Isoflavone Supplementation Does Not Potentiate the Effect of Combined Exercise Training on Resting and Ambulatory Blood Pressure in Non-Obese Postmenopausal Women: A Randomized Double-Blind Controlled Trial-A Pilot Study
Abstract
1. Introduction
2. Materials and Methods
2.1. Participants
2.2. Outcomes
2.3. Evaluation of Food Intake and Anthropometry
2.4. Physical Activity and Exercise Intensity Evaluation
2.5. Resting Blood Pressure and Ambulatory Blood Pressure Monitoring
2.6. Blood Pressure Variability
2.7. Blood Collection and Analysis
2.8. Exercise Program
2.9. Statistical Analysis
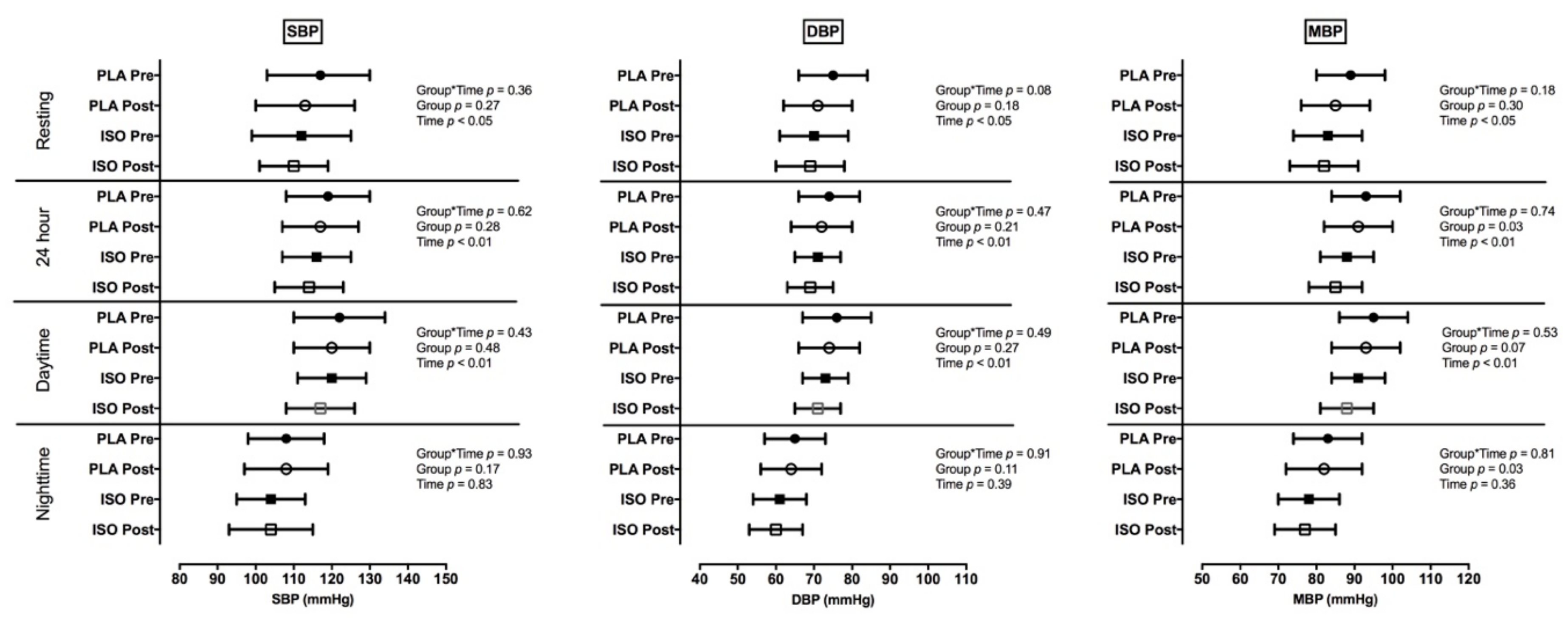
3. Results
4. Discussion
5. Conclusions
Supplementary Materials
Author Contributions
Funding
Acknowledgments
Conflicts of Interest
References
- Ward, K.; Deneris, A. An Update on Menopause Management. J. Midwifery Women’s Health 2018, 63, 168–177. [Google Scholar] [CrossRef]
- Martins, D.; Nelson, K.; Pan, D.; Tareen, N.; Norris, K. The effect of gender on age-related blood pressure changes and the prevalence of isolated systolic hypertension among older adults: Data from NHANES III. J. Gend. Specif. Med. 2001, 4, 10–13, 20. [Google Scholar] [PubMed]
- Coylewright, M.; Reckelhoff, J.F.; Ouyang, P. Menopause and Hypertension. Hypertension 2008, 51, 952–959. [Google Scholar] [CrossRef] [PubMed]
- Singh, G.M.; Danaei, G.; Pelizzari, P.M.; Lin, J.K.; Cowan, M.J.; Stevens, G.A.; Farzadfar, F.; Khang, Y.-H.; Lu, Y.; Riley, L.M.; et al. The Age Associations of Blood Pressure, Cholesterol, and Glucose. Circulation 2012, 125, 2204–2211. [Google Scholar] [CrossRef]
- IBGE. Pesquisa Nacional de Saúde 2013: Percepção do Estado de Saúde, Estilos de Vida e Doenças Crônicas: Brasil, Grandes Regiões e Unidades da Federação; IBGE: Rio de Janeiro, Brazil, 2014; ISBN 9788524043345. [Google Scholar]
- Bocchi, E.A.; Marcondes-Braga, F.G.; Bacal, F.; Ferraz, A.S.; Albuquerque, D.; Rodrigues, D.d.A.; Mesquita, E.T.; Vilas-Boas, F.; Cruz, F.; Ramires, F.; et al. Updating of the Brazilian guidelines for chronic heart failure-2012. Arq. Bras. Cardiol. 2012, 98, 1–33. [Google Scholar] [CrossRef]
- Lin, Y.-Y.; Lee, S.-D. Cardiovascular Benefits of Exercise Training in Postmenopausal Hypertension. Int. J. Mol. Sci. 2018, 19, 2523. [Google Scholar] [CrossRef]
- Sirotkin, A.V.; Harrath, A.H. Phytoestrogens and their effects. Eur. J. Pharmacol. 2014, 741, 230–236. [Google Scholar] [CrossRef]
- Chen, M.-N.; Lin, C.-C.; Liu, C.-F. Efficacy of phytoestrogens for menopausal symptoms: A meta-analysis and systematic review. Climacteric 2014, 18, 260–269. [Google Scholar] [CrossRef]
- Watanabe, S.; Uesugi, S.; Kikuchi, Y. Isoflavones for prevention of cancer, cardiovascular diseases, gynecological problems and possible immune potentiation. Biomed. Pharmacother. 2002, 56, 302–312. [Google Scholar] [CrossRef]
