Microarray Analysis of Paramylon, Isolated from Euglena Gracilis EOD-1, and Its Effects on Lipid Metabolism in the Ileum and Liver in Diet-Induced Obese Mice
Abstract
:1. Introduction
2. Materials and Methods
2.1. PM Isolation and Dietary Fiber Analysis
2.2. Animals and Study Design
2.3. Serum and Hepatic Biochemical Analysis
2.4. Oral Glucose Tolerance Test
2.5. DNA Microarray Analysis
2.6. Expression Analysis of mRNAs Related to Lipid Metabolism in Liver and Ileum
2.7. Statistical Analysis
3. Results
3.1. Food Intake, Body Weight and Organ Weight
3.2. Oral Glucose Tolerance Test (OGTT)
3.3. Biochemical Analysis of Serum and Liver Lipids
3.4. Gene Ontology (GO) and KEGG Pathway Analysis of DEGs
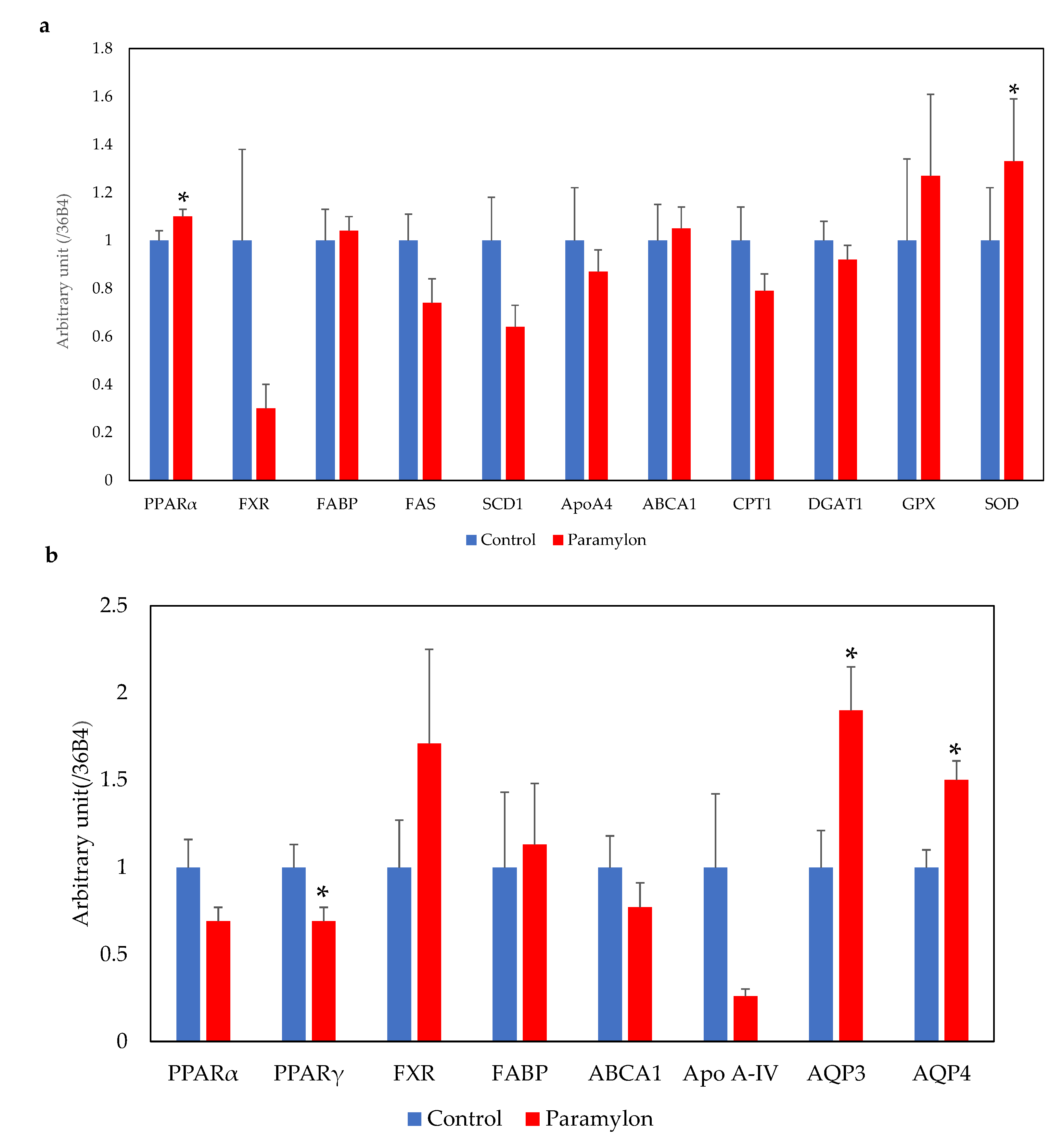
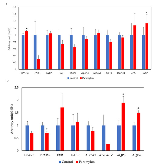
3.5. mRNA Expression Levels of Genes Involved in Lipid Metabolism in the Liver and Ileum
4. Discussion
4.1. Fat Digestion and Absorption Pathway in the Ileum
4.2. PPAR Signaling Pathway in the Ileum
4.3. Water Absorption Pathway in the Ileum
4.4. Immunoglobulin Production
4.5. PPAR Signaling Pathway in the Liver
4.6. Glucose Tolerance
5. Conclusions
Supplementary Materials
Author Contributions
Funding
Institutional Review Board Statement
Conflicts of Interest
References
- Caballero, B. Humans against Obesity: Who Will Win? Adv. Nutr. 2019, 10, S4–S9. [Google Scholar] [CrossRef]
- Vecchié, A.; Dallegri, F.; Carbone, F.; Bonaventura, A.; Liberale, L.; Portincasa, P.; Frühbeck, G.; Montecucco, F. Obesity phenotypes and their paradoxical association with cardiovascular diseases. Eur. J. Intern. Med. 2018, 48, 6–17. [Google Scholar] [CrossRef] [PubMed]
- Chen, J.-P.; Chen, G.-C.; Wang, X.-P.; Qin, L.; Bai, Y. Dietary Fiber and Metabolic Syndrome: A Meta-Analysis and Review of Related Mechanisms. Nutrients 2018, 10, 24. [Google Scholar] [CrossRef] [PubMed] [Green Version]
- Tucker, L.A.; Thomas, K.S. Increasing total fiber intake reduces risk of weight and fat gains in women. J. Nutr. 2009, 139, 576–581. [Google Scholar] [CrossRef] [PubMed] [Green Version]
- Chandalia, M.; Garg, A.; Lutjohann, D.; von Bergmann, K.; Grundy, S.M.; Brinkley, L.J. Beneficial effects of high dietary fiber intake in patients with type 2 diabetes mellitus. N. Engl. J. Med. 2000, 342, 1392–1398. [Google Scholar] [CrossRef] [PubMed]
