Effects of a Rice-Based Diet in Korean Adolescents Who Habitually Skip Breakfast: A Randomized, Parallel Group Clinical Trial
Abstract
1. Introduction
2. Subjects and Methods
2.1. Participants
2.2. Study Design
2.3. Dietary Intervention
2.4. Subject Compliance
2.5. Anthropometric Measures and Biochemical Analysis
2.6. Perceived Stress and Cognitive Function Test
2.7. Brain Wave Evaluation
2.8. Investigation of Dietary Intake and Physical Activity
2.9. Sample Size and Statistical Analysis
3. Results
3.1. Baseline General Characteristics
3.2. Anthropometric Measurements of the Subjects
3.3. The Results of Stress and Cognitive Function
3.3.1. The Stress and BCRS Score
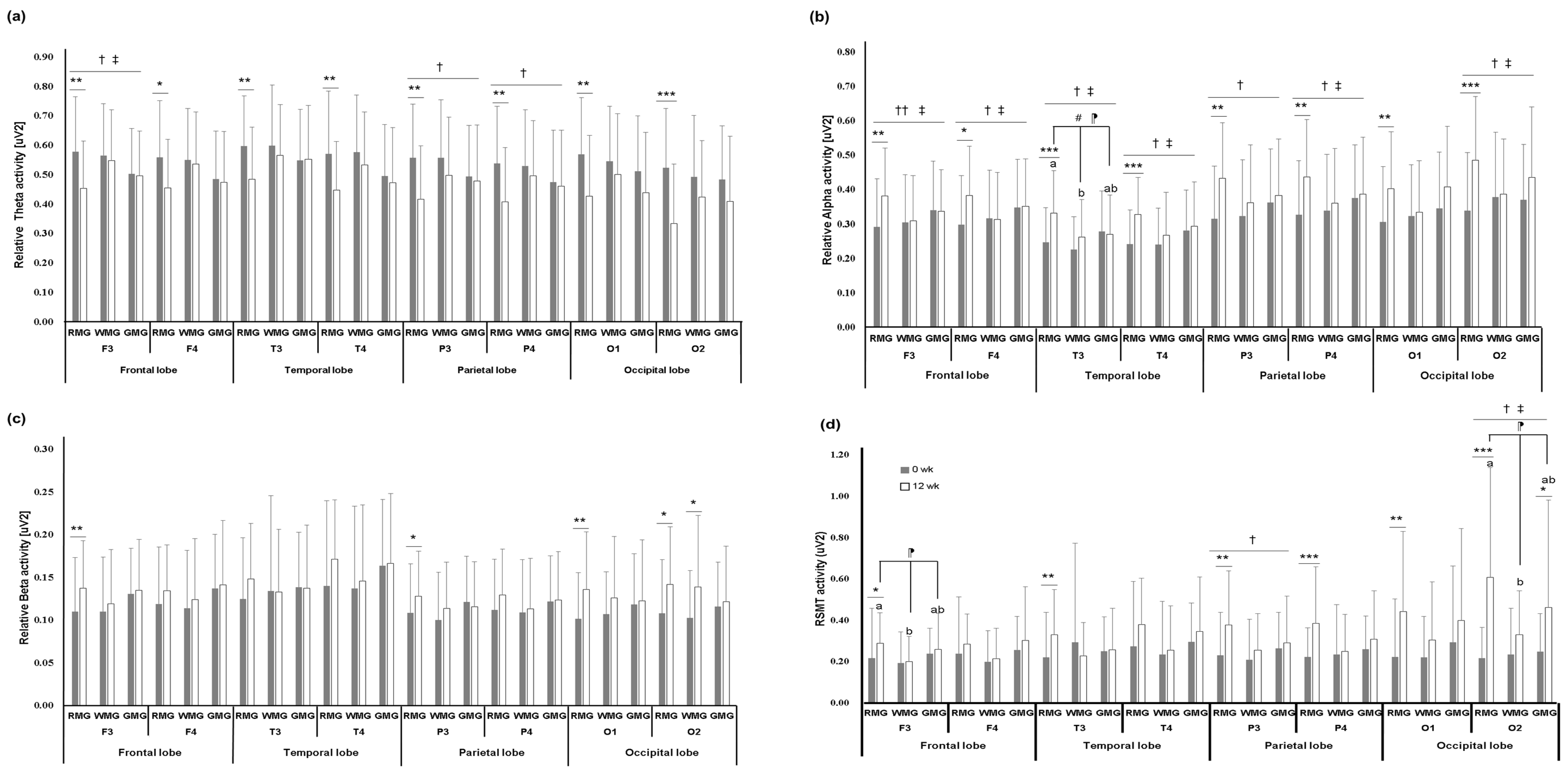
3.3.2. The Result of EEG Measurement
4. Discussion
5. Conclusions
Supplementary Materials
Author Contributions
Funding
Institutional Review Board Statement
Informed Consent Statement
Data Availability Statement
Acknowledgments
Conflicts of Interest
References
- Rosenrauch, S.; Ball, K.; Lamb, K.E. Associations between perceived friends’ support of healthy eating and meal skipping in adolescence. Public Health Nutr. 2017, 20, 3266–3274. [Google Scholar] [CrossRef] [PubMed]
- Medin, A.C.; Myhre, J.B.; Diep, L.M.; Andersen, L.F. Diet quality on days without breakfast or lunch—Identifying targets to improve adolescents’ diet. Appetite 2019, 135, 123–130. [Google Scholar] [CrossRef]
- Kim, J.E.; Ji, M.S. Development of convenient menu school breakfast program for high school students. Korean J. Food Cook. Sci. 2013, 29, 343–351. [Google Scholar] [CrossRef]
- Christensen, C.B.; Mikkelsen, B.E.; Toft, U. The effect of introducing a free breakfast club on eating habits among students at vocational schools. BMC Public Health 2019, 19, 369. [Google Scholar] [CrossRef] [PubMed]
- Lee, S.Y.; Lee, Y.S.; Park, J.S.; Bai, Y.H.; Kim, Y.O.; Park, Y.S. Developing breakfast menus for most easily breakfast-skipping groups. Korean J. Community Nutr. 2004, 9, 315–325. [Google Scholar]
- Dubois, L.; Girard, M.; Potvin Kent, M. Breakfast eating and overweight in a pre-school population: Is there a link? Public Health Nutr. 2006, 9, 436–442. [Google Scholar] [CrossRef] [PubMed]
