Environmental Concerns of Deforestation in Myanmar 2001–2010
Abstract
:1. Introduction
2. Study Area
3. Data and Methods
3.1. Data Selection
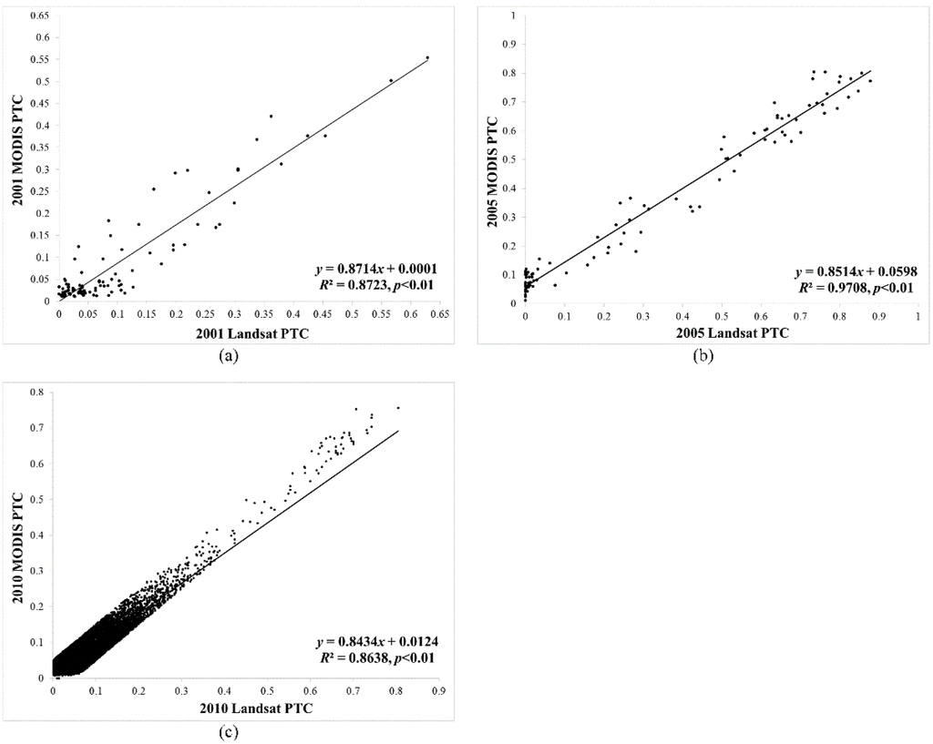
3.2. MODIS PTC Data Verification
3.3 Image Processing and Data Analysis
4. Results
4.1. Deforestation and Carbon Flux in Myanmar
4.2. Spatio-Temporal Changes in PTC, Forest Carbon Stock, ET, and LST in Myanmar
4.3. The Relationships between Changes in PTC and Changes in Carbon Stock, ET, and LST
5. Discussion
5.1. Overview of Changes in Forest Cover
5.2. Forest Carbon Stock and Carbon Flux
5.3. The Impacts of Deforestation on Regional Environments
5.4. The Implications of the Research Findings on Myanmar Forest Policy
5.5. Uncertainties, Errors, and Accuracies
6. Conclusions
Author Contributions
Conflicts of Interest
References
- Bryant, R.L. The Political Ecology of Forestry in Burma, 1824–1994; C. Hurst & Co.: London, UK, 1997. [Google Scholar]
- Myers, N.; Mittermeier, R.A.; Mittermeier, C.G.; Da Fonseca, G.A.B.; Kent, J. Biodiversity hotspots for conservation priorities. Nature 2000, 403, 853–858. [Google Scholar] [CrossRef] [PubMed]
- Seekins, D.M. Historical Dictionary of Burma (Myanmar), Historical Dictionaries of Asia, Oceania, and the Middle East, No. 59; The Scarecrow Press, Inc.: Lanham, MD, USA, 2006. [Google Scholar]
- Htun, K. Asia-Pacific Forestry Sector Outlook Study II: Myanmar Forestry Outlook Study; Working Paper No. ASFSOS II/WP/2009/07; Food and Agriculture Organization of the United Nations, Regional Office for Asia and the Pacific: Bangkok, Thailand, 2009. [Google Scholar]
- Peace Child Charitable Trust. Rescue Mission: Planet Earth: A children’s Edition of Agenda 21 in Association with the United Nations; Kingfisher Books: London, UK, 1994. [Google Scholar]
- Leimgruber, P.; Kelly, D.S.; Steininger, M.K.; Brunner, J.; Müller, T.; Songer, M. Forest cover change patterns in Myanmar (Burma) 1990–2000. Environ. Conserv. 2005, 32, 356–364. [Google Scholar] [CrossRef]
- Songer, M.; Aung, M.; Senior, B.; DeFries, R.; Leimgruber, P. Spatial and temporal deforestation dynamics in protected and unprotected dry forests: a case study from Myanmar (Burma). Biodivers. Conserv. 2009, 18, 1001–1018. [Google Scholar] [CrossRef]
- Webb, E.L.; Jachowski, N.R.A.; Phelps, J.; Friess, D.A.; Than, M.M.; Ziegler, A.D. Deforestation in the Ayeyarwady Delta and the conservation implications of an internationally-engaged Myanmar. Glob. Environ. Chang. 2014, 24, 321–333. [Google Scholar] [CrossRef]
- FAO. Global Forest Resources Assessment 2000 (FRA 2000); Food and Agriculture Organizations of the United Nations: Rome, Italy, 2000. [Google Scholar]