- Jenkins, D.J.A.; Kendall, C.W.C.; Vuksan, V.; Vidgen, E.; Parker, T.; Faulkner, D.; Mehling, C.C.; Garsetti, M.; Testolin, G.; Cunnane, S.C.; et al. Soluble fiber intake at a dose approved by the US Food and Drug Administration for a claim of health benefits: Serum lipid risk factors for cardiovascular disease assessed in a randomized controlled crossover trial. Am. J. Clin. Nutr. 2002, 75, 834–839. [Google Scholar] [CrossRef] [PubMed]
- Brown, L.; Rosner, B.; Willett, W.W.; Sacks, F.M. Cholesterol-lowering effects of dietary fiber: A meta-analysis. Am. J. Clin. Nutr. 1999, 69, 30–42. [Google Scholar] [CrossRef]
- Zurbau, A.; Noronha, J.C.; Khan, T.A.; Sievenpiper, J.L.; Wolever, T.M.S. The effect of oat β-glucan on postprandial blood glucose and insulin responses: A systematic review and meta-analysis. Eur. J. Clin. Nutr. 2021. Available online: https://www.nature.com/articles/s41430-021-00875-9 (accessed on 25 July 2021). [CrossRef]
- Tosh, S.M.; Bordenave, N. Emerging science on benefits of whole grain oat and barley and their soluble dietary fibers for heart health, glycemic response, and gut microbiota. Nutr. Rev. 2020, 78, 13–20. [Google Scholar] [CrossRef]
- Aoe, S.; Ichinose, Y.; Kohyama, N.; Komae, K.; Takahashi, A.; Abe, D.; Yoshioka, T.; Yanagisawa, T. Effects of high beta-glucan barley on visceral fat obesity in Japanese individuals: A randomized, double-blind study. Nutritions 2017, 42, 1–6. [Google Scholar]
- Nilsson, A.C.; Ostman, E.M.; Holst, J.J.; Björck, I.M. Including indigestible carbohydrates in the evening meal of healthy subjects improves glucose tolerance, lowers inflammatory markers, and increases satiety after a subsequent standardized breakfast. J. Nutr. 2008, 138, 732–739. [Google Scholar] [CrossRef] [Green Version]
- Goodridge, H.S.; Wolf, A.J.; Underhill, D.M. Beta-glucan recognition by the innate immune system. Immunol. Rev. 2009, 230, 38–50. [Google Scholar] [CrossRef]
- Kondo, Y.; Kato, A.; Hojo, H.; Nozoe, S.; Takeuchi, M.; Ochi, K. Cytokine-related immunopotentiating activities of paramylon, a beta-(1→3)-D-glucan from Euglena gracilis. J. Pharm.-Dyn. 1992, 15, 617–621. [Google Scholar] [CrossRef] [PubMed] [Green Version]