- Adolphus, K.; Lawton, C.L.; Champ, C.L.; Dye, L. The effects of breakfast and breakfast composition on cognition in children and adolescents: A systematic review. Adv. Nutr. 2016, 7, 590S–612S. [Google Scholar] [CrossRef] [PubMed]
- Mullan, B.; Wong, C.; Kothe, E.; O’Moore, K.; Pickles, K.; Sainsbury, K. An examination of the demographic predictors of adolescent breakfast consumption, content, and context. BMC Public Health 2014, 14, 264. [Google Scholar] [CrossRef] [PubMed]
- Fayet-Moore, F.; Kim, J.; Sritharan, N.; Petocz, P. Impact of breakfast skipping and breakfast choice on the nutrient Intake and body mass index of Australian children. Nutrients 2016, 8, 487. [Google Scholar] [CrossRef]
- Pereira, M.A.; Erickson, E.; McKee, P.; Schrankler, K.; Raatz, S.K.; Lytle, L.A.; Pellegrini, A.D. Breakfast frequency and quality may affect glycemia and appetite in adults and children. J. Nutr. 2011, 141, 163–168. [Google Scholar] [CrossRef] [PubMed]
- Ma, X.; Chen, Q.; Pu, Y.; Guo, M.; Jiang, Z.; Huang, W.; Long, Y.; Xu, Y. Skipping breakfast is associated with overweight and obesity: A systematic review and meta-analysis. Obes. Res. Clin. Pract. 2020, 14, 1–8. [Google Scholar] [CrossRef] [PubMed]
- Mustafa, N.; Majid, H.A.; Toumpakari, Z.; Carroll, H.A.; Jalaludin, M.Y.; Al Sadat, N.; Johnson, L. The association of breakfast frequency and cardiovascular disease (CVD) risk factors among adolescents in malaysia. Nutrients 2019, 11, 973. [Google Scholar] [CrossRef]
- Ferrer-Cascales, R.; Sánchez-SanSegundo, M.; Ruiz-Robledillo, N.; Albaladejo-Blázquez, N.; Laguna-Pérez, A.; Zaragoza-Martí, A. Eat or skip breakfast? the important role of breakfast quality for health-related quality of life, stress and depression in Spanish adolescents. Int. J. Environ. Res. Public Health 2018, 15, 1781. [Google Scholar] [CrossRef] [PubMed]
- Song, Y.; Joung, H. A traditional Korean dietary pattern and metabolic syndrome abnormalities. Nutr. Metab. Cardiovasc. Dis. 2012, 22, 452–462. [Google Scholar] [CrossRef] [PubMed]
- Jung, S.J.; Chae, S.W. Effects of adherence to Korean diets on serum GGT and cardiovascular disease risk factors in patients with hypertension and diabetes. J. Nutr. Health 2018, 51, 386. [Google Scholar] [CrossRef]
