Nutrition Knowledge Is Associated with Energy Availability and Carbohydrate Intake in Young Female Cross-Country Skiers
Abstract
1. Introduction
2. Materials and Methods
2.1. Participants
2.2. Experimental Overview
2.3. Anthropometric Measurements
2.4. Food and Training Logs
2.5. Nutrition Knowledge
2.6. Statistical Analysis
3. Results
3.1. Dietary Intake
3.2. Nutrition Knowledge
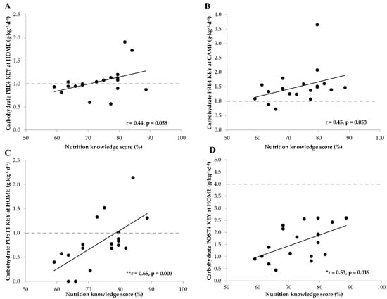
3.3. Nutrition Knowledge, Exercise Energy Expenditure and Dietary Intake
3.4. Nutrition Knowledge, Exercise Energy Expenditure and Dietary Intake
4. Discussion
Limitations
5. Conclusions
Author Contributions
Funding
Institutional Review Board Statement
Informed Consent Statement
Data Availability Statement
Conflicts of Interest
References
- Sandbakk, Ø.; Holmberg, H.-C. Physiological Capacity and Training Routines of Elite Cross-Country Skiers: Approaching the Upper Limits of Human Endurance. Int. J. Sports Physiol. Perform. 2017, 12, 1003–1011. [Google Scholar] [CrossRef] [PubMed]
- Losnegard, T. Energy system contribution during competitive cross-country skiing. Eur. J. Appl. Physiol. 2019, 119, 1675–1690. [Google Scholar] [CrossRef] [PubMed]
- Sandbakk, Ø.; Hegge, A.M.; Losnegard, T.; Skattebo, Ø.; TØnnessen, E.; Holmberg, H.C. The physiological capacity of the world’s highest ranked female cross-country skiers. Med. Sci. Sports Exerc. 2016, 48, 1091–1100. [Google Scholar] [CrossRef] [PubMed]
- Solli, G.S.; Tønnessen, E.; Sandbakk, Ø. The training characteristics of the world’s most successful female cross-country skier. Front. Physiol. 2017, 8, 1069. [Google Scholar] [CrossRef] [PubMed]
- Kiely, J. Periodization Theory: Confronting an Inconvenient Truth. Sport. Med. 2018, 48, 753–764. [Google Scholar] [CrossRef]
- Jeukendrup, A.E. Periodized Nutrition for Athletes. Sport Med. 2017, 47, 51–63. [Google Scholar] [CrossRef]
- Mujika, I.; Stellingwerff, T.; Tipton, K. Nutrition and training adaptations in aquatic sports. Int. J. Sport Nutr. Exerc. Metab. 2014, 24, 414–424. [Google Scholar] [CrossRef]
- Stellingwerff, T.; Morton, J.P.; Burke, L.M. A Framework for Periodized Nutrition for Athletics. Int. J. Sport Nutr. Exerc. Metab. 2019, 29, 141–151. [Google Scholar] [CrossRef]
- Mountjoy, M.; Sundgot-borgen, J.K.; Burke, L.M.; Ackerman, K.E.; Blauwet, C.; Constantini, N.; Lebrun, C.; Lundy, B.; Melin, A.K.; Meyer, N.L.; et al. IOC consensus statement on relative energy deficiency in sport ( RED-S ): 2018 update. Br. J. Sports Med. 2018, 52, 687–697. [Google Scholar] [CrossRef]
- Loucks, A.B.; Kiens, B.; Wright, H.H. Energy availability in athletes. J. Sports Sci. 2011, 29, 7–15. [Google Scholar] [CrossRef] [PubMed]
- Nose-Ogura, S.; Yoshino, O.; Dohi, M.; Kigawa, M.; Harada, M.; Hiraike, O.; Onda, T.; Yutaka, O.; Fujii, T.; Saito, S. Risk factors of stress fractures due to the female athlete triad: Differences in teens and twenties. Scand. J. Med. Sci. Sports 2019, 29, 1501–1510. [Google Scholar] [CrossRef] [PubMed]