- Nakashima, A.; Sasaki, K.; Sasaki, D.; Yasuda, K.; Suzuki, K.; Kondo, A. The alga Euglena gracilis stimulates Faecalibacterium in the gut and contributes to increased defecation. Sci. Rep. 2021, 11, 1074. [Google Scholar] [CrossRef] [PubMed]
- Taylor, H.B.; Gudi, R.; Brown, R.; Vasu, C. Dynamics of Structural and Functional Changes in Gut Microbiota during Treatment with a Microalgal β-Glucan, Paramylon and the Impact on Gut Inflammation. Nutrients 2020, 12, 2193. [Google Scholar] [CrossRef] [PubMed]
- Marchessault, R.H.; Deslamdes, Y. Fine structure of (1→3)-β-d-glucans: Curdlan and paramylon. Carbohydr. Res. 1979, 75, 231–242. [Google Scholar] [CrossRef]
- Sakanoi, Y.; Yamamoto, K.; Ota, T.; Seki, K.; Imai, M.; Ota, R.; Asayama, Y.; Nakashima, A.; Suzuki, K.; Tsuduki, T. Simultaneous Intake of Euglena Gracilis and Vegetables Synergistically Exerts an Anti-Inflammatory Effect and Attenuates Visceral Fat Accumulation by Affecting Gut Microbiota in Mice. Nutrients 2018, 10, 1417. [Google Scholar] [CrossRef] [Green Version]
- Okouchi, R.; Yamamoto, K.; Ota, T.; Seki, K.; Imai, M.; Ota, R.; Asayama, Y.; Nakashima, A.; Suzuki, K.; Tsuduki, T. Simultaneous Intake of Euglena gracilis and Vegetables Exerts Synergistic Anti-Obesity and Anti-Inflammatory Effects by Modulating the Gut Microbiota in Diet-Induced Obese Mice. Nutrients 2019, 11, 204. [Google Scholar] [CrossRef] [Green Version]
- Nakashima, A.; Sugimoto, R.; Suzuki, K.; Shirakata, Y.; Hashiguchi, T.; Yoshida, C.; Nakano, Y. Anti-fibrotic activity of Euglena gracilis and paramylon in a mouse model of non-alcoholic steatohepatitis. Food Sci. Nutr. 2018, 7, 139–147. [Google Scholar] [CrossRef] [Green Version]
- Aoe, S.; Yamanaka, C.; Koketsu, K.; Nishioka, M.; Onaka, N.; Nishida, N.; Takahashi, M. Effects of Paramylon Extracted from Euglena gracilis EOD-1 on Parameters Related to Metabolic Syndrome in Diet-Induced Obese Mice. Nutrients 2019, 11, 1674. [Google Scholar] [CrossRef] [Green Version]
- Ashburner, M.; Ball, C.A.; Blake, J.A.; Botstein, D.; Butler, H.; Cherry, J.M.; Davis, A.P.; Dolinski, K.; Dwight, S.S.; Eppig, J.T.; et al. Gene ontology: Tool for the unification of biology. The Gene Ontology Consortium. Nat. Genet. 2000, 25, 25–29. [Google Scholar] [CrossRef] [Green Version]
- KEGG. Kyoto Encyclopedia of Genes and Genomes. Available online: https://www.genome.jp/kegg/pathway.html (accessed on 25 July 2021).