- Liu, X.; Li, S.; Chen, J.; Sun, K.; Wang, X.; Hui, R. Effect of soy isoflavones on blood pressure: A meta-analysis of randomized controlled trials. Nutr. Metab. Cardiovasc. Dis. 2012, 22, 463–470. [Google Scholar] [CrossRef]
- Mahn, K.; Borras, C.; Knock, G.A.; Taylor, P.; Khan, I.Y.; Sugden, D.; Poston, L.; Ward, J.P.T.; Sharpe, R.M.; Viña, J.; et al. Dietary soy isoflavone-induced increases in antioxidant and eNOS gene expression lead to improved endothelial function and reduced blood pressure in vivo. FASEB J. 2005, 19, 1755–1757. [Google Scholar] [CrossRef]
- Casonatto, J.; Goessler, K.F.; Cornelissen, V.A.; Cardoso, J.R.; Polito, M.D. The blood pressure-lowering effect of a single bout of resistance exercise: A systematic review and meta-analysis of randomised controlled trials. Eur. J. Prev. Cardiol. 2016, 23, 1700–1714. [Google Scholar] [CrossRef] [PubMed]
- Zawadzki, M.J.; Small, A.K.; Gerin, W. Ambulatory blood pressure variability. Blood Press. Monit. 2017, 22, 53–58. [Google Scholar] [CrossRef] [PubMed]
- Cornelissen, V.A.; Smart, N.A. Exercise Training for Blood Pressure: A Systematic Review and Meta-analysis. J. Am. Heart Assoc. 2013, 2, e004473. [Google Scholar] [CrossRef] [PubMed]
- Giolo, J.S.; Costa, J.G.; Da Cunha-Junior, J.P.; Pajuaba, A.C.A.M.; Taketomi, E.A.; De Souza, A.V.; Caixeta, D.C.; Peixoto, L.G.; De Oliveira, E.P.; Everman, S.; et al. The Effects of Isoflavone Supplementation Plus Combined Exercise on Lipid Levels, and Inflammatory and Oxidative Stress Markers in Postmenopausal Women. Nutrients 2018, 10, 424. [Google Scholar] [CrossRef]
- Wang, Q.; Wang, Q.; Cai, J.; Song, J.; Du, B.; Zhao, K.; Ma, Y.; Geng, B.; Zhang, Y.; Han, X.; et al. Effect of soybean protein on blood pressure in postmenopausal women: A meta-analysis of randomized controlled trials. Food Funct. 2017, 8, 2663–2671. [Google Scholar] [CrossRef]
- Honore, E.K.; Williams, J.K.; Anthony, M.S.; Clarkson, T.B. Soy isoflavones enhance coronary vascular reactivity in atherosclerotic female macaques. Fertil. Steril. 1997, 67, 148–154. [Google Scholar] [CrossRef]
- Blum, A.; Lang, N.; Vigder, F.; Israeli, P.; Gumanovsky, M.; Lupovitz, S.; Elgazi, A.; Peleg, A.; Ben-Ami, M. Effects of soy protein on endothelium-dependent vasodilatation and lipid profile in postmenopausal women with mild hypercholesterolemia. Clin. Invest. Med. 2003, 26, 20–26. [Google Scholar]
- Lee, J.; Cho, H.-S.; Kim, D.-Y.; Cho, J.-Y.; Chung, J.-S.; Lee, H.-K.; Seong, N.-H.; Kim, W.K. Combined effects of exercise and soy isoflavone diet on paraoxonase, nitric oxide and aortic apoptosis in ovariectomized rats. Appetite 2012, 58, 462–469. [Google Scholar] [CrossRef]
- Benedetti, T.R.B.; Antunes, P.D.C.; Rodriguez-Añez, C.R.; Mazo, G.Z.; Petroski, É.L. Reprodutibilidade e validade do Questionário Internacional de Atividade Física (IPAQ) em homens idosos. Rev. Bras. Med. Esporte 2007, 13, 11–16. [Google Scholar] [CrossRef]
