Effects of Caffeine Supplementation on Power Performance in a Flywheel Device: A Randomised, Double-Blind Cross-Over Study
Abstract
1. Introduction
2. Materials and Methods
2.1. Participants
2.2. Study Design
2.3. Nutritional Intervention and Diet Control
2.4. Lower Limb Power Test
2.5. Statistical Analysis
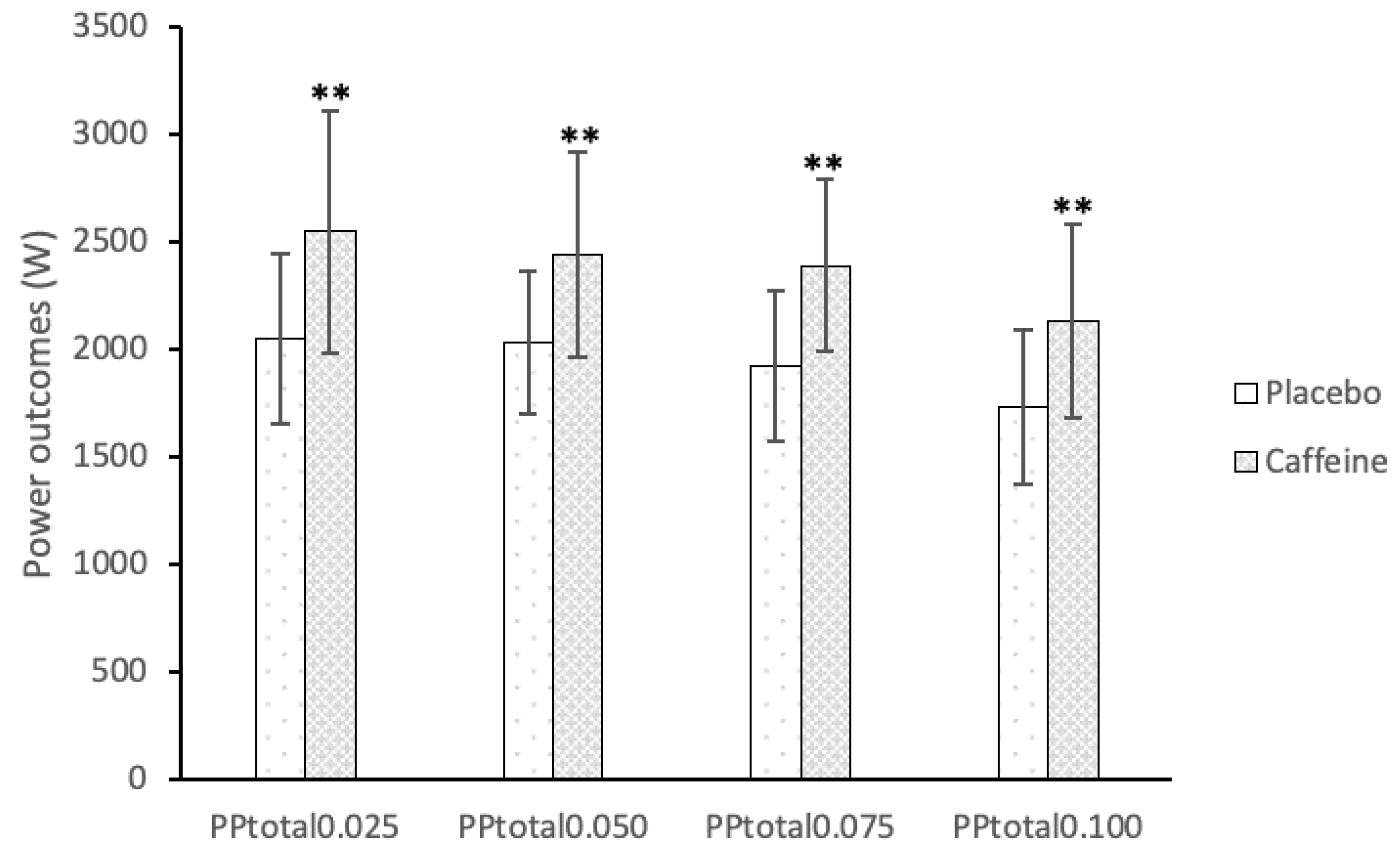
3. Results
4. Discussion
5. Conclusions
Author Contributions
Funding
Acknowledgments
Conflicts of Interest
References
- Schelling, X.; Torres-Ronda, L. An integrative approach to strength and neuromuscular power training for basketball. Strength Cond. J. 2016, 38, 72–80. [Google Scholar] [CrossRef]
- Stone, M.H.; Moir, G.; Glaister, M.; Sanders, R. How much strength is necessary? Phys. Ther. Sport 2002, 3, 88–96. [Google Scholar] [CrossRef]
- Cormie, P.; McGuigan, M.R.; Newton, R.U. Developing maximal neuromuscular power: Part 2 training considerations for improving maximal power production. Sport. Med. 2011, 41, 125–146. [Google Scholar] [CrossRef] [PubMed]
- Swinton, P.A.; Lloyd, R.; Keogh, J.W.L.; Agouris, I.; Stewart, A.D. Regression models of sprint, vertical jump, and change of direction performance. J. Strength Cond. Res. 2014, 28, 1839–1848. [Google Scholar] [CrossRef] [PubMed]
- Faude, O.; Steffen, A.; Kellmann, M.; Meyer, T. The effect of short-term interval training during the competitive season on physical fitness and signs of fatigue: A crossover trial in high-level youth football players. Int. J. Sports Physiol. Perform. 2014, 9, 936–944. [Google Scholar] [CrossRef] [PubMed]
- Gentil, P.; Fisher, J.; Steele, J. A review of the acute effects and long-term adaptations of single- and multi-joint exercises during resistance training. Sport. Med. 2017, 47, 843–855. [Google Scholar] [CrossRef] [PubMed]
- Norrbrand, L.; Fluckey, J.D.; Pozzo, M.; Tesch, P.A. Resistance training using eccentric overload induces early adaptations in skeletal muscle size. Eur. J. Appl. Physiol. 2008, 102, 271–281. [Google Scholar] [CrossRef] [PubMed]
- Hollander, D.B.; Kraemer, R.R.; Kilpatrick, M.W.; Ramadan, Z.G.; Reeves, G.V.; Francois, M.; Hebert, E.P.; Tryniecki, J.L. Maximal eccentric and concentric strength discrepancies between young men and women for dynamic resistance exercise. J. Strength Cond. Res. 2007, 21, 34–40. [Google Scholar] [CrossRef] [PubMed]
- Douglas, J.; Pearson, S.; Ross, A.; McGuigan, M. Eccentric exercise: Physiological characteristics and acute responses. Sports Med. 2017, 47, 663–675. [Google Scholar] [CrossRef] [PubMed]
- Schoenfeld, B.; Grgic, J. Eccentric overload training: A viable to enhance muscle hypertrophy? Strength Cond. J. 2017, 40, 78–81. [Google Scholar] [CrossRef]
