13 | 4.96 ± 3.58 | 17.29 ± 27.98 |
| UPF | 326 | 386.82 ± 78.22 c | 12 ± 3.76 c | 7.41 ± 4.62 c | 2.35 ± 1.83 c | 65.95 ± 15.19 | 21.92 ± 11.77 c | 4.29 ± 2.71 | 78.86 ± 64.81 c | |
| Baby biscuits and rusks | (M)PF | 88 | 418.38 ± 34.81 | 8.71 ± 2.3 | 9.44 ± 5.08 | 2.2 ± 2.05 | 72.91 ± 8.08 | 12.45 ± 8.09 | 3.42 ± 2 | 92.82 ± 110.27 |
| UPF | 145 | 426.37 ± 24.17 | 7.43 ± 2.56 b | 11.08 ± 2.91 | 3.58 ± 3.01 c | 72.71 ± 5.45 | 18.39 ± 7.8 c | 2.78 ± 1.62 a | 105.77 ± 93.06 a | |
| Baby juices and drinks | (M)PF | 133 | 36.23 ± 41.51 | 0.29 ± 0.37 | 0.28 ± 0.41 | 0.11 ± 0.27 | 8.07 ± 10.27 | 7.32 ± 10.44 | 0.43 ± 0.52 | 14.66 ± 25.58 |
| UPF | 14 | 55.83 ± 95.09 | 0.3 ± 0.68 | 0.4 ± 0.86 a | 0.13 ± 0.35 | 12.01 ± 24.02 | 11 ± 23.12 | 0.63 ± 0.12 | 9.68 ± 16.35 | |
| Baby fruit products, desserts and yoghurts | (M)PF | 1079 | 69.43 ± 43.2 | 0.88 ± 0.91 | 0.63 ± 0.97 | 0.25 ± 0.55 | 14.18 ± 8.69 | 11.57 ± 7.63 | 2 ± 1.94 | 11.52 ± 30.46 |
| UPF | 227 | 88.45 ± 43.09 c | 2.27 ± 1.7 c | 2.17 ± 1.5 c | 1.26 ± 0.86 c | 14.51 ± 7.68 c | 10.24 ± 4.51 c | 0.91 ± 1.05 c | 28.07 ± 20.16 c | |
| Baby snacks | (M)PF | 228 | 387.69 ± 39.7 | 8.38 ± 4.39 | 7.35 ± 5.82 | 1.49 ± 1.82 | 69.23 ± 10.5 | 14.48 ± 17.74 | 5.01 ± 3.44 | 41.22 ± 92.88 |
| UPF | 166 | 396.13 ± 57.9 b | 7.36 ± 3.47 | 9.45 ± 6.52 a | 1.78 ± 2.27 | 68.69 ± 9.43 | 16.58 ± 17.07 b | 4.35 ± 2.53 | 75.62 ± 130.41 c | |
| Baby savoury meals and dishes | (M)PF | 604 | 65.63 ± 32.15 | 2.93 ± 2.93 | 1.96 ± 1.31 | 0.57 ± 0.65 | 8.27 ± 4.2 | 2.28 ± 1.49 | 1.83 ± 1.18 | 34.7 ± 34.03 |
| UPF | 117 | 85.23 ± 74.77 c | 3.35 ± 2.79 | 2.4 ± 1.13 c | 0.67 ± 0.62 b | 11.87 ± 14.14 c | 2.71 ± 2.12 | 1.47 ± 0.99 c | 104.71 ± 80.2 c | |
| Other baby food | (M)PF | 49 | 263.13 ± 135.73 | 8.86 ± 5.06 | 1.9 ± 1.18 | 0.46 ± 0.41 | 51.26 ± 31.81 | 3.45 ± 1.49 | 2.76 ± 0.84 | 29 ± 42.18 |
| UPF | 6 | 257.53 ± 154.76 | 6.46 ± 4.51 | 1.99 ± 0.54 | 0.78 ± 0.75 | 52.27 ± 34.77 | 2.25 ± 1.65 | 2.36 ± 1.81 | 41.18 ± 63.31 |
| Age | Average Requirements for Energy (kcal/day) 1 | Recommended Maximum Free Sugars Intake (g) | |
|---|---|---|---|
| 5% Energy Intake | 10% Energy Intake | ||
| 7 months | 609 | 7.6 | 15.2 |
| 8 months | 633 | 7.9 | 15.8 |
| 9 months | 657 | 8.2 | 16.4 |
| 10 months | 681 | 8.5 | 17.0 |
| 11 months | 705 | 8.8 | 17.6 |
| 1 year | 752 | 9.4 | 18.8 |
| 2 years | 991 | 12.4 | 24.8 |
| 3 years | 1134 | 14.2 | 28.4 |
Publisher’s Note: MDPI stays neutral with regard to jurisdictional claims in published maps and institutional affiliations. |
© 2021 by the authors. Licensee MDPI, Basel, Switzerland. This article is an open access article distributed under the terms and conditions of the Creative Commons Attribution (CC BY) license (https://creativecommons.org/licenses/by/4.0/).
Share and Cite
Grammatikaki, E.; Wollgast, J.; Caldeira, S. High Levels of Nutrients of Concern in Baby Foods Available in Europe That Contain Sugar-Contributing Ingredients or Are Ultra-Processed. Nutrients 2021, 13, 3105. https://doi.org/10.3390/nu13093105
Grammatikaki E, Wollgast J, Caldeira S. High Levels of Nutrients of Concern in Baby Foods Available in Europe That Contain Sugar-Contributing Ingredients or Are Ultra-Processed. Nutrients. 2021; 13(9):3105. https://doi.org/10.3390/nu13093105
Chicago/Turabian StyleGrammatikaki, Evangelia, Jan Wollgast, and Sandra Caldeira. 2021. "High Levels of Nutrients of Concern in Baby Foods Available in Europe That Contain Sugar-Contributing Ingredients or Are Ultra-Processed" Nutrients 13, no. 9: 3105. https://doi.org/10.3390/nu13093105
APA StyleGrammatikaki, E., Wollgast, J., & Caldeira, S. (2021). High Levels of Nutrients of Concern in Baby Foods Available in Europe That Contain Sugar-Contributing Ingredients or Are Ultra-Processed. Nutrients, 13(9), 3105. https://doi.org/10.3390/nu13093105

