- Choi, E.; Kim, S.A.; Joung, H. Relationship between obesity and Korean and mediterranean dietary patterns: A review of the literature. J. Obes. Metab. Syndr. 2019, 28, 30–39. [Google Scholar] [CrossRef]
- Kim, J.; Jo, I. Grains, vegetables, and fish dietary pattern is inversely associated with the risk of metabolic syndrome in south Korean adults. J. Am. Diet. Assoc. 2011, 111, 1141–1149. [Google Scholar] [CrossRef]
- Monzani, A.; Ricotti, R.; Caputo, M.; Solito, A.; Archero, F.; Bellone, S.; Prodam, F. A systematic review of the association of skipping breakfast with weight and cardiometabolic risk factors in children and adolescents. What should we better investigate in the future? Nutrients 2019, 11, 387. [Google Scholar] [CrossRef]
- Kang, M.H.; Choi, M.K.; Kim, M.H. Evaluation of energy and nutrient intake as well as dietary behaviors in elementary school and middle school students residing in Chungnam according to breakfast eating status. J. Korean Diet. Assoc. 2011, 17, 18–31. [Google Scholar]
- Friedewald, W.T.; Levy, R.I.; Fredrickson, D.S. Estimation of the concentration of low-density lipoprotein cholesterol in plasma, without use of the preparative ultracentrifuge. Clin. Chem. 1972, 18, 499–502. [Google Scholar] [CrossRef]
- Matthews, D.R.; Hosker, J.P.; Rudenski, A.S.; Naylor, B.A.; Treacher, D.F.; Turner, R.C. Homeostasis model assessment: Insulin resistance and beta-cell function from fasting plasma glucose and insulin concentrations in man. Diabetologia 1985, 28, 412–419. [Google Scholar] [CrossRef] [PubMed]
- Park, J.H.; Seo, Y.S. Validation of the perceived stress scale (PSS) on samples of Korean university students. Korean J. Psychol. Gen. 2010, 29, 611–629. [Google Scholar]
- Chung, Y.-C.; Park, C.-H.; Kwon, H.-K.; Park, Y.-M.; Kim, Y.S.; Doo, J.-K.; Shin, N.-H.; Jung, E.-S.; Oh, M.-R.; Chae, S.W. Improved cognitive performance following supplementation with a mixed-grain diet in high school students: A randomized controlled trial. Nutrition 2012, 28, 165–172. [Google Scholar] [CrossRef] [PubMed]
- Kim, D.S.; Goo, Y.M.; Cho, J.J.; Lee, J.Y.; Lee, D.Y.; Sin, S.M.; Kil, Y.S.; Jeong, W.M.; Ko, K.H.; Yang, K.J.; et al. Effect of volatile organic chemicals in Chrysanthemum indicum Linné on blood pressure and electroencephalogram. Molecules 2018, 23, 2063. [Google Scholar] [CrossRef]