- Walker, S.; Blazevich, A.J.; Haff, G.G.; Tufano, J.J.; Newton, R.U.; Häkkinen, K. Greater strength gains after training with accentuated eccentric than traditional isoinertial loads in already strength-trained men. Front. Physiol. 2016, 7, 149. [Google Scholar] [CrossRef] [PubMed]
- Tesch, P.A.; Fernandez-Gonzalo, R.; Lundberg, T.R. Clinical applications of iso-inertial, eccentric-overload (YoYoTM) resistance exercise. Front. Physiol. 2017, 8, 241. [Google Scholar] [CrossRef] [PubMed]
- Chaabene, H.; Prieske, O.; Negra, Y.; Granacher, U. Change of direction speed: Toward a strength training approach with accentuated eccentric muscle actions. Sports Med. 2018, 48, 1773–1779. [Google Scholar] [CrossRef] [PubMed]
- Gonzalo-Skok, O.; Tous-Fajardo, J.; Valero-Campo, C.; Berzosa, C.; Bataller, A.V.; Arjol-Serrano, J.L.; Moras, G.; Mendez-Villanueva, A. Eccentric-overload training in team-sport functional performance: Constant bilateral vertical versus variable unilateral multidirectional movements. Int. J. Sports Physiol. Perform. 2017, 12, 951–958. [Google Scholar] [CrossRef] [PubMed]
- Askling, C.; Karlsson, J.; Thorstensson, A. Hamstring injury occurrence in elite soccer players after preseason strength training with eccentric overload. Scand. J. Med. Sci. Sports 2003, 13, 244–250. [Google Scholar] [CrossRef] [PubMed]
- Koncic, M.Z.; Tomczyk, M. New insights into dietary supplements used in sport: Active substances, pharmacological and side effects. Curr. Drug Targets 2013, 14, 1079–1092. [Google Scholar] [CrossRef] [PubMed]
- Maughan, R.J.; Burke, L.M.; Dvorak, J.; Larson-Meyer, D.E.; Peeling, P.; Phillips, S.M.; Rawson, E.S.; Walsh, N.P.; Garthe, I.; Geyer, H.; et al. IOC Consensus Statement: Dietary supplements and the high-performance athlete. Int. J. Sport Nutr. Exerc. Metab. 2018, 28, 104–125. [Google Scholar] [CrossRef] [PubMed]
- Grgic, J.; Trexler, E.T.; Lazinica, B.; Pedisic, Z. Effects of caffeine intake on muscle strength and power: A systematic review and meta-analysis. J. Int. Soc. Sports Nutr. 2018, 15, 11. [Google Scholar] [CrossRef] [PubMed]
- Grgic, J.; Pickering, C. The effects of caffeine ingestion on isokinetic muscular strength: A meta-analysis. J. Sci. Med. Sport 2018. [Google Scholar] [CrossRef]
- Grgic, J.; Mikulic, P.; Schoenfeld, B.J.; Bishop, D.J.; Pedisic, Z. The influence of caffeine supplementation on resistance exercise: A review. Sport. Med. 2018. [Google Scholar] [CrossRef]
- Del Coso, J.; Hammouti, N.; Estevez, E.; Mora-Rodriguez, R. Reproducibility of two electrical stimulation techniques to assess neuromuscular fatigue. Eur. J. Sport Sci. 2011, 11, 93–103. [Google Scholar]
- Mohr, M.; Nielsen, J.J.; Bangsbo, J. Caffeine intake improves intense intermittent exercise performance and reduces muscle interstitial potassium accumulation. J. Appl. Physiol. 2011, 111, 1372–1379. [Google Scholar] [PubMed]