- Puga, G.M.; Novais, I.D.P.; Katsanos, C.S.; Zanesco, A. Combined effects of aerobic exercise and l -arginine ingestion on blood pressure in normotensive postmenopausal women: A crossover study. Life Sci. 2016, 151, 323–329. [Google Scholar] [CrossRef] [PubMed]
- Wasserman, K. The Anaerobic Threshold Measurement to Evaluate Exercise Performance1,2. Am. Rev. Respir. Dis. 1984, 129, S35–S40. [Google Scholar] [CrossRef] [PubMed]
- Kraemer, W.J.; Ratamess, N.A.; Fry, A.; French, D.N.; Maud, P.J.; Foster, C. Strength training: Development and evaluation of methodology. In Physiological Assessment of Human Fitness; Maud, P., Foster, C., Eds.; Science Open: Champaign, IL, USA, 1995; Volume 2, pp. 115–138. [Google Scholar]
- Mena, L.; Pintos, S.; Queipo, N.V.; Aizpúrua, J.A.; Maestre, G.; Sulbarán, T. A reliable index for the prognostic significance of blood pressure variability. J. Hypertens. 2005, 23, 505–511. [Google Scholar] [CrossRef] [PubMed]
- Hansen, T.W.; Thijs, L.; Li, Y.; Boggia, J.; Kikuya, M.; Björklund-Bodegård, K.; Richart, T.; Ohkubo, T.; Jeppesen, J.; Torp-Pedersen, C.; et al. Prognostic Value of Reading-to-Reading Blood Pressure Variability Over 24 Hours in 8938 Subjects From 11 Populations. Hypertension 2010, 55, 1049–1057. [Google Scholar] [CrossRef] [PubMed]
- Moorcroft, M.J. Detection and determination of nitrate and nitrite: A review. Talanta 2001, 54, 785–803. [Google Scholar] [CrossRef]
- De Moraes, C.; Romero, C.E.M.; Farias-Silva, E.; Zanesco, A. Serum Leptin Level in Hypertensive Middle-Aged Obese Women. Endocrinologist 2005, 15, 219–221. [Google Scholar] [CrossRef]
- Zaros, P.R.; Pires, C.E.M.R.; Bacci, M.; Moraes, C.; Zanesco, A. Effect of 6-months of physical exercise on the nitrate/nitrite levels in hypertensive postmenopausal women. BMC Women’s Health 2009, 9, 17. [Google Scholar] [CrossRef]
- Jarrete, A.P.; Novais, I.P.; Nunes, H.A.; Puga, G.M.; Delbin, M.A.; Zanesco, A. Influence of aerobic exercise training on cardiovascular and endocrine-inflammatory biomarkers in hypertensive postmenopausal women. J. Clin. Transl. Endocrinol. 2014, 1, 108–114. [Google Scholar] [CrossRef]
- Hallal, P.C.; Victora, C.G.; Wells, J.C.K.; Lima, R.C. Physical Inactivity: Prevalence and Associated Variables in Brazilian Adults. Med. Sci. Sports Exerc. 2003, 35, 1894–1900. [Google Scholar] [CrossRef]
- Beaufrère, B.; Morio, B. Fat and protein redistribution with aging: Metabolic considerations. Eur. J. Clin. Nutr. 2000, 54, S48–S53. [Google Scholar] [CrossRef]
- Maesta, N.; Nahas, E.A.; Nahas-Neto, J.; Orsatti, F.L.; Fernandes, C.E.; Traiman, P.; Burini, R.C. Effects of soy protein and resistance exercise on body composition and blood lipids in postmenopausal women. Maturitas 2007, 56, 350–358. [Google Scholar] [CrossRef] [PubMed]
- Orsatti, F.; Nahas, E.P.; Nahas-Neto, J.; Orsatti, F.; Teixeira, A.S. Efeito do treinamento contrarresistência e isoflavona na densidade mineral óssea em. Braz. J. Kinanthropometry Hum. Perform. 2013, 15, 15. [Google Scholar] [CrossRef]