- Armstrong, T.; Bull, F. Development of the world health organization global physical activity questionnaire. J. Public Health 2006, 14, 66–70. [Google Scholar] [CrossRef]
- Baek, H.-I.; Jung, S.-Y.; Ha, K.-C.; Kim, H.-M.; Choi, E.-K.; Park, E.-O.; Shin, S.-W.; Kim, M.-G.; Yun, S.-K.; Kwon, D.-Y.; et al. Effect of Chongkukjang on histamine-induced skin wheal response: A randomized, double-blind, placebo-controlled trial. J. Ethn. Foods 2015, 2, 52–57. [Google Scholar] [CrossRef]
- Kim, H.S.; Lee, U.S.; Kim, S.H.; Cha, Y.S. Evaluation of dietary habits according to breakfast consumption in Korean adolescents: Based on the 6th Korea National Health and Nutrition Examination Survey, 2013~2015. J. Nutr. Health 2019, 52, 217–226. [Google Scholar] [CrossRef]
- Szajewska, H.; Ruszczynski, M. Systematic review demonstrating that breakfast consumption influences body weight outcomes in children and adolescents in Europe. Crit. Rev. Food Sci. Nutr. 2010, 50, 113–119. [Google Scholar] [CrossRef]
- Sakurai, M.; Yoshita, K.; Nakamura, K.; Miura, K.; Takamura, T.; Nagasawa, S.; Morikawa, Y.; Kido, T.; Naruse, Y.; Nogawa, K.; et al. Skipping breakfast and 5-year changes in body mass index and waist circumference in Japanese men and women. Obes. Sci. Pract. 2017, 3, 162–170. [Google Scholar] [CrossRef] [PubMed]
- Kim, J.H.; Yun, S.H.; Oh, K.W. Convenience food consumption of Korean adolescents: Results of the 2017 Korea youth risk behavior survey. Public Health Wkly. Rep. 2018, 11, 1381–1385. [Google Scholar]
- Xu, S.; Xue, Y. Pediatric obesity: Causes, symptoms, prevention and treatment. Exp. Ther. Med. 2016, 11, 15–20. [Google Scholar] [CrossRef]
- Adolphus, K.; Bellissimo, N.; Lawton, C.L.; A Ford, N.; Rains, T.M.; De Zepetnek, J.T.; Dye, L. Methodological challenges in studies examining the effects of breakfast on cognitive performance and appetite in children and adolescents. Adv. Nutr. 2017, 8, 184S–196S. [Google Scholar] [CrossRef]
- Kwon, H.K.; Cho, J.S. EEG asymmetry changes by the left and the right SMR brainwave of the computer learning versus the paper and pencil learning. J. Korean Data Inf. Sci. Soc. 2007, 18, 1073–1079. [Google Scholar]