- Hawley, J.A.; Leckey, J.J. Carbohydrate Dependence during Prolonged, Intense Endurance Exercise. Sport Med. 2015, 45, 5–12. [Google Scholar] [CrossRef] [PubMed]
- Thomas, D.T.; Erdman, K.A.; Burke, L.M. American College of Sports Medicine joint position statement nutrition and athletic performance. Med. Sci. Sport Exerc. 2016, 48, 543–568. [Google Scholar] [CrossRef]
- Burke, L.M.; Van Loon, L.J.C.; Hawley, J.A. Postexercise muscle glycogen resynthesis in humans. J. Appl. Physiol. 2017, 122, 1055–1067. [Google Scholar] [CrossRef] [PubMed]
- Phillips, S.M.; van Loon, L.J.C. Dietary protein for athletes: From requirements to optimum adaptation. J. Sports Sci. 2011, 29, 29–38. [Google Scholar] [CrossRef] [PubMed]
- Heikura, I.A.; Kettunen, O.; Garthe, I.; Holmlund, H.; Bucher, S.; Valtonen, M.; Ihalainen, J.K. Energetic Demands and Nutritional Strategies of Elite Cross—Country Skiers During Tour de Ski: A Narrative Review. J. Sci. Sport Exerc. 2021. [Google Scholar] [CrossRef]
- Carr, A.; McGawley, K.; Govus, A.; Andersson, E.P.; Shannon, O.M.; Mattsson, S.; Melin, A. Nutritional intake in elite cross-country skiers during two days of training and competition. Int. J. Sport Nutr. Exerc. Metab. 2019, 29, 273–281. [Google Scholar] [CrossRef] [PubMed]
- Spendlove, J.K.; Heaney, S.E.; Gifford, J.A.; Prvan, T.; Denyer, G.S.; O’Connor, H.T. Evaluation of general nutrition knowledge in elite Australian athletes. Br. J. Nutr. 2012, 107, 1871–1880. [Google Scholar] [CrossRef]
- Heikkilä, M.; Valve, R.; Lehtovirta, M.; Fogelholm, M. Nutrition Knowledge among Young Finnish Endurance Athletes and Their Coaches. Int. J. Sport Nutr. Exerc. Metab. 2018, 28, 522–527. [Google Scholar] [CrossRef]
- Heikkilä, M.; Lehtovirta, M.; Autio, O.; Fogelholm, M.; Valve, R. The Impact of Nutrition Education Intervention with Knowledge Among Young Endurance Athletes. Nutrients 2019, 11, 2249. [Google Scholar] [CrossRef]
- Spronk, I.; Kullen, C.; Burdon, C.; O’Connor, H. Relationship between nutrition knowledge and dietary intake. Br. J. Nutr. 2014, 111, 1713–1726. [Google Scholar] [CrossRef] [PubMed]
- Heikkilä, M.; Valve, R.; Lehtovirta, M.; Fogelholm, M. Development of a nutrition knowledge questionnaire for young endurance athletes and their coaches. Scand. J. Med. Sci. Sports 2018, 28, 873–880. [Google Scholar] [CrossRef] [PubMed]
- Charlot, K.; Cornolo, J.; Borne, R.; Brugniaux, J.V.; Richalet, J.-P.; Chapelot, D.; Pichon, A. Improvement of energy expenditure prediction from heart rate during running. Physiol. Meas. 2014, 35, 253–266. [Google Scholar] [CrossRef]
- Cunningham, J.J. Body composition as a determinant of energy expenditure: A synthetic review and a proposed general prediction equation. Am. J. Clin. Nutr. 1991, 54, 963–969. [Google Scholar] [CrossRef]
- Heikura, I.A.; Burke, L.M.; Mero, A.A.; Uusitalo, A.L.T.; Stellingwerff, T. Dietary microperiodization in elite female and male runners and race walkers during a block of high intensity precompetition training. Int. J. Sport Nutr. Exerc. Metab. 2017, 27, 297–304. [Google Scholar] [CrossRef]
