Potential Therapeutic Effects of Curcumin on Glycemic and Lipid Profile in Uncomplicated Type 2 Diabetes—A Meta-Analysis of Randomized Controlled Trial
Abstract
1. Introduction
2. Materials and Methods
3. Statistical Analysis
4. Results
4.1. BMI
4.2. Hb1Ac
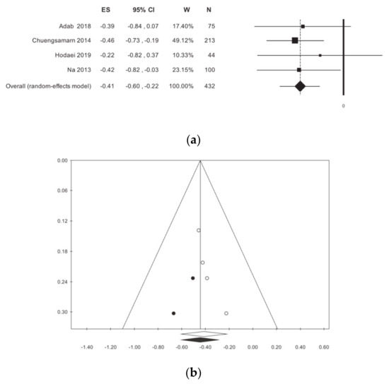
4.3. HOMA
4.4. HDL
4.5. LDL
4.6. Triglycerides
4.7. Total Cholesterol
5. Discussion
6. Conclusions
Supplementary Materials
Author Contributions
Funding
Founding
Data Availability Statement
Conflicts of Interest
References
- World Health Organization (WHO). World Health Statistics 2016: Monitoring Health for the SDGs Sustainable Development Goals; World Health Organization: Geneva, Switzerland, 2016. [Google Scholar]
- Altobelli, E.; Angeletti, P.M.; Profeta, V.F.; Petrocelli, R. Lifestyle risk factors for type 2 diabetes mellitus and national diabetes care systems in European countries. Nutrients 2020, 12, 2806. [Google Scholar] [CrossRef] [PubMed]
- Bommer, C.; Sagalova, V.; Heesemann, E.; Manne-Goehler, J.; Atun, R.; Bärnighausen, T.; Davies, J.; Vollmer, S. Global economic burden of diabetes in adults: Projections from 2015 to 2030. Diabetes Care 2018, 41, 963–970. [Google Scholar] [CrossRef] [PubMed]
- Kim, H.S.; Hwang, Y.C.; Koo, S.H.; Park, K.S.; Lee, M.S.; Kim, K.W.; Lee, M.K. PPAR-gamma activation increases insulin secretion through the up-regulation of the free fatty acid receptor GPR40 in pancreatic beta-cells. PLoS ONE 2013, 8, e50128. [Google Scholar]
- Shaikh, J.; Ankola, D.D.; Beniwal, V.; Singh, D.; Kumar, M.N. Nanoparticle encapsulation improves oral bioavailability of curcumin by at least 9-fold when compared to curcumin administered with piperine as absorption enhancer. Eur. J. Pharm. Sci. 2009, 37, 223–230. [Google Scholar] [CrossRef] [PubMed]
- Pivari, F.; Mingione, A.; Brasacchio, C.; Soldati, L. Curcumin and type 2 diabetes mellitus: Prevention and treatment. Nutrients 2019, 11, 1837. [Google Scholar] [CrossRef]
- Aggarwal, B.B.; Harikumar, K.B. Potential therapeutic effects of curcumin, the anti-inflammatory agent, against neurodegenerative, cardiovascular, pulmonary, metabolic, autoimmune and neoplastic diseases. Int. J. Biochem. Cell Biol. 2009, 41, 40–59. [Google Scholar] [CrossRef]
- Ramírez-Boscá, A.; Soler, A.; Carrión, M.A.; Díaz-Alperi, J.; Bernd, A.; Quintanilla, C.; Quintanilla Almagro, E.; Miquel, J. An hydroalcoholic extract of curcuma longa lowers the apo B/apo A ratio. Implications for atherogenesis prevention. Mech. Ageing Dev. 2000, 20, 41–47. [Google Scholar]
- Mohammadi, A.; Sahebkar, A.; Iranshahi, M.; Amini, M.; Khojasteh, R.; Ghayour-Mobarhan, M.; Ferns, G.A. Effects of supplementation with curcuminoids on dyslipidemia in obese patients: A randomized crossover trial. Phytother. Res. 2013, 27, 374–379. [Google Scholar] [CrossRef]
- Hodaei, H.; Adibian, M.; Nikpayam, O.; Hedayati, M.; Sohrab, G. The effect of curcumin supplementation on anthropometric indices, insulin resistance and oxidative stress in patients with type 2 diabetes: A randomized, double-blind clinical trial. Diabetol. Metab. Syndr. 2019, 27, 41. [Google Scholar] [CrossRef]