- Choi, J.Y.; Kim, N.Y.; Wu, Y.J.; Hong, K.H. Effects of 3D compression suits on EEG analysis during and after walking. J. Korean Soc. Cloth. Text. 2014, 38, 440–454. [Google Scholar] [CrossRef]
- Park, E.-O.; Oh, M.-R.; Choi, E.-K.; Shin, N.-H.; Doo, J.-K.; Kim, Y.-S.; Park, Y.-M.; Jung, E.-S.; Park, B.-H.; Chae, S.-W. Mixed grain containing giant embryonic brown rice improves postprandial glycaemic response in healthy subjects. Nutr. Diet. 2016, 73, 132–138. [Google Scholar] [CrossRef]
- Kim, B.; Hong, V.M.; Yang, J.; Hyun, H.; Im, J.J.; Hwang, J.; Yoon, S.; Kim, J.E. A review of fermented foods with beneficial effects on brain and cognitive function. Prev. Nutr. Food Sci. 2016, 21, 297–309. [Google Scholar] [CrossRef] [PubMed]
- Neumann, B.L.; Dunn, A.; Johnson, D.; Adams, J.D.; Baum, J.I. Breakfast macronutrient composition influences thermic effect of feeding and fat oxidation in young women who habitually skip breakfast. Nutrients 2016, 8, 490. [Google Scholar] [CrossRef] [PubMed]


| Nutrients | Rice-Based Breakfast | Wheat-Based Breakfast |
|---|---|---|
| Energy (kcal) | 761.25 ± 3.64 | 760.94 ± 25.62 |
| Carbohydrates (g) | 113.29 ± 8.15 | 95.80 ± 14.03 |
| Protein (g) | 31.92 ± 4.44 | 26.99 ± 5.16 |
| Fats (g) | 19.69 ± 3.59 | 30.55 ± 7.42 |
| SFA (g) | 3.55 ± 1.83 | 5.39 ± 3.52 |
| MUFA (g) | 4.76 ± 2.22 | 7.35 ± 4.20 |
| PUFA (g) | 6.19 ± 3.21 | 5.68 ± 2.75 |
| Total dietary fiber (g) | 10.39 ± 2.29 | 7.13 ± 2.30 |
| Soluble dietary fiber (g) | 1.82 ± 1.13 | 1.30 ± 1.13 |
| Insoluble dietary fiber (g) | 5.22 ± 1.84 | 3.25 ± 1.46 |
| P (mg) | 568.48 ± 108.12 | 455.79 ± 82.09 |
| Na (mg) | 1618.10 ± 486.56 | 1485.50 ± 323.72 |
| K (mg) | 1398.35 ± 476.06 | 955.66 ± 248.80 |
| Cu (mg) | 277.44 ± 120.65 | 344.97 ± 239.54 |
| Zn (mg) | 5.01 ± 1.95 | 3.19 ± 0.83 |
| Fe (mg) | 6.57 ± 2.51 | 6.95 ± 3.18 |
| Ca (mg) | 335.92 ± 100.57 | 289.05 ± 71.81 |
| Mg (mg) | 56.30 ± 28.27 | 42.71 ± 16.60 |
| Vitamin B1 (mg) | 0.73 ± 0.20 | 0.69 ± 0.22 |
| Vitamin B2 (mg) | 0.63 ± 0.18 | 0.65 ± 0.20 |
| Vitamin B3 (mg) | 5.56 ± 1.55 | 5.88 ± 1.34 |
| Vitamin B6 (mg) | 1.24 ± 1.81 | 0.71 ± 0.35 |
| Parameters | RMG (n = 35) | WMG (n = 35) | GMG (n = 35) | p-Value |
|---|---|---|---|---|
| Age (years) | 15.9 ± 0.3 | 15.7 ± 0.3 | 15.5 ± 0.3 | 0.661 * |
| Sex, n (%) | ||||
| Boys | 14 (40.0) | 15 (42.9) | 12 (34.3) | 0.823 † |