- Weber, A.; Herz, R. The relationship between caffeine contracture of intact muscle and the effect of caffeine on reticulum. J. Gen. Physiol. 1968, 52, 750–759. [Google Scholar] [CrossRef] [PubMed]
- Neyroud, D.; Cheng, A.J.; Donnelly, C.; Bourdillon, N.; Gassner, A.-L.; Geiser, L.; Rudaz, S.; Kayser, B.; Westerblad, H.; Place, N. Toxic doses of caffeine are needed to increase skeletal muscle contractility. Am. J. Physiol. Physiol. 2018. [Google Scholar] [CrossRef]
- Del Coso, J.; Salinero, J.J.; Gonzalez-Millan, C.; Abian-Vicen, J.; Perez-Gonzalez, B. Dose response effects of a caffeine-containing energy drink on muscle performance: A repeated measures design. J. Int. Soc. Sports Nutr. 2012, 9, 21. [Google Scholar] [CrossRef] [PubMed]
- Mora-Rodriguez, R.; Garcia Pallares, J.; Lopez-Samanes, A.; Ortega, J.F.; Fernandez-Elias, V.E. Caffeine ingestion reverses the circadian rhythm effects on neuromuscular performance in highly resistance-trained men. PLoS ONE 2012, 7, e33807. [Google Scholar]
- Mora-Rodríguez, R.; Pallarés, J.G.; López-Gullón, J.M.; López-Samanes, Á.; Fernández-Elías, V.E.; Ortega, J.F. Improvements on neuromuscular performance with caffeine ingestion depend on the time-of-day. J. Sci. Med. Sport 2015, 18, 338–342. [Google Scholar] [CrossRef] [PubMed]
- Pallarés, J.G.; Fernández-Elías, V.E.; Ortega, J.F.; Muñoz, G.; Muñoz-Guerra, J.; Mora-Rodríguez, R. Neuromuscular responses to incremental caffeine doses: Performance and side effects. Med. Sci. Sports Exerc. 2013, 45, 2184–2192. [Google Scholar] [CrossRef] [PubMed]
- Diaz-Lara, F.J.; Del Coso, J.; García, J.M.; Portillo, L.J.; Areces, F.; Abián-Vicén, J. Caffeine improves muscular performance in elite Brazilian Jiu-jitsu athletes. Eur. J. Sport Sci. 2016, 16, 1079–1086. [Google Scholar] [CrossRef]
- Shohet, K.L.; Landrum, R.E. Caffeine consumption questionnaire: A standardized measure for caffeine consumption in undergraduate students. Psychol. Rep. 2001, 89, 521–526. [Google Scholar] [CrossRef]
- Núñez, F.J.; Santalla, A.; Carrasquila, I.; Asian, J.A.; Reina, J.I.; Suarez-Arrones, L.J. The effects of unilateral and bilateral eccentric overload training on hypertrophy, muscle power and COD performance, and its determinants, in team sport players. PLoS ONE 2018, 13, e0193841. [Google Scholar] [CrossRef] [PubMed]
- Bollinger, L.M.; Brantley, J.T.; Tarlton, J.K.; Baker, P.A.; Seay, R.F.; Abel, M.G. Construct validity, test-retest reliability, and repeatability of performance variables using a flywheel resistance training device. J. Strength Cond. Res. 2018. [Google Scholar] [CrossRef]
- Sabido, R.; Hernández-Davó, J.L.; Botella, J.; Navarro, A.; Tous-Fajardo, J. Effects of adding a weekly eccentric-overload training session on strength and athletic performance in team-handball players. Eur. J. Sport Sci. 2017, 17, 530–538. [Google Scholar] [CrossRef] [PubMed]