- Adibian, M.; Hodaei, H.; Nikpayam, O.; Sohrab, G.; Hekmatdoost, A.; Hedayati, M. The effects of curcumin supplementation on high-sensitivity C-reactive protein, serum adiponectin, and lipid profile in patients with type 2 diabetes: A randomized, double-blind, placebo-controlled trial. Phytother. Res. 2019, 33, 1374–1383. [Google Scholar] [CrossRef]
- Adab, Z.; Eghtesadi, S.; Vafa, M.R.; Heydari, I.; Shojaii, A.; Haqqani, H.; Arablou, T.; Eghtesadi, M. Effect of turmeric on glycemic status, lipid profile, Hs-CRP, and total antioxidant capacity in hyperlipidemic type 2 diabetes mellitus patients. Phytother. Res. 2019, 33, 1173–1181. [Google Scholar] [CrossRef] [PubMed]
- Rahimi, H.R.; Mohammadpour, A.H.; Dastani, M.; Jaafari, M.R.; Abnous, K.; Ghayour Mobarhan, M.; Kazemi Oskuee, R. The effect of nano-curcumin on HbA1c, fasting blood glucose, and lipid profile in diabetic subjects: A randomized clinical trial. Avicenna J. Phytomed. 2016, 6, 567–577. [Google Scholar] [PubMed]
- Chuengsamarn, S.; Rattanamongkolgul, S.; Phonrat, B.; Tungtrongchitr, R.; Jirawatnotai, S. Reduction of atherogenic risk in patients with type 2 diabetes by curcuminoid extract: A randomized controlled trial. J. Nutr. Biochem. 2014, 25, 144–150. [Google Scholar] [CrossRef] [PubMed]
- Na, L.X.; Li, Y.; Pan, H.Z.; Zhou, X.L.; Sun, D.J.; Meng, M.; Li, X.X.; Sun, C.H. Curcuminoids exert glucose-lowering effect in type 2 diabetes by decreasing serum free fatty acids: A double-blind, placebo-controlled trial. Mol. Nutr. Food Res. 2013, 57, 1569–1577. [Google Scholar] [CrossRef] [PubMed]
- Usharani, P.; Mateen, A.A.; Naidu, M.U.; Raju, Y.S.; Chandra, N. Effect of NCB-02, atorvastatin and placebo on endothelial function, oxidative stress and inflammatory markers in patients with type 2 diabetes mellitus: A randomized, parallel-group, placebo-controlled, 8-week study. Drugs Res. Dev. 2008, 9, 243–250. [Google Scholar] [CrossRef]
- Moher, D.; Liberati, A.; Tetzlaff, J.; Altman, D.G. PRISMA Group. Preferred reporting items for systematic reviews and meta-analyses: The PRISMA statement. PLoS Med. 2009, 21, e1000097. [Google Scholar]
- Higgins, J.P.T.; Green, S.; Altman, D.G. Cochrane Handbook for Systematic Reviews of Interventions: Cochrane Book Series Chapter 8; Assessing Risk of Bias in Included Studies Published Online; Wiley and Sons: Hoboken, NJ, USA, 2008. [Google Scholar]
- Higgins, J.P.T.; Thompson, S.G.; Spiegelhalter, D.J. A re-evaluation of random-effects meta-analysis. J. R. Stat. Soc. 2009, 172, 137–159. [Google Scholar] [CrossRef]
- Rhea, M.R. Determining the magnitude of treatment effects in strength training research through the use of the effect size. J. Strength Cond. Res. 2004, 18, 918–920. [Google Scholar]
- Rothstein, H.R.; Sutton, A.J.; Borenstein, M. Publication Bias in Meta-Analysis; Wiley and Sons: Chichester, UK, 2005. [Google Scholar]
- Fragkos, K.C.; Tsagris, M.; Frangos, C.C. Publication bias in meta-analysis: Confidence intervals for Rosenthal’s fail-safe number. Int. Sch. Res. Notices. 2014, 2014, 825383. [Google Scholar] [CrossRef]
- Rugge, B.; Balshem, H.; Sehgal, R.; Relevo, R.; Gorman, P.; Helfand, M. Screening and Treatment of Subclinical Hypothyroidism or Hyperthyroidism; Comparative Effectiveness Reviews, No. 24; Agency for Healthcare Research and Quality: Rockville, MD, USA, 2011. Available online: https://www.ncbi.nlm.nih.gov/books/NBK83496/ (accessed on 25 January 2021).