- Li, Y.; Hanssen, H.; Cordes, M.; Rossmeissl, A.; Endes, S.; Schmidt-Trucksäss, A. Aerobic, resistance and combined exercise training on arterial stiffness in normotensive and hypertensive adults: A review. Eur. J. Sport Sci. 2014, 15, 443–457. [Google Scholar] [CrossRef] [PubMed]
- Muntner, P. Response to Letter to editor “2017 ACC/AHA/AAPA/ABC/ACPM/AGS/APhA/ASH/ASPC/NMA/PCNA Guideline for the Prevention, Detection, Evaluation, and Management of High Blood Pressure in Adults”. J. Am. Soc. Hypertens. 2018, 12, 239. [Google Scholar] [CrossRef] [PubMed]
- Turner, J.R.; Viera, A.J.; Shimbo, D. Ambulatory Blood Pressure Monitoring in Clinical Practice: A Review. Am. J. Med. 2015, 128, 14–20. [Google Scholar] [CrossRef]
- Uusitalo, A.L.T.; Laitinen, T.; Väisänen, S.B.; Länsimies, E.; Rauramaa, R. Effects of endurance training on heart rate and blood pressure variability. Clin. Physiol. Funct. Imaging 2002, 22, 173–179. [Google Scholar] [CrossRef]
- Uusitalo, A.L.T.; Laitinen, T.; Väisänen, S.B.; Länsimies, E.; Rauramaa, R. Physical training and heart rate and blood pressure variability: A 5-year randomized trial. Am. J. Physiol. Circ. Physiol. 2004, 286, H1821–H1826. [Google Scholar] [CrossRef]
- Pagonas, N.; DiMeo, F.; Bauer, F.; Seibert, F.S.; Kiziler, F.; Zidek, W.; Westhoff, T.H. The impact of aerobic exercise on blood pressure variability. J. Hum. Hypertens. 2014, 28, 367–371. [Google Scholar] [CrossRef]
- Radaelli, A.; Coats, A.J.; Leuzzi, S.; Piepoli, M.; Meyer, T.E.; Calciati, A.; Finardi, G.; Bernardi, L.; Sleight, P. Physical training enhances sympathetic and parasympathetic control of heart rate and peripheral vessels in chronic heart failure. Clin. Sci. 1996, 91 (Suppl. S1), 92–94. [Google Scholar] [CrossRef][Green Version]
- Izdebska, E.; Cybulska, I.; Izdebskir, J.; Makowiecka-Ciesla, M.; Trzebski, A. Effects of moderate physical training on blood pressure variability and hemodynamic pattern in mildly hypertensive subjects. J. Physiol. Pharmacol. Off. J. Pol. Physiol. Soc. 2004, 55, 713–724. [Google Scholar]
- Marcus, Y.; Segev, E.; Shefer, G.; Sack, J.; Tal, B.; Yaron, M.; Carmeli, E.; Shefer, L.; Margaliot, M.; Limor, R.; et al. Multidisciplinary Treatment of the Metabolic Syndrome Lowers Blood Pressure Variability Independent of Blood Pressure Control. J. Clin. Hypertens. 2015, 18, 19–24. [Google Scholar] [CrossRef] [PubMed]
- Alex, C.; Lindgren, M.; Shapiro, P.A.; McKinley, P.S.; Brondolo, E.N.; Myers, M.M.; Zhao, Y.; Sloan, R.P. Aerobic Exercise and Strength Training Effects on Cardiovascular Sympathetic Function in Healthy Adults. Psychosom. Med. 2013, 75, 375–381. [Google Scholar] [CrossRef] [PubMed]
- Taylor, A.C.; McCartney, N.; Kamath, M.V.; Wiley, R.L. Isometric Training Lowers Resting Blood Pressure and Modulates Autonomic Control. Med. Sci. Sports Exerc. 2003, 35, 251–256. [Google Scholar] [CrossRef] [PubMed]