- Faude, O.; Kindermann, W.; Meyer, T. Lactate threshold concepts: How valid are they? Sport Med. 2009, 39, 469–490. [Google Scholar] [CrossRef]
- Cohen, J. Statistical Power Analysis for the Behavioral Sciences, 2nd ed.; Lawrence Earlbaum Associates: Hilsdale, NJ, USA, 1988. [Google Scholar]
- Burke, L.M.; Cox, G.R.; Cummings, N.K.; Desbrow, B. Guidelines for daily carbohydrate intake: Do athletes achieve them? Sport Med. 2001, 31, 267–299. [Google Scholar] [CrossRef] [PubMed]
- Burke, L.M.; Hawley, J.A.; Wong, S.H.S.; Jeukendrup, A.E. Carbohydrates for training and competition Carbohydrates for training and competition. J. Sports Sci. 2011, 29, 17–27. [Google Scholar] [CrossRef]
- Nieman, D.C.; Mitmesser, S.H. Potential Impact of Nutrition on Immune System Recovery from Heavy Exertion: A Metabolomics Perspective. Nutrients 2017, 9, 513. [Google Scholar] [CrossRef]
- Impey, S.G.; Hearris, M.A.; Hammond, K.M.; Bartlett, J.D.; Louis, J.; Close, G.L.; Morton, J.P. Fuel for the Work Required: A Theoretical Framework for Carbohydrate Periodization and the Glycogen Threshold Hypothesis. Sport Med. 2018, 48, 1031–1048. [Google Scholar] [CrossRef]
- Meeusen, R.; Duclos, M.; Foster, C.; Fry, A.; Gleeson, M.; Nieman, D.C.; Raglin, J.; Rietjens, G.; Steinacker, J.; Urhausen, A. Prevention, Diagnosis, and Treatment of the Overtraining Syndrome: Joint Consensus Statement of the European College of Sport Science and the American College of Sports Medicine. Med. Sci. Sport Exerc. 2013, 45, 186–205. [Google Scholar] [CrossRef]
- Churchward-Venne, T.A.; Pinckaers, P.J.M.; Smeets, J.S.J.; Betz, M.W.; Senden, J.M.; Goessens, J.P.B.; Gijsen, A.P.; Rollo, I.; Verdijk, L.B.; van Loon, L.J.C. Dose-response effects of dietary protein on muscle protein synthesis during recovery from endurance exercise in young men: A double-blind randomized trial. Am. J. Clin. Nutr. 2020, 112, 303–317. [Google Scholar] [CrossRef] [PubMed]
- Moore, D.R.; Robinson, M.J.; Fry, J.L.; Tang, J.E.; Glover, E.I.; Wilkinson, S.B.; Prior, T.; Tarnopolsky, M.A.; Phillips, S.M. Ingested protein dose response of muscle and albumin protein synthesis after resistance exercise in young men. Am. J. Clin. Nutr. 2009, 89, 161–168. [Google Scholar] [CrossRef] [PubMed]
- Macnaughton, L.S.; Wardle, S.L.; Witard, O.C.; McGlory, C.; Hamilton, D.L.; Jeromson, S.; Lawrence, C.E.; Wallis, G.A.; Tipton, K.D. The response of muscle protein synthesis following whole-body resistance exercise is greater following 40 g than 20 g of ingested whey protein. Physiol. Rep. 2016, 4, e12893. [Google Scholar] [CrossRef] [PubMed]
- Areta, J.L.; Burke, L.M.; Camera, D.M.; West, D.W.D.; Crawshay, S.; Moore, D.R.; Stellingwerff, T.; Phillips, S.M.; Hawley, J.A.; Coffey, V.G. Reduced resting skeletal muscle protein synthesis is rescued by resistance exercise and protein ingestion following short-term energy deficit. Am. J. Physiol. Endocrinol. Metab. 2014, 306, 989–997. [Google Scholar] [CrossRef]