- Waltenberger, B.; Mocan, A.; Šmejkal, K.; Heiss, E.H.; Atanasov, A.G. Natural products to counteract the epidemic of cardiovascular and metabolic disorders. Molecules 2016, 22, 807. [Google Scholar] [CrossRef]
- Dwyer, J.T.; Coates, P.M.; Smith, M.J. Dietary supplements: Regulatory challenges and research resources. Nutrients 2018, 10, 41. [Google Scholar] [CrossRef] [PubMed]
- Kantor, E.D.; Rehm, C.D.; Du, M.; White, E.; Giovannucci, E.L. Trends in dietary supplement use among US adults from 1999–2012. JAMA Intern. Med. 2016, 316, 1464–1474. [Google Scholar] [CrossRef] [PubMed]
- Geil, P.; Shane-McWhorter, L. Dietary supplements in the management of diabetes: Potential risks and benefits. J. Am. Diet. Assoc. 2008, 8, S59–S65. [Google Scholar] [CrossRef] [PubMed]
- Alherbish, A.; Charrois, T.L.; Ackman, M.L.; Tsuyuki, R.T.; Ezekowitz, J.A. The prevalence of natural health product use in patients with acute cardiovascular disease. PLoS ONE 2011, 6, e19623. [Google Scholar] [CrossRef]
- Necyk, C.; Zubach-Cassano, L. Natural health products and diabetes: A practical review. Can. J. Diabetes 2017, 41, 642–647. [Google Scholar] [CrossRef]
- Damnjanovic, I.; Kitic, D.; Stefanovic, N.; Zlatkovic-Guberinic, S.; Catic-Djordjevic, A.; Velickovic-Radovanovic, R. Herbal self-medication use in patients with diabetes mellitus type 2. Turk. J. Med. Sci. 2015, 45, 964–971. [Google Scholar] [CrossRef]
- Heller, T.; Müller, N.; Kloos, C.; Wolf, G.; Müller, U.A. Self-medication and use of dietary supplements in adult patients with endocrine and metabolic disorders. Exp. Clin. Endocrinol. Diabetes 2012, 120, 540–546. [Google Scholar] [CrossRef]
- Kunnumakkara, A.B.; Bordoloi, D.; Padmavathi, G.; Monisha, J.; Roy, N.K.; Prasad, S.; Aggarwal, B.B. Curcumin, the golden nutraceutical: Multitargeting for multiple chronic diseases. Br. J. Pharmacol. 2017, 174, 1325–1348. [Google Scholar] [CrossRef]
- Seo, K.I.; Choi, M.S.; Jung, U.J.; Kim, H.J.; Yeo, J.; Jeon, S.M.; Lee, M.K. Effect of curcumin supplementation on blood glucose, plasma insulin, and glucose homeostasis related enzyme activities in diabetic Db/Db mice. Mol. Nut. Food Res. 2008, 52, 995–1004. [Google Scholar] [CrossRef]
- Escolà-Gil, J.C.; Julve, J.; Griffin, B.A.; Freeman, D.; Blanco-Vaca, F. HDL and lifestyle interventions. Handb. Exp. Pharmacol. 2015, 224, 569–592. [Google Scholar]
- Lv, N.; Azar, K.M.J.; Rosas, L.G.; Wulfovich, S.; Xiao, L.; Ma, J. Behavioral lifestyle interventions for moderate and severe obesity: A systematic review. Prev. Med. 2017, 100, 180–193. [Google Scholar] [CrossRef] [PubMed]
- Gupta, S.C.; Patchva, S.; Aggarwal, B.B. Therapeutic roles of curcumin: Lessons learned from clinical trials. AAPS J. 2013, 15, 195–218. [Google Scholar] [CrossRef] [PubMed]