- Takahashi, M.; Kawashima, J.; Nishida, N.; Onaka, N. Beta-Glucan Derived from Euglena (Paramylon). In Trends in Basic Research and Applied Sciences of β-glucan; Fukui, Y., Tameda, N., Eds.; CMC Publishing Co., Ltd.: Tokyo, Japan, 2018; pp. 174–182. [Google Scholar]
- Lee, S.C.; Rodriguez, F.; Storey, M.; Farmakalidis, E.; Prosky, L. Determination of soluble and insoluble dietary fiber in psyllium containing cereal products. J. AOAC Int. 1995, 78, 724–729. [Google Scholar] [CrossRef] [PubMed]
- Folch, J.; Lees, M.; Sloane-Stanley, G.H. A simple method for the isolation and purification of total lipids from animal tissues. J. Biol. Chem. 1962, 226, 497–509. [Google Scholar] [CrossRef]
- Steffen, M. Application Note: Optimizing Real-Time Quantitative PCR Experiments with the Agilent 2100 Bioanalyzer; Agilent Technologies, Inc.: Santa Clara, CA, USA, 2008. [Google Scholar]
- Mio, K.; Yamanaka, C.; Matsuoka, T.; Kobayashi, T.; Aoe, S. Effects of beta-glucan Rich Barley Flour on Glucose and Lipid Metabolism in the Ileum, Liver, and Adipose Tissues of High-Fat Diet Induced-Obesity Model Male Mice Analyzed by DNA Microarray. Nutrients 2020, 12, 3546. [Google Scholar] [CrossRef] [PubMed]
- Huang, B.B.; Liu, X.C.; Qin, X.Y.; Chen, J.; Ren, P.G.; Deng, W.F.; Zhang, J. Effect of High-Fat Diet on Immature Female Mice and Messenger and Noncoding RNA Expression Profiling in Ovary and White Adipose Tissue. Reprod. Sci. 2019, 26, 1360–1372. [Google Scholar] [CrossRef]
- Park, E.J.; Jung, H.J.; Choi, H.J.; Cho, J.I.; Park, H.J.; Kwon, T.H. miR-34c-5p and CaMKII are involved in aldosterone-induced fibrosis in kidney collecting duct cells. Am. J. Physiol.-Renal Physiol. 2018, 314, F329–F342. [Google Scholar] [CrossRef] [PubMed]
- Wahli, W.; Michalik, L. PPARs at the crossroads of lipid signaling and inflammation. Trends Endocrinol. Metab. 2012, 23, 351–363. [Google Scholar] [CrossRef] [PubMed]
- Tomas, J.; Mulet, C.; Saffarian, A.; Cavin, J.B.; Ducroc, R.; Regnault, B.; Kun Tan, C.; Duszka, K.; Burcelin, R.; Wahli, W.; et al. High-fat diet modifies the PPAR-gamma pathway leading to disruption of microbial and physiological ecosystem in murine small intestine. Proc. Natl. Acad. Sci. USA 2016, 113, E5934–E5943. [Google Scholar] [CrossRef] [PubMed] [Green Version]
- Ma, T.; Verkman, A.S. Aquaporin water channels in gastrointestinal physiology. J. Physiol. 1999, 517, 317–326. [Google Scholar] [CrossRef]
- Spaeth, G.; Gottwald, T.; Specian, R.D.; Mainous, M.R.; Berg, R.D.; Deitch, E.A. Secretory immunoglobulin A, intestinal mucin, and mucosal permeability in nutritionally induced bacterial translocation in rats. Ann. Surg. 1994, 220, 798–808. [Google Scholar] [CrossRef]
- Ishibashi, K.; Nishioka, M.; Onaka, N.; Takahashi, M.; Yamanaka, D.; Adachi, Y.; Ohno, N. Effects of Euglena gracilis EOD-1 Ingestion on Salivary IgA Reactivity and Health-Related Quality of Life in Humans. Nutrients 2019, 11, 1144. [Google Scholar] [CrossRef] [PubMed] [Green Version]