- Iwasaki, K.-I.; Zhang, R.; Zuckerman, J.H.; Levine, B.D. Dose-response relationship of the cardiovascular adaptation to endurance training in healthy adults: How much training for what benefit? J. Appl. Physiol. 2003, 95, 1575–1583. [Google Scholar] [CrossRef]
- Laterza, M.C.; De Matos, L.D.N.J.; Trombetta, I.C.; Braga, A.M.W.; Roveda, F.; Alves, M.J.N.N.; Krieger, E.M.; Negrão, C.E.; Rondon, M.U.P.B. Exercise Training Restores Baroreflex Sensitivity in Never-Treated Hypertensive Patients. Hypertension 2007, 49, 1298–1306. [Google Scholar] [CrossRef]
- Huang, A.; Sun, N.; Koller, A.; Kaley, G. 17β-Estradiol Restores Endothelial Nitric Oxide Release to Shear Stress in Arterioles of Male Hypertensive Rats. Circulation 2000, 101, 94–100. [Google Scholar] [CrossRef]
- Sponton, C.H.; Rezende, T.M.; Mallagrino, P.A.; Franco-Penteado, C.F.; Bezerra, M.A.C.; Zanesco, A. Women with TT genotype for eNOS gene are more responsive in lowering blood pressure in response to exercise. Eur. J. Cardiovasc. Prev. Rehabil. 2010, 17, 676–681. [Google Scholar] [CrossRef]
- Rezende, T.M.; Sponton, C.H.; Malagrino, P.A.; Bezerra, M.A.; Penteado, C.F.; Zanesco, A. Effect of exercise training on the cardiovascular and biochemical parameters in women with eNOS gene polymorphism. Arch. Physiol. Biochem. 2011, 117, 265–269. [Google Scholar] [CrossRef]
- Sponton, C.H.; Esposti, R.; Rodovalho, C.M.; Ferreira, M.J.; Jarrete, A.P.; Anaruma, C.P.; Bacci, M., Jr.; Zanesco, A. The presence of the NOS3 gene polymorphism for intron 4 mitigates the beneficial effects of exercise training on ambulatory blood pressure monitoring in adults. Am. J. Physiol. Circ. Physiol. 2014, 306, H1679–H1691. [Google Scholar] [CrossRef]
- Novais, I.P.; Jarrete, A.P.; Puga, G.M.; Araujo, H.; Delbin, M.A.; Zanesco, A. Effect of aerobic exercise training on cGMP levels and blood pressure in treated hypertensive postmenopausal women. Motriz Rev. Educ. Fís. 2017, 23, 1–6. [Google Scholar] [CrossRef]
- Cornelissen, V.A.; Buys, R.; Smart, N.A. Endurance exercise beneficially affects ambulatory blood pressure. J. Hypertens. 2013, 31, 639–648. [Google Scholar] [CrossRef] [PubMed]
- Williams, A.D.; Ahuja, K.D.; Almond, J.B.; Robertson, I.K.; Ball, M.J. Progressive resistance training might improve vascular function in older women but not in older men. J. Sci. Med. Sport 2013, 16, 76–81. [Google Scholar] [CrossRef] [PubMed]
- Force, U.P.S.T.; Grossman, D.C.; Bibbins-Domingo, K.; Curry, S.J.; Barry, M.J.; Davidson, K.W.; Doubeni, C.A.; Epling, J.W.; Kemper, A.R.; Krist, A.H.; et al. Behavioral Counseling to Promote a Healthful Diet and Physical Activity for Cardiovascular Disease Prevention in Adults Without Cardiovascular Risk Factors. JAMA 2017, 318, 167–174. [Google Scholar] [CrossRef]
- Ruehlmann, D.O.; Steinert, J.R.; Valverde, M.A.; Jacob, R.; Mann, G.E. Environmental estrogenic pollutants induce acute vascular relaxation by inhibiting L-type Ca 2+ channels in smooth muscle cells. FASEB J. 1998, 12, 613–619. [Google Scholar] [CrossRef]