| Girls | 21 (60.0) | 20 (57.1) | 23 (65.7) | (χ2 = 0.560) |
| School, n (%) | ||||
| Middle school | 8 (22.9) | 9 (25.7) | 8 (22.9) | 1.000 |
| High school | 27 (77.1) | 26 (74.3) | 27 (77.1) | (χ2 = 0.105) |
| Height (cm) | 164.8 ± 7.6 | 164.6 ± 7.8 | 165.3 ± 7.4 | 0.926 |
| Weight (kg) | 60.3 ± 10.4 | 57.2 ± 13.0 | 57.8 ± 8.2 | 0.468 |
| WC (cm) | 74.4 ± 8.3 | 71.7 ± 7.5 | 74.5 ± 7.4 | 0.261 |
| HC (cm) | 93.9 ± 7.1 | 93.3 ± 7.8 | 92.9 ± 5.8 | 0.848 |
| WHR | 0.79 ± 0.04 | 0.78 ± 0.04 | 0.79 ± 0.03 | 0.444 |
| BMI (kg/m2) | 22.2 ± 3.2 | 21.0 ± 3.6 | 21.3 ± 2.7 | 0.299 |
| Physical activity (MET min/week) | 2596.9 ± 3886.9 | 3797.9 ± 8496.8 | 2191.4 ± 2456.6 | 0.459 |
| Sedentary time (min/day) | 611.3 ± 159.5 | 628.8 ± 225.4 | 670.0 ± 206.6 | 0.451 |
| Glucose (mg/dL) | 83.3 ± 6.1 | 83.9 ± 6.0 | 81.7 ± 6.3 | 0.299 |
| HbA1c (%) | 5.5 ± 0.2 | 5.5 ± 0.3 | 5.5 ± 0.2 | 0.749 |
| Insulin (μU/mL) | 11.7 ± 5.4 | 10.6 ± 5.3 | 11.7 ± 7.5 | 0.701 |
| HOMA-IR | 2.4 ± 1.2 | 2.2 ± 1.2 | 2.4 ± 1.5 | 0.800 |
| Triglyceride (mg/dL) | 80.5 ± 34.9 | 70.1 ± 32.5 | 82.1 ± 32.6 | 0.095 |
| Total cholesterol (mg/dL) | 153.0 ± 18.5 | 157.5 ± 27.7 | 161.5 ± 23.0 | 0.294 |
| HDL cholesterol (mg/dL) | 55.1 ± 8.2 | 58.5 ± 12.1 | 58.0 ± 12.7 | 0.263 |
| LDL cholesterol mg/dL) | 91.1 ± 20.6 | 90.3 ± 28.7 | 97.1 ± 25.4 | 0.427 |
| AST (IU/L) | 23.2 ± 5.4 | 23.5 ± 5.9 | 23.2 ± 5.6 | 0.986 |
| ALT (IU/L) | 20.4 ± 14.6 | 19.2 ± 14.1 | 17.9 ± 8.9 | 0.740 |
| γGT (IU/L) | 13.6 ± 4.7 | 13.2 ± 5.1 | 13.3 ± 5.0 | 0.928 |
| Variable | RMG (n = 35) | WMG (n = 35) | GMG (n = 35) | p-Value 2 | p-Value 3 | p-Value 4 | p-Value 5 | |||||||||
|---|---|---|---|---|---|---|---|---|---|---|---|---|---|---|---|---|
| 0 Week | 12 Week | △ | p-Value 1 | 0 Week | 12 Week | △ | p-Value 1 | 0 Week | 12 Week | △ | p-Value 1 | |||||
| Weight (kg) | 60.3 ± 10.4 | 61.6 ± 7.9 | 1.3 ± 6.7 a | 0.275 | 57.2 ± 13.0 | 59.8 ± 12.1 | 2.6 ± 5.1 b | 0.007 | 57.8 ± 8.2 | 59.7 ± 7.7 | 1.8 ± 4.6 a,b | 0.031 | 0.034 | 0.643 | 0.535 | 0.001 |
| BMI | 22.2 ± 3.2 | 22.5 ± 2.7 | 0.3 ± 1.6 a | 0.301 | 21.0 ± 3.6 | 21.9 ± 3.5 | 0.9 ± 1.4 b | 0.001 | 21.3 ± 2.7 | 21.7 ± 2.5 | 0.4 ± 1.3 a,b | 0.082 | 0.023 | 0.233 | 0.408 | 0.0001 |
| Obesity rate, n (%) | ||||||||||||||||