- Cohen, J. Statistical Power Analysis for the Behavioral Sciences, 2nd ed.; Routledge: Abingdon-on-Thames, UK, 1988. [Google Scholar]
- Núñez, F.J.; Suarez-Arrones, L.J.; Cater, P.; Mendez-Villanueva, A. The high-pull exercise: A comparison between a versapulley flywheel device and the free weight. Int. J. Sports Physiol. Perform. 2017, 12, 527–532. [Google Scholar] [CrossRef] [PubMed]
- Norrbrand, L.; Tous-Fajardo, J.; Vargas, R.; Tesch, P.A. Quadriceps muscle use in the flywheel and barbell squat. Aviat. Space. Environ. Med. 2011, 82, 13–19. [Google Scholar] [CrossRef] [PubMed]
- Abo-Salem, O.M.; Hayallah, A.M.; Bilkei-Gorzo, A.; Filipek, B.; Zimmer, A.; Muller, C.E. Antinociceptive effects of novel A2B adenosine receptor antagonists. J. Pharmacol. Exp. Ther. 2004, 308, 358–366. [Google Scholar] [CrossRef]
- Beaven, C.M.; Hopkins, W.G.; Hansen, K.T.; Wood, M.R.; Cronin, J.B.; Lowe, T.E. Dose effect of caffeine on testosterone and cortisol responses to resistance exercise. Int. J. Sport Nutr. Exerc. Metab. 2008, 18, 131–141. [Google Scholar] [CrossRef]
- Duncan, M.J.; Oxford, S.W. The effect of caffeine ingestion on mood state and bench press performance to failure. J. Strength Cond. Res. 2011, 25, 178–185. [Google Scholar] [CrossRef]
- Ali, A.; O’Donnell, J.; Von Hurst, P.; Foskett, A.; Holland, S.; Starck, C.; Rutherfurd-Markwick, K. Caffeine ingestion enhances perceptual responses during intermittent exercise in female team-game players. J. Sports Sci. 2016, 34, 330–341. [Google Scholar] [CrossRef]
- Noakes, T.D.; St Clair Gibson, A.; Lambert, E.V. From catastrophe to complexity: A novel model of integrative central neural regulation of effort and fatigue during exercise in humans. Br. J. Sports Med. 2004, 38, 511–514. [Google Scholar] [CrossRef]
- Svenningsson, P.; Nomikos, G.G.; Ongini, E.; Fredholm, B.B. Antagonism of adenosine A2A receptors underlies the behavioural activating effect of caffeine and is associated with reduced expression of messenger RNA for NGFI-A and NGFI-B in caudate-putamen and nucleus accumbens. Neuroscience 1997, 79, 753–764. [Google Scholar] [CrossRef]
- Anselme, F.; Collomp, K.; Mercier, B.; Ahmaidi, S.; Prefaut, C. Caffeine increases maximal anaerobic power and blood lactate concentration. Eur. J. Appl. Physiol. Occup. Physiol. 1992, 65, 188–191. [Google Scholar] [CrossRef] [PubMed]
- Garrett, W.E. Muscle strain injuries. Am. J. Sports Med. 1996, 24, S2–S8. [Google Scholar] [CrossRef] [PubMed]
- Saunders, B.; de Oliveira, L.F.; da Silva, R.P.; de Salles Painelli, V.; Gonçalves, L.S.; Yamaguchi, G.; Mutti, T.; Maciel, E.; Roschel, H.; Artioli, G.G.; et al. Placebo in sports nutrition: A proof-of-principle study involving caffeine supplementation. Scand. J. Med. Sci. Sports 2017, 27, 1240–1247. [Google Scholar] [CrossRef] [PubMed]