- FAO. Global Forest Resources Assessment 2010 Main Report (FRA 2010); Food and Agriculture Organizations of the United Nations: Rome, Italy, 2010. [Google Scholar]
- Renner, S.C.; Rappole, J.H.; Leimgruber, P.; Kelly, D.S.; Shwe, N.M.; Aung, T.; Aung, M. Land cover in the northern forest complex of Myanmar: New insights for conservation. Oryx 2007, 41, 27–37. [Google Scholar] [CrossRef]
- Htun, N.Z.; Mizoue, N.; Kajisa, T.; Yoshida, S. Deforestation and forest degradation as measures of Popa Mountain Park (Myanmar) effectiveness. Environ. Conserv. 2010, 36, 218–224. [Google Scholar] [CrossRef]
- Mon, M.S.; Mizoue, N.; Htun, N.Z.; Kajisa, T.; Yoshida, S. Factors affecting deforestation and forest degradation in selectively logged production forest: A case study in Myanmar. Forest Ecol. Manag. 2012, 267, 190–198. [Google Scholar] [CrossRef]
- The World Bank. World Development Indicators: Population, Total. Available online: http://data.worldbank.org/indicator/SP.POP.TOTL (accessed on 9 June 2016).
- Hansen, M.C.; DeFries, R.S.; Townshend, J.R.G.; Sohlberg, R.; Dimiceli, C.; Carroll, M. Towards an operational MODIS continuous field of percent tree cover algorithm: Examples using AVHRR and MODIS data. Remote Sens. Environ. 2002, 83, 303–319. [Google Scholar] [CrossRef]
- Hansen, M.C.; DeFries, R.S.; Townshend, J.R.G.; Carroll, M.; Dimiceli, C.; Sohlberg, R.A. Global percent tree cover at a spatial resolution of 500 meters: First results of the MODIS vegetation continuous fields algorithm. Earth Interact. 2003, 7, 1–15. [Google Scholar] [CrossRef]
- Hansen, M.C.; Townshend, J.R.G.; DeFries, R.S.; Carroll, M. Estimation of tree cover using MODIS data at global, continental and regional/local scales. Int. J. Remote Sens. 2005, 26, 4359–4380. [Google Scholar] [CrossRef]
- Anderson, J.R.; Hardy, E.E.; Roach, J.T.; Witmer, R.E. A Land Use and Land Cover Classification System for Use with Remote Sensor Data; U.S. Geol. Survey Prof. Paper 964; US Government Printing Office: Washington, DC, USA, 1976; p. 28.
- Brown, S. Estimating Biomass and Biomass Change of Tropical Forests: A Primer; FAO Forestry Paper 134; Food and Agriculture Organization of the United Nations: Rome, Italy, 1986. [Google Scholar]
- Birdsey, R.A. Carbon Storage and Accumulation in United States Forest Ecosystems; Gen. Tech. Rep. WO-59; Department of Agriculture, Forest Service: Washington, DC, USA, 1992; p. 51.
- Stibig, H.-J.; Beuchle, R. Forest Cover Map of Continental Southeast Asia at 1:4,000,000: Derived from SPOT4-VEGETATION Satellite Images; TREES Publications Series D: Thematic outputs No. 4; Publications Office of the European Union: Luxembourg, 2003. [Google Scholar]
- MOECAF. Facts about Environmental Conservation and Forestry in Myanmar; Ministry of Environmental Conservation and Forestry: Myanmar, 2014.