- Walker, H.A.; Dean, T.S.; Sanders, T.A.B.; Jackson, G.; Ritter, J.M.; Chowienczyk, P.J. The Phytoestrogen Genistein Produces Acute Nitric Oxide–Dependent Dilation of Human Forearm Vasculature With Similar Potency to 17β-Estradiol. Circulation 2001, 103, 258–262. [Google Scholar] [CrossRef]
- Somani, Y.B.; Pawelczyk, J.A.; De Souza, M.J.; Kris-Etherton, P.M.; Proctor, D.N. Aging women and their endothelium: Probing the relative role of estrogen on vasodilator function. Am. J. Physiol. Circ. Physiol. 2019, 317, H395–H404. [Google Scholar] [CrossRef]
- Taku, K.; Lin, N.; Cai, D.; Hu, J.; Zhao, X.; Zhang, Y.; Wang, P.; Melby, M.K.; Hooper, L.; Kurzer, M.S.; et al. Effects of soy isoflavone extract supplements on blood pressure in adult humans: Systematic review and meta-analysis of randomized placebo-controlled trials. J. Hypertens. 2010, 28, 1971–1982. [Google Scholar] [CrossRef]
- Carmignani, L.O.; Pedro, A.O.; Da Costa-Paiva, L.H.S.; Pinto-Neto, A.M. The effect of soy dietary supplement and low dose of hormone therapy on main cardiovascular health biomarkers: A randomized controlled trial. Rev. Bras. Ginecol. Obstet. RBGO Gynecol. Obstet. 2014, 36, 251–258. [Google Scholar] [CrossRef][Green Version]
- Rosic, S.; Kendic, S.; Rosic, M. Phytoestrogens Impact on Menopausal Symptomatology. Mater. Socio Med. 2013, 25, 98–100. [Google Scholar] [CrossRef]
- Welty, F.K.; Lee, K.S.; Lew, N.S.; Zhou, J.-R. Effect of Soy Nuts on Blood Pressure and Lipid Levels in Hypertensive, Prehypertensive, and Normotensive Postmenopausal Women. Arch. Intern. Med. 2007, 167, 1060. [Google Scholar] [CrossRef]
- Nestel, P.J.; Yamashita, T.; Sasahara, T.; Pomeroy, S.; Dart, A.; Komesaroff, P.; Owen, A.; Abbey, M. Soy Isoflavones Improve Systemic Arterial Compliance but Not Plasma Lipids in Menopausal and Perimenopausal Women. Arter. Thromb. Vasc. Biol. 1997, 17, 3392–3398. [Google Scholar] [CrossRef] [PubMed]
- Williamson-Hughes, P.S.; Flickinger, B.D.; Messina, M.J.; Empie, M.W. Isoflavone supplements containing predominantly genistein reduce hot flash symptoms. Menopause 2006, 13, 831–839. [Google Scholar] [CrossRef] [PubMed]
- Setchell, K.D.R.; Clerici, C.; Lephart, E.D.; Cole, S.J.; Heenan, C.; Castellani, D.; Wolfe, B.E.; Nechemias-Zimmer, L.; Brown, N.M.; Lund, T.D.; et al. S-Equol, a potent ligand for estrogen receptor β, is the exclusive enantiomeric form of the soy isoflavone metabolite produced by human intestinal bacterial flora. Am. J. Clin. Nutr. 2005, 81, 1072–1079. [Google Scholar] [CrossRef]
- Clapauch, R.; Meirelles, R.M.d.R.; Julião, M.; Loureiro, C.K.C.; Giarodoli, P.B.; Pinheiro, S.A.; Harrigan, A.R.; Spritzer, P.M.; Pardini, D.P.; Weiss, R.V.; et al. Fitoestrogênios: Posicionamento do departamento de endocrinologia feminina da Sociedade Brasileira de Endocrinologia e Metabologia (SBEM). Arq. Bras. Endocrinol. Metab. 2002, 46, 679–695. [Google Scholar] [CrossRef]



| Clinical Characteristics | PLA (n = 14) | ISO (n = 17) | p |