| under weight | 0 (0.0) | 0 (0.0) | 4 (11.4) | 3 (8.6) | 1 (2.9) | 0 (0.0) | 0.411 † | |||||||||
| normal | 24 (68.6) | 25 (71.4) | 24 (68.6) | 23 (65.7) | 25 (71.4) | 25 (71.4) | (x2 = 8.933) | |||||||||
| over weight | 7 (20.0) | 6 (17.1) | 0 (0.0) | 2 (5.7) | 4 (11.4) | 4 (11.4) | ||||||||||
| obesity | 4 (11.4) | 4 (11.4) | 7 (20.0) | 7 (20.0) | 5 (14.3) | 6 (17.1) | ||||||||||
| Body fat mass (Kg) | 15.4 ± 5.9 | 15.7 ± 5.2 | 0.3 ± 3.3 a | 0.593 | 15.0 ± 7.6 | 15.4 ± 6.9 | 0.9 ± 2.1 b | 0.022 | 15.4 ± 5.8 | 15.9 ± 5.2 | 0.50 ± 2.87 a,b | 0.333 | 0.017 | 0.669 | 0.873 | 0.047 |
| Percentage of fat mass (%) | 25.9 ± 8.8 | 25.7 ± 8.0 | −0.2 ± 3.4 a | 0.693 | 25.7 ± 9.8 | 25.8 ± 9.2 | 0.1 ± 2.4 a | 0.806 | 28.2 ± 8.4 | 27.9 ± 8.6 | −0.27 ± 2.11 a,b | 0.453 | 0.031 | 0.818 | 0.457 | 0.615 |
| Waist circumference (cm) | 74.4 ± 8.3 | 73.9 ± 6.1 | −0.49 ± 5.65 | 0.616 | 71.7 ± 7.5 | 72.3 ± 7.3 | 0.6 ± 3.9 | 0.410 | 74.5 ± 7.4 | 72.9 ± 6.7 | −1.7 ± 4.1 | 0.026 | 0.467 | 0.151 | 0.421 | 0.254 |
| Hip circumference (cm) | 93.9 ± 7.1 | 91.5 ± 6.0 | −2.4 ± 3.9 | 0.001 | 93.3 ± 7.8 | 91.2 ± 6.9 | −2.1 ± 3.4 | 0.002 | 92.9 ± 5.8 | 90.3 ± 5.3 | −2.6 ± 4.2 | 0.001 | 0.079 | 0.849 | 0.776 | 0.0001 |
| Waist:hip ratio | 0.79 ± 0.04 | 0.81 ± 0.04 | 0.02 ± 0.03 | 0.002 | 0.78 ± 0.04 | 0.80 ± 0.04 | 0.02 ± 0.03 | 0.0001 | 0.79 ± 0.03 | 0.80 ± 0.04 | 0.00 ± 0.04 | 0.499 | 0.984 | 0.069 | 0.610 | 0.0001 |
| Lean body mass (g) | 44.4 ± 8.6 | 45.5 ± 7.1 | 1.1 ± 4.9 | 0.216 | 43.3 ± 10.1 | 45.1 ± 9.6 | 1.8 ± 3.6 | 0.007 | 43.7 ± 8.4 | 44.8 ± 8.4 | 1.1 ± 2.4 | 0.011 | 0.528 | 0.671 | 0.925 | 0.001 |
| RMG | WMG | GMG | p-Value 2 | p-Value 3 | p-Value 4 | p-Value 5 | ||||||
|---|---|---|---|---|---|---|---|---|---|---|---|---|
| 0 Week | 12 Week | p-Value 1 | 0 Week | 12 Week | p-Value 1 | 0 Week | 12 Week | p-Value 1 | ||||
| Stress score | ||||||||||||
| Intention-to-treat analysis (n = 105) * | ||||||||||||
| 19.71 ± 3.61 | 19.37 ± 3.14 A | 0.865 | 21.00 ± 3.69 | 21.02 ± 4.09 B | 0.941 | 19.31 ± 4.79 | 19.17 ± 3.90 AB | 0.872 | 0.112 | 0.529 | 0.016 | 0.051 |
| Per-protocol analysis (n = 87) † | ||||||||||||
| 19.19 ± 3.94 | 18.81 ± 4.21a | 0.603 | 21.03 ± 3.62 | 21.23 ± 4.39 b | 0.813 | 19.77 ± 4.77 | 9.10 ± 4.14 a | 0.472 | 0.033 | 0.960 | 0.016 | 0.027 |