- Gillen, J.B.; West, D.W.D.; Williamson, E.P.; Fung, H.J.W.; Moore, D.R. Low-Carbohydrate Training Increases Protein Requirements of Endurance Athletes. Med. Sci. Sport Exerc. 2019, 51, 2294–2301. [Google Scholar] [CrossRef]
- Burke, L.M.; Lundy, B.; Fahrenholtz, I.L.; Melin, A.K. Pitfalls of Conducting and Interpreting Estimates of Energy Availability in Free-Living Athletes. Int. J. Sport Nutr. Exerc. Metab. 2018, 28, 350–363. [Google Scholar] [CrossRef]


| HOME | % | CAMP | % | Recommendation [10,13] | |
|---|---|---|---|---|---|
| Training (min·d−1) | 120 ± 26 | NA | 214 ± 20 *** | NA | NA |
| EI (kcal·kg−1·d−1) | 43.1 ± 9.1 | NA | 60.4 ± 13.1 *** | NA | NA |
| EEE (kcal·kg−1·d−1) | 14.9 ± 4.5 | NA | 26.8 ± 4.3 *** | NA | NA |
| EA (kcal·kg−1·d−1) | 33.7 ± 9.6 | 11 | 40.3 ± 17.3 | 42 | ≥45 |
| Protein (g·kg−1·d−1) | 2.1 ± 0.3 | 100 | 2.5 ± 0.5 ** | 100 | 1.2–2.0 |
| CHO (g·kg−1·d−1) | 5.0 ± 1.2 | 26 | 7.1 ± 1.6 *** | 37 | 6–10/8–12 |
| Fat (% of EI) | 30 ± 6 | 95 | 32 ± 7 | 100 | 20–35 |
| HOME | CAMP | Recommendation [13] | |||||
|---|---|---|---|---|---|---|---|
| EASY | KEY | % | EASY | KEY | % | ||
| EEE (kcal·kg−1·d−1) | 7.3 ± 3.5 | 10.8 ± 3.6 †† | NA | 8.3 ± 3.3 | 14.6 ± 1.8 ***,††† | NA | NA |
| Protein POST2 (g·kg−1) | 0.6 ± 0.3 | 0.6 ± 0.2 | 100 | 0.7 ± 0.3 | 0.8 ± 0.1 *,† | 100 | 0.25–0.30 |
| CHO PRE4 (g·kg−1) | 1.2 ± 0.8 | 1.0 ± 0.3 | 58 | 1.7 ± 1.2 | 1.3 ± 0.3 ** | 89 | 1–4 |
| CHO POST1 (g·kg−1) | 0.5 ± 0.5 | 0.8 ± 0.5 | 26 | 1.7 ± 1.0 *** | 1.7 ± 0.7 *** | 89 | 1.0–1.2 |
| CHO POST4 (g·kg−1) | 1.5 ± 0.7 | 1.6 ± 0.7 | 0 | 2.7 ± 1.2 *** | 2.7 ± 0.8 *** | 5 | 4.0–4.8 |
Publisher’s Note: MDPI stays neutral with regard to jurisdictional claims in published maps and institutional affiliations. |
© 2021 by the authors. Licensee MDPI, Basel, Switzerland. This article is an open access article distributed under the terms and conditions of the Creative Commons Attribution (CC BY) license (https://creativecommons.org/licenses/by/4.0/).
Share and Cite
Kettunen, O.; Heikkilä, M.; Linnamo, V.; Ihalainen, J.K. Nutrition Knowledge Is Associated with Energy Availability and Carbohydrate Intake in Young Female Cross-Country Skiers. Nutrients 2021, 13, 1769. https://doi.org/10.3390/nu13061769
Kettunen O, Heikkilä M, Linnamo V, Ihalainen JK. Nutrition Knowledge Is Associated with Energy Availability and Carbohydrate Intake in Young Female Cross-Country Skiers. Nutrients. 2021; 13(6):1769. https://doi.org/10.3390/nu13061769
Chicago/Turabian StyleKettunen, Oona, Maria Heikkilä, Vesa Linnamo, and Johanna K. Ihalainen. 2021. "Nutrition Knowledge Is Associated with Energy Availability and Carbohydrate Intake in Young Female Cross-Country Skiers" Nutrients 13, no. 6: 1769. https://doi.org/10.3390/nu13061769
APA StyleKettunen, O., Heikkilä, M., Linnamo, V., & Ihalainen, J. K. (2021). Nutrition Knowledge Is Associated with Energy Availability and Carbohydrate Intake in Young Female Cross-Country Skiers. Nutrients, 13(6), 1769. https://doi.org/10.3390/nu13061769