|---|---|---|---|
| Age (years) | 53 ± 5 | 56 ± 5 | 0.08 |
| Time after menopause (years) | 4 ± 4 | 7 ± 5 | 0.14 |
| Body mass index (kg/m2) | 26.9 ± 0.7 | 26.2 ± 0.2 | 0.51 |
| Physical activity level-MET (min/week) | 954 ± 990 | 1268 ± 869 | 0.35 |
| Baseline Mean ± Standard Error | 10 Weeks Mean ± Standard Error | p (Time) | p (Groups) | p (Group*Time) | Change Mean (95% IC) | |
|---|---|---|---|---|---|---|
| Body Mass (kg) | ||||||
| PLA | 64.7 ± 2.1 | 65.7 ± 2.3 | 0.12 | 0.91 | 0.46 | 1.1 (−1.2 to 3.3) |
| ISO | 65.3 ± 2.0 | 65.7 ± 2.0 | 0.4 (−0.6 to 1.4) | |||
| Body Mass Index (kg/m2) | ||||||
| PLA | 26.9 ± 0.7 | 25.1 ± 1.9 | 0.28 | 0.54 | 0.66 | −1.80 (−6.53 to 2.92) |
| ISO | 26.2 ± 0.8 | 26.5 ± 0.8 | 0.24 (−0.21 to 0.69) | |||
| Total Lean Mass (kg) | ||||||
| PLA | 41.7 ± 1.0 | 42.6 ± 1.0 | 0.04 | 0.99 | 0.02 | 0.9 (0.5 to 1.6) |
| ISO | 44.2 ± 0.9 | 42.2 ± 0.8 | −0.6 (−0.5 to 0.4) | |||
| Fat Mass (kg) | ||||||
| PLA | 23.8 ± 1.3 | 23.0 ± 1.4 | 0.22 | 0.89 | 0.13 | −0.8 (−1.7 to 0.1) |
| ISO | 23.6 ± 1.5 | 23.7 ± 1.6 | 0.1 (−0.6 to 0.8) | |||
| Waist Circumference (cm) | ||||||
| PLA | 92.8 ± 1.9 | 91.9 ± 2.0 | 0.04 | 0.96 | 0.49 | 0.9 (−2.9 to 0.9) |
| ISO | 93.2 ± 2.3 | 91.2 ± 1.8 | −1.9 (−4.0 to 0.6) | |||
| 1RM leg press (kg) | ||||||
| PLA | 164.9 ± 8.0 | 249.7 ± 10.1 | <0.01 | 0.30 | 0.54 | 84.8 (69.5 to 100.1) |
| ISO | 154.8 ± 10.3 | 232.6 ± 12.0 | 78.5 (65.4 to 91.5) | |||
| 1RM bench press (kg) | ||||||
| PLA | 27.1 ± 1.0 | 37.2 ± 1.0 | <0.01 | 0.01 | 0.06 | 10.1 (8.2 to 12.0) |
| ISO | 25.0 ± 1.2 | 32.2 ± 1.3 | 7.2 (4.8 to 9.5) | |||
| 1RM lat pull down (kg) | ||||||
| PLA | 31.3 ± 1.7 | 41.2 ± 2.5 | <0.01 | 0.30 | 0.28 | 9.9 (6.0 to 13.7) |
| ISO | 30.1 ± 0.9 | 37.7 ± 1.5 | 7.4 (5.3 to 9.6) | |||
| 1RM peck deck (kg) | ||||||
| PLA | 20.0 ± 1.3 | 31.1 ± 1.4 | <0.01 | 0.26 | 0.20 | 11.1 (9.0 to 13.2) |
| ISO | 19.3 ± 1.0 | 28.5 ± 1.1 | 9.2 (7.2 to 11.3) | |||
| 1RM seated row (kg) | ||||||
| PLA | 57.7 ± 2.1 | 74.5 ± 1.5 | <0.01 | 0.41 | 0.36 | 16.8 (13.7 to 19.9) |
| ISO | 56.5 ± 2.8 | 71.1 ± 2.1 | 14.6 (11.0 to 18.2) | |||
| Blood Pressure Variability | Baseline Mean ± SD | 10 Weeks Mean ± SD | p (Time) | p (Groups) | p (Group*Time) | Change Mean (95% IC) |
|---|---|---|---|---|---|---|
| ARV SBP (mmHg/min) | ||||||
| PLA | 9.42 ± 0.47 | 9.45 ± 0.59 | 0.68 | 0.06 | 0.63 | 0.03 (−0.90 to 0.95) |
| ISO | 10.96 ± 0.62 | 10.63 ± 0.60 | −0.32 (−1.40 to 0.76) | |||
| ARV DBP (mmHg/min) | ||||||
| PLA | 6.67 ± 0.32 | 6.90 ± 0.31 | 0.83 | 0.07 | 0.24 | 0.23 (−0.35 to 0.81) |
| ISO | 7.77 ± 0.36 | 7.44 ± 0.45 | −0.33 (−1.10 to 0.40) | |||
| ARV MBP (mmHg/min) | ||||||
| PLA | 6.46 ± 0.28 | 6.63 ± 0.29 | 0.50 | 0.07 | 0.94 | 0.17 (−0.36 to 0.70) |
| ISO | 7.24 ± 0.32 | 7.38 ± 0.44 | 0.14 (−0.57 to 0.85) | |||
| SD24h SBP (mmHg) | ||||||
| PLA | 12.50 ± 0.98 | 12.03 ± 0.76 | 0.61 | 0.21 | 0.74 | −0.47 (−2.14 to 1.19) |
| ISO | 13.62 ± 0.64 | 13.53 ± 0.86 | −0.10 (−1.53 to 1.33) | |||