| SMC (n = 81) ‡ | ||||||||||||
| 19.20 ± 4.02 | 19.24 ± 3.67 a | 0.949 | 20.96 ± 3.71 | 21.36 ± 4.36 b | 0.637 | 19.20 ± 4.81 | 19.40 ± 3.46 a | 0.757 | 0.047 | 0.988 | 0.021 | 0.044 |
| BCRS score | ||||||||||||
| Intention-to-treat analysis (n = 105) * | ||||||||||||
| 3.57 ± 1.33 | 7.79 ± 8.10 | 0.026 | 3.09 ± 8.55 | 5.05 ± 8.05 | 0.233 | 3.29 ± 9.32 | 6.33 ± 9.71 | 0.103 | 0.166 | 0.499 | 0.558 | 0.427 |
| Per-protocol analysis (n = 87) † | ||||||||||||
| 3.00 ± 8.64 | 7.92 ± 8.89 | 0.024 | 2.29 ± 7.91 | 4.82 ± 8.74 | 0.151 | 3.37 ± 8.93 | 6.33 ± 10.35 | 0.140 | 0.202 | 0.668 | 0.378 | 0.763 |
| SMC (n = 81) ‡ | ||||||||||||
| 3.04 ± 10.99 | 8.31 ± 9.39 | 0.015 | 3.41 ± 9.86 | 4.66 ± 8.63 | 0.560 | 3.85 ± 10.65 | 7.12 ± 11.60 | 0.142 | 0.139 | 0.685 | 0.373 | 0.380 |
Publisher’s Note: MDPI stays neutral with regard to jurisdictional claims in published maps and institutional affiliations. |
© 2021 by the authors. Licensee MDPI, Basel, Switzerland. This article is an open access article distributed under the terms and conditions of the Creative Commons Attribution (CC BY) license (http://creativecommons.org/licenses/by/4.0/).
Share and Cite
Kim, H.-S.; Jung, S.-J.; Mun, E.-G.; Kim, M.-S.; Cho, S.-M.; Cha, Y.-S. Effects of a Rice-Based Diet in Korean Adolescents Who Habitually Skip Breakfast: A Randomized, Parallel Group Clinical Trial. Nutrients 2021, 13, 853. https://doi.org/10.3390/nu13030853
Kim H-S, Jung S-J, Mun E-G, Kim M-S, Cho S-M, Cha Y-S. Effects of a Rice-Based Diet in Korean Adolescents Who Habitually Skip Breakfast: A Randomized, Parallel Group Clinical Trial. Nutrients. 2021; 13(3):853. https://doi.org/10.3390/nu13030853
Chicago/Turabian StyleKim, Hyun-Suk, Su-Jin Jung, Eun-Gyung Mun, Myung-Sunny Kim, Soo-Muk Cho, and Youn-Soo Cha. 2021. "Effects of a Rice-Based Diet in Korean Adolescents Who Habitually Skip Breakfast: A Randomized, Parallel Group Clinical Trial" Nutrients 13, no. 3: 853. https://doi.org/10.3390/nu13030853
APA StyleKim, H.-S., Jung, S.-J., Mun, E.-G., Kim, M.-S., Cho, S.-M., & Cha, Y.-S. (2021). Effects of a Rice-Based Diet in Korean Adolescents Who Habitually Skip Breakfast: A Randomized, Parallel Group Clinical Trial. Nutrients, 13(3), 853. https://doi.org/10.3390/nu13030853