- Bougarne, N.; Weyers, B.; Desmet, S.J.; Deckers, J.; Ray, D.W.; Staels, B.; De Bosscher, K. Molecular Actions of PPARalpha in Lipid Metabolism and Inflammation. Endocr. Rev. 2018, 39, 760–802. [Google Scholar] [CrossRef] [PubMed] [Green Version]







| Control | Paramylon | |
|---|---|---|
| Corn starch | 197.5 | 196.3 |
| Dextrinized corn starch | 132 | 132 |
| Casein | 200 | 200 |
| Sucrose | 100 | 100 |
| Soybean oil | 70 | 70 |
| Lard | 200 | 200 |
| Cellulose | 50 | - |
| Paramylon | - | 51.2 |
| AIN-93G mineral mixture | 35 | 35 |
| AIN-93 vitamin mixture | 10 | 10 |
| L-cystine | 3 | 3 |
| Choline bitartrate | 2.5 | 2.5 |
| t-butylhydroquinone | 0.014 | 0.014 |
| Control | Paramylon | |
|---|---|---|
| Initial weight (g) | 20.7 ± 0.2 | 20.7 ± 0.2 |
| Final weight (g) | 43.4 ± 0.7 | 42.3 ± 0.8 |
| Body weight gain(g/day) | 0.27 ± 0.01 | 0.25 ± 0.01 |
| Food intake (g/day) | 2.83 ± 0.03 | 2.85 ± 0.03 |
| Food efficiency ratio (%) * | 9.42 ± 0.19 | 8.93 ± 0.28 |
| Control | Paramylon | |
|---|---|---|
| Liver (g) | 1.47 ± 0.05 | 1.42 ± 0.05 |
| Cecum with digesta (g) | 0.27 ± 0.02 | 0.30 ± 0.03 |
| Retroperitoneal fat (g) | 0.98 ± 0.07 | 0.77 ± 0.09 * |
| Epididymal fat (g) | 2.49 ± 0.06 | 2.33 ± 0.06 * |
| Mesenteric fat (g) | 0.83 ± 0.07 | 0.73 ± 0.07 |
| Control | Paramylon | |
|---|---|---|
| Total cholesterol (mmol/L) | 5.06 ± 0.11 | 4.60 ± 0.16 * |
| LDL-cholesterol (mmol/L) | 0.27 ± 0.02 | 0.21 ± 0.01 * |
| HDL-cholesterol (mmol/L) | 2.17 ± 0.03 | 2.10 ± 0.04 |
| Triglyceride (mmol/L) | 0.76 ± 0.07 | 0.67 ± 0.04 |
| NEFA (μmol/L) | 536.9 ± 19.3 | 675.3 ± 26.2 |
| Ketone body (μmol/L) | 296.4 ± 44.6 | 330.6 ± 59.8 |
| Insulin (ng/mL) | 3.5 ± 0.6 | 2.2 ± 0.4 |
Publisher’s Note: MDPI stays neutral with regard to jurisdictional claims in published maps and institutional affiliations. |
© 2021 by the authors. Licensee MDPI, Basel, Switzerland. This article is an open access article distributed under the terms and conditions of the Creative Commons Attribution (CC BY) license (https://creativecommons.org/licenses/by/4.0/).
Share and Cite
Aoe, S.; Yamanaka, C.; Mio, K. Microarray Analysis of Paramylon, Isolated from Euglena Gracilis EOD-1, and Its Effects on Lipid Metabolism in the Ileum and Liver in Diet-Induced Obese Mice. Nutrients 2021, 13, 3406. https://doi.org/10.3390/nu13103406
Aoe S, Yamanaka C, Mio K. Microarray Analysis of Paramylon, Isolated from Euglena Gracilis EOD-1, and Its Effects on Lipid Metabolism in the Ileum and Liver in Diet-Induced Obese Mice. Nutrients. 2021; 13(10):3406. https://doi.org/10.3390/nu13103406
Chicago/Turabian StyleAoe, Seiichiro, Chiemi Yamanaka, and Kento Mio. 2021. "Microarray Analysis of Paramylon, Isolated from Euglena Gracilis EOD-1, and Its Effects on Lipid Metabolism in the Ileum and Liver in Diet-Induced Obese Mice" Nutrients 13, no. 10: 3406. https://doi.org/10.3390/nu13103406
APA StyleAoe, S., Yamanaka, C., & Mio, K. (2021). Microarray Analysis of Paramylon, Isolated from Euglena Gracilis EOD-1, and Its Effects on Lipid Metabolism in the Ileum and Liver in Diet-Induced Obese Mice. Nutrients, 13(10), 3406. https://doi.org/10.3390/nu13103406