- Srinivasan, M. Effect of curcumin on blood sugar as seen in a diabetic subject. Indian J. Med. Sci. 1972, 26, 269–270. [Google Scholar] [PubMed]
- Aggarwal, B.B.; Deb, L.; Prasad, S. Curcumin differs from tetrahydrocurcumin for molecular targets, signaling pathways and cellular responses. Molecules 2014, 20, 185–205. [Google Scholar] [CrossRef] [PubMed]
- Reddy, S.; Aggarwal, B.B. Curcumin is a non-competitive and selective inhibitor of phosphorylase kinase. FEBS Lett. 1994, 341, 19–22. [Google Scholar] [CrossRef]
- Sajithlal, G.B.; Chithra, P.; Chandrakasan, G. Advanced glycation end products induce crosslinking of collagen in vitro. Biochim. Biophys. Acta 1998, 1407, 215–224. [Google Scholar] [CrossRef]
- Meghana, K.; Sanjeev, G.; Ramesh, B. Curcumin prevents streptozotocin-induced islet damage by scavenging free radicals: A prophylactic and protective role. Eur. J. Pharmacol. 2007, 577, 183–191. [Google Scholar] [CrossRef]
- Stefanska, B. Curcumin ameliorates hepatic fibrosis in type 2 diabetes mellitus—Insights into its mechanisms of action. Br. J. Pharmacol. 2012, 166, 2209–2211. [Google Scholar] [CrossRef]
- Lee, M.S.; Wahlqvist, M.L.; Chou, Y.C.; Fang, W.H.; Lee, J.T.; Kuan, J.C.; Liu, H.Y.; Lu, T.M.; Xiu, L.; Hsu, C.C.; et al. Turmeric improves post-prandial working memory in pre-diabetes independent of insulin. Asia Pac. J. Clin. Nutr. 2014, 23, 581–591. [Google Scholar]








| Author, Year, Country | Mean Age | Male % | Diabetes Duration (Years) | Groups | BMI Variation Mean (SD) | HOMA-IR | Hb1Ac Mean (SD) | TG Mean (SD) | TC Mean (SD) | HDL Mean (SD) | LDL Mean (SD) |
|---|---|---|---|---|---|---|---|---|---|---|---|
| Hodaei 2019 Iran [10] | 59 | 50 | 1–10 | Intervention Group N = 21 (1500 mg) | 29.2 (3.76) 28.9 (3.73) | 62 (63) 62.4 (42) | 11.3 (1.6) 11 (2.0) | - | - | - | - |
| Control Group N = 23 | 28.2 (2.5) 28.1 (2.5) | 53 (40) 65 (44) | 11.2 (1.3) 11.1 (1.8) | - | - | - | - | ||||
| Adibian 2019 Iran [11] | 59 | 50 | 1–10 | Intervention Group N = 21 (1500 mg) | - | - | - | 124 (36) 109 (36) | 167 (34) 163 (39) | 30 (2) 30 (2) | 112 (31) 108 (36) |
| Control Group N = 23 | - | - | - | 126 (52) 121 (44) | 180 (47) 175 (47) | 30 (2) 30 (2) | 125 (44) 118 (47) | ||||
| Adab 2018 Iran [12] | 55 | 51 | 5–10 | Intervention Group N = 39 (2100 mg) | 28.98 (3.68) 28.26. (3.45) | 2.42 (1.73) 2.21 (1.43) | 7.06 (1.01) 7.04 (0.98) | 181.56 (79.9) 141.74 (52.02) | 148.85 (36.11) 149.82 (35.67) | 38.79 (10.30) 37.07 (9.12) | 82.56 (20.99) 75.23 (18.84) |
| Control Group N= 36 | 28.82 (4.96) 28.68 (4.86) | 2.24 (1.48) 2.69 (2.02) | 6.79 (1.08) 7.28 (1.59) | 164.05 (81.19) 197.05 (96.98) | 155.36 (36.27) 176.88 (37.58) | 44.63 (10.66) 42.11 (9.39) | 86.61 (21.99) 89.05 (21.46) | ||||