| Variable | Placebo (M ± SD) | Caffeine (M ± SD) | Mean Differences (%) | ES | p |
|---|---|---|---|---|---|
| MPCON0.025 | 629.57 ± 155.79 | 796.63 ± 170.76 | 26.53 | 1.07 | 0.00 |
| MPECC0.025 | 556.64 ± 141.52 | 694.92 ± 172.72 | 24.84 | 0.98 | 0.00 |
| MPCON0.050 | 586.31 ± 139.49 | 733.01 ± 146.09 | 25.02 | 1.05 | 0.00 |
| MPECC0.050 | 570.30 ± 162.39 | 709.72 ± 136.92 | 24.45 | 0.86 | 0.00 |
| MPCON0.075 | 542.05 ± 120.64 | 665.00 ± 131.92 | 22.68 | 1.02 | 0.00 |
| MPECC0.075 | 568.06 ± 153.69 | 698.87 ± 134.11 | 23.03 | 0.85 | 0.00 |
| MPCON0.100 | 471.15 ± 127.45 | 586.91 ± 132.33 | 24.57 | 0.91 | 0.00 |
| MPECC0.100 | 522.01 ± 138.75 | 640.80 ± 157.15 | 22.76 | 0.86 | 0.00 |
| Variable | Placebo (M ± SD) | Caffeine (M ± SD) | Mean Differences (%) | ES | p |
|---|---|---|---|---|---|
| PPCON0.025 | 1067.67 ± 216.94 | 1325.57 ± 269.82 | 24.16 | 1.19 | 0.00 |
| PPECC0.025 | 985.86 ± 185.63 | 1222.48 ± 310.17 | 24.00 | 1.17 | 0.00 |
| PPCON0.050 | 1014.37 ± 178.03 | 1238.73 ± 245.63 | 22.12 | 1.26 | 0.00 |
| PPECC0.050 | 1016.29 ± 174.29 | 1207.22 ± 262.78 | 18.79 | 1.10 | 0.00 |
| PPCON0.075 | 927.37 ± 154.70 | 1144.14 ± 206.49 | 23.37 | 1.40 | 0.00 |
| PPECC0.075 | 996.74 ± 213.39 | 1245.71 ± 210.09 | 24.98 | 1.17 | 0.00 |
| PPCON0.100 | 817.55 ± 170.71 | 1012.69 ± 210.84 | 23.87 | 1.14 | 0.00 |
| PPECC0.100 | 918.18 ± 194.27 | 1118.17 ± 245.91 | 21.78 | 1.03 | 0.00 |
© 2019 by the authors. Licensee MDPI, Basel, Switzerland. This article is an open access article distributed under the terms and conditions of the Creative Commons Attribution (CC BY) license (http://creativecommons.org/licenses/by/4.0/).
Share and Cite
Castillo, D.; Domínguez, R.; Rodríguez-Fernández, A.; Raya-González, J. Effects of Caffeine Supplementation on Power Performance in a Flywheel Device: A Randomised, Double-Blind Cross-Over Study. Nutrients 2019, 11, 255. https://doi.org/10.3390/nu11020255
Castillo D, Domínguez R, Rodríguez-Fernández A, Raya-González J. Effects of Caffeine Supplementation on Power Performance in a Flywheel Device: A Randomised, Double-Blind Cross-Over Study. Nutrients. 2019; 11(2):255. https://doi.org/10.3390/nu11020255
Chicago/Turabian StyleCastillo, Daniel, Raúl Domínguez, Alejandro Rodríguez-Fernández, and Javier Raya-González. 2019. "Effects of Caffeine Supplementation on Power Performance in a Flywheel Device: A Randomised, Double-Blind Cross-Over Study" Nutrients 11, no. 2: 255. https://doi.org/10.3390/nu11020255
APA StyleCastillo, D., Domínguez, R., Rodríguez-Fernández, A., & Raya-González, J. (2019). Effects of Caffeine Supplementation on Power Performance in a Flywheel Device: A Randomised, Double-Blind Cross-Over Study. Nutrients, 11(2), 255. https://doi.org/10.3390/nu11020255