| SD24h DBP (mmHg) | ||||||
| PLA | 9.56 ± 0.46 | 9.70 ± 0.48 | 0.97 | 0.26 | 0.69 | 0.14 (−0.91 to 1.18) |
| ISO | 10.44 ± 0.53 | 10.28 ± 0.64 | −0.16 (−1.23 to 0.90) | |||
| SD24h MBP (mmHg) | ||||||
| PLA | 9.61 ± 0.63 | 9.50 ± 0.54 | 0.96 | 0.24 | 0.83 | −1.12 (−1.42 to 1.18) |
| ISO | 10.31 ± 0.48 | 10.39 ± 0.62 | 0.07 (−1.06 to 1.21) | |||
| SDdn SBP (mmHg) | ||||||
| PLA | 10.52 ± 0.66 | 10.32 ± 0.58 | 0.84 | 0.18 | 0.73 | −0.21 (−1.32 to 0.90) |
| ISO | 11.41 ± 0.54 | 11.47 ± 0.62 | 0.06 (−0.96 to 1.08) | |||
| SDdn DBP (mmHg) | ||||||
| PLA | 7.69 ± 0.35 | 8.33 ± 0.47 | 0.41 | 0.14 | 0.29 | 0.63 (−0.31 to 1.58) |
| ISO | 8.79 ± 0.42 | 8.71 ± 0.46 | −0.08 (−1.01 to 0.84) | |||
| SDdn MBP (mmHg) | ||||||
| PLA | 7.70 ± 0.40 | 8.00 ± 0.44 | 0.42 | 0.15 | 0.96 | 0.29 (−0.71 to 1.30) |
| ISO | 8.38 ± 0.33 | 8.63 ± 0.45 | 0.26 (−0.61 to 1.12) | |||
Publisher’s Note: MDPI stays neutral with regard to jurisdictional claims in published maps and institutional affiliations. |
© 2020 by the authors. Licensee MDPI, Basel, Switzerland. This article is an open access article distributed under the terms and conditions of the Creative Commons Attribution (CC BY) license (http://creativecommons.org/licenses/by/4.0/).
Share and Cite
Dechichi, J.G.C.; Mariano, I.M.; Giolo, J.S.; Batista, J.P.; Amaral, A.L.; Ribeiro, P.A.B.; de Oliveira, E.P.; Puga, G.M. Isoflavone Supplementation Does Not Potentiate the Effect of Combined Exercise Training on Resting and Ambulatory Blood Pressure in Non-Obese Postmenopausal Women: A Randomized Double-Blind Controlled Trial-A Pilot Study. Nutrients 2020, 12, 3495. https://doi.org/10.3390/nu12113495
Dechichi JGC, Mariano IM, Giolo JS, Batista JP, Amaral AL, Ribeiro PAB, de Oliveira EP, Puga GM. Isoflavone Supplementation Does Not Potentiate the Effect of Combined Exercise Training on Resting and Ambulatory Blood Pressure in Non-Obese Postmenopausal Women: A Randomized Double-Blind Controlled Trial-A Pilot Study. Nutrients. 2020; 12(11):3495. https://doi.org/10.3390/nu12113495
Chicago/Turabian StyleDechichi, Juliene G. C., Igor M. Mariano, Jéssica S. Giolo, Jaqueline P. Batista, Ana Luiza Amaral, Paula A. B. Ribeiro, Erick P. de Oliveira, and Guilherme M. Puga. 2020. "Isoflavone Supplementation Does Not Potentiate the Effect of Combined Exercise Training on Resting and Ambulatory Blood Pressure in Non-Obese Postmenopausal Women: A Randomized Double-Blind Controlled Trial-A Pilot Study" Nutrients 12, no. 11: 3495. https://doi.org/10.3390/nu12113495
APA StyleDechichi, J. G. C., Mariano, I. M., Giolo, J. S., Batista, J. P., Amaral, A. L., Ribeiro, P. A. B., de Oliveira, E. P., & Puga, G. M. (2020). Isoflavone Supplementation Does Not Potentiate the Effect of Combined Exercise Training on Resting and Ambulatory Blood Pressure in Non-Obese Postmenopausal Women: A Randomized Double-Blind Controlled Trial-A Pilot Study. Nutrients, 12(11), 3495. https://doi.org/10.3390/nu12113495