| Rahimi 2015 Iran [13] | 58.64 | 45 | NR | Intervention Group (80 mg) N = 35 | 26.92 (2.71) 25.57 (2.71) | - | 7.59 (1.74) 7.31 (1.54) | 109 (94.75) 131 (60.27) | 163.4 (33.94) 158.62 (44.06) | 54.30 (14.02) 60.95 (15.68) | 96.57 (33.94) 91.04 (28.72) |
| Control Group N = 35 | 27.27 (3.59) 27.50 (3.38) | - | 7.49 (1.75) 9.05 (2.33) | 142 (97.5) 113 (58) | 85.5 (15.3) 80.5 (9.1) | 60.35 (15.96) 55.00 (11.09) | 98.78 (30.33) 99.78 (30.33) 84.00 (12.59) | ||||
| Chuengsamarn Thailand 2014 [14] | 59 | 48 | 12 | Intervention Group N = 107 | - | 9.58 (4.3) 4,32 (1.8) | - | 219.12 (97.52) 141.99 (67.79) | - | - | - |
| Control Groups N = 106 | - | 6.89 (2.67) 6.78 (2.5) | - | 252.72 (114.12) 252 (114.12) | - | - | - | ||||
| Na China 2013 [15] | 55.07 | 49 | 7.6 | Intervention Group (300 Mg) N = 50 | - | 5.80 (3.35) 4.14 (1.81) | 7.77 (1.82) 7.02 (2.04) | 223.8 (46.8) 157.5 (49.5) | 540 (100) 493 (41.7) | 52.9 (10.04) 54.8 (11.2) | 166.0 (46.3) 146.7 (39.7) |
| Control Group N= 50 | - | 5.82 (3.90) 5.49 (2.15) | 7.72 (2.12) 7.99 (2.86) | 193.8 (92.04) 186.7 (66.3) | 538 (109) 522 (105.3) | 51.35 (10.81) 51.74 (8.8) | 166.8 (44.4) 160.2 (45.17) | ||||
| Usharani India 2008 [16] | 52 | 8 | Intervention Group N = 23 (300 mg) | - | - | 8.04 (0.85) 8.03 (0.76) | 176.39 (27.61) 165.26 (25.78) | 195.0 (41.16) 185.34 (34.35) | 38.78 (7.69) 39.91 (0.68) | 120.35 (42.13) 111.34 (37.65) | |
| Control Group N= 21 | - | - | 7.82 (0.57) 7.80 (0.62) | 170.14 (47.54) 168.14 (47.10) | 195.95 (35.72) 198.76 (35.09) | 36.38 (7.67) 37.04 (5.92) | 124.59 (34.94) 122.18 (35.56) |
| Outcome | K | Total Sample Size | Effect Size | Heterogeneity | Publication Bias | |||||||
|---|---|---|---|---|---|---|---|---|---|---|---|---|
| (95% CI) | p | I2 | p | T2 | T | Egger (p) | BEGGS (p) | Fail Safe (n) | Rosenthal (n) | |||
| BMI | 3 | 168 | −0.30 (−0.62, 0.02) | 0.067 | 0.00 | 0.514 | 0.00 | 0.00 | 0.842 | 0.602 | 0 | 25 |
| Hb1Ac | 5 | 333 | −0.42 (−0.77, −0.11) | 0.008 | 42.42 | 0.107 | 0.06 | 0.24 | 0.501 | 0.327 | 12 | 35 |
| Iran | 3 | 189 | −0.52 (−1.00, −0.04) | 0.032 | 61.35 | 0.075 | 0.11 | 0.33 | ||||
| Outside Iran | 2 | 144 | −0.28 (−0.67, 0.10) | 0.153 | 22.22 | 0.257 | 0.02 | 0.14 | ||||
| ANOVA Q TEST p = 0.443 | ||||||||||||
| HOMA | 4 | 432 | −0.41 (−0.66, −0.22) | <0.001 | 0.00 | 0.916 | 0.00 | 0.00 | 0.073 | 0.042 | 12 | 30 |
| Iran | 2 | 119 | −0.33 (−0.69, 0.04) | 0.078 | 0.00 | 0.667 | 0.00 | 0.00 | ||||
| Outside Iran | 2 | 313 | −0.45 (−0.67, −0.22) | <0.001 | 0.00 | 0.885 | 0.00 | 0.00 | ||||
| ANOVA Q TEST p = 0.580 | ||||||||||||
| HDL | 5 | 333 | 0.22 (−0.08, 0.52) | 0.143 | 45.91 | 0.116 | 0.05 | 0.27 | 0.856 | 0.327 | 1 | 35 |
| Iran | 3 | 189 | 0.31 (−0.21, 0.839 | 0.241 | 68.28 | 0.043 | 0.22 | 0.41 | ||||
| Outside Iran | 2 | 145 | 0.11 (−0.22, 0.43) | 0.527 | 0.00 | 0.713 | 0.00 | 0.00 | ||||
| ANOVA Q TEST: p = 0.512 | ||||||||||||
| LDL | 5 | 300 | −0.28 (−0.52, −0.04) | 0.021 | 0.00 | 0.083 | 0.00 | 0.00 | 0.646 | 0.624 | 1 | 35 |
| Iran | 3 | 156 | −0.32 (−0.67, 0.03) | 0.077 | 0.00 | 0.582 | 0.00 | 0.00 | ||||
| Outside Iran | 2 | 144 | −0.25 (−0.77, 0.42) | 0.130 | 0.00 | 0.754 | 0.00 | 0.00 | ||||
| ANOVA Q TEST: p = 0.793 | ||||||||||||
| TG | 5 | 476 | −0.57 (−0.83, −0.31) | <0.001 | 41.56 | 0.144 | 0.04 | 0.19 | 0.943 | 0.322 | 37 | 35 |
| Iran | 2 | 119 | −0.59 (−1.22, 0.03) | 0.063 | 63.77 | 0.099 | 0.13 | 0.36 | ||||
| Outside Iran | 3 | 357 | −0.55 (−0.88, −0.22) | <0.001 | 49.19 | 0.140 | 0.04 | 0.20 | ||||
| ANOVA Q TEST p = 0.904 | ||||||||||||
| TC | 5 | 312 | −0.30 (−0.53, −0.07) | 0.01 | 0.00 | 0.573 | 0.00 | 0.00 | 0.975 | 1.00 | 3 | 30 |
| Iran | 3 | 168 | −0.27 (−0.69, 0.15) | 0.211 | 30.47 | 0.237 | 0.10 | 0.31 | ||||
| Outside Iran | 2 | 144 | −0.32 (−0.65, 0.01) | 0.056 | 0.00 | 0.979 | 0.00 | 0.00 | ||||
| ANOVA Q TEST p = 0.847 | ||||||||||||
Publisher’s Note: MDPI stays neutral with regard to jurisdictional claims in published maps and institutional affiliations. |
© 2021 by the authors. Licensee MDPI, Basel, Switzerland. This article is an open access article distributed under the terms and conditions of the Creative Commons Attribution (CC BY) license (http://creativecommons.org/licenses/by/4.0/).
Share and Cite
Altobelli, E.; Angeletti, P.M.; Marziliano, C.; Mastrodomenico, M.; Giuliani, A.R.; Petrocelli, R. Potential Therapeutic Effects of Curcumin on Glycemic and Lipid Profile in Uncomplicated Type 2 Diabetes—A Meta-Analysis of Randomized Controlled Trial. Nutrients 2021, 13, 404. https://doi.org/10.3390/nu13020404
Altobelli E, Angeletti PM, Marziliano C, Mastrodomenico M, Giuliani AR, Petrocelli R. Potential Therapeutic Effects of Curcumin on Glycemic and Lipid Profile in Uncomplicated Type 2 Diabetes—A Meta-Analysis of Randomized Controlled Trial. Nutrients. 2021; 13(2):404. https://doi.org/10.3390/nu13020404
Chicago/Turabian StyleAltobelli, Emma, Paolo Matteo Angeletti, Ciro Marziliano, Marianna Mastrodomenico, Anna Rita Giuliani, and Reimondo Petrocelli. 2021. "Potential Therapeutic Effects of Curcumin on Glycemic and Lipid Profile in Uncomplicated Type 2 Diabetes—A Meta-Analysis of Randomized Controlled Trial" Nutrients 13, no. 2: 404. https://doi.org/10.3390/nu13020404
APA StyleAltobelli, E., Angeletti, P. M., Marziliano, C., Mastrodomenico, M., Giuliani, A. R., & Petrocelli, R. (2021). Potential Therapeutic Effects of Curcumin on Glycemic and Lipid Profile in Uncomplicated Type 2 Diabetes—A Meta-Analysis of Randomized Controlled Trial. Nutrients, 13(2), 404. https://doi.org/10.3390/nu13020404