- Giri, C.; Zhu, Z.; Tieszen, L.L.; Singh, A.; Gillette, S.; Kelmelis, A. Mangrove forest distributions and dynamics (1975–2005) of the tsunami-affected region of Asia. J. Biogeogr. 2008, 35, 519–528. [Google Scholar] [CrossRef]
- Linden, O.; Jernelov, A. The mangrove swamps: An ecosystem in danger. Ambio 1980, 9, 81–88. [Google Scholar]
- Nurkin, B. Degradation of mangrove forest in South Sulawesi, Indonesia. Hydrobiologia 1994, 285, 1115–1138. [Google Scholar] [CrossRef]
- Ong, J.E. Mangroves and aquaculture in Malaysia. Ambio 1982, 11, 252–257. [Google Scholar]
- Oo, N.W. Present state and problems of mangrove management in Myanmar. Trees 2002, 16, 218–223. [Google Scholar] [CrossRef]
- Ciais, P.; Tans, P.P.; White, J.W.C.; Trolier, M.; Francey, R.J.; Berry, J.A.; Randall, D.R.; Sellers, P.J.; Collatz, J.G.; Schimel, D.S. Partitioning of ocean and land uptake of CO2 as inferred by δ13C measurements from the NOAA Climate Monitoring and Diagnostics Laboratory Global Air Sampling Network. J. Geophys. Res. 1995, 100, 5051–5070. [Google Scholar] [CrossRef]
- FAO. Global Forest Resources Assessment 2010 Country Report, Myanmar; Food and Agriculture Organizations of the United Nations: Rome, Italy, 2010. [Google Scholar]
- Shukla, J.; Nobre, C.; Sellers, P. Amazon deforestation and climate change. Science 1990, 247, 1322–1325. [Google Scholar] [CrossRef] [PubMed]
- Sud, Y.C.; Walker, G.K.; Kim, J.H.; Liston, G.E.; Sellers, P.J.; Lau, W.K.M. Biophysical consequences of a tropical deforestation scenario: A GCM simulation study. J. Clim. 1996, 9, 3225–3247. [Google Scholar] [CrossRef]
- Bastable, H.G.; Shuttleworth, W.J.; Dallarosa, R.L.G.; Fisch, G.; Nobre, C.A. Observations of climate, albedo, and surface radiation over cleared and undisturbed Amazonia forest. Int. J. Climatol. 1993, 13, 783–796. [Google Scholar] [CrossRef]
- Wright, I.R.; Gash, J.H.C.; Da Rocha, H.R.; Shuttleworth, W.J.; Nobre, C.A.; Maitelli, G.T.; Zamparoni, C.A.G.P.; Carvalho, P.R.A. Dry season micrometeorology of central Amazonian ranchland. Q. J. R. Meteorol. Soc. 1992, 118, 1083–1099. [Google Scholar] [CrossRef]
- Zhao, M.; Running, S.W.; Nemani, R.R. Sensitivity of moderate resolution imaging spectroradiometer (modis) terrestrial primary production to the accuracy of meteorological reanalyses. J. Geogr. Res. Biogeosci. 2006. [Google Scholar] [CrossRef]
- Wan, Z.; Zhang, Y.; Zhang, Q.; Li, Z.-L. Validation of the land-surface temperature products retrieved from terra moderate resolution imaging spectroradiometer data. Remote Sens. Environ. 2002, 83, 163–180. [Google Scholar] [CrossRef]
- Mu, Q.; Zhao, M.; Running, S.W. Improvements to a MODIS global terrestrial evapotranspiration algorithm. Remote Sens. Environ. 2011, 111, 1781–1800. [Google Scholar] [CrossRef]






| Forest Type | Area in 2001 (km2) | Area in 2010 (km2) | Net Forest Loss (km2) | Total Deforestation Rate (%) | Mean Annual Deforestation Rate (%) |
|---|---|---|---|---|---|
| Evergreen Mountain Forest | 36,093.03 | 35,414.29 | 678.74 | 1.88% | 0.21% |
| Lowland Evergreen Forest | 96,037.42 | 91,879.92 | 4157.5 | 4.33% | 0.48% |
| Deciduous Forest | 30,066.5 | 23,942.75 | 6,123.75 | 20.37% | 2.26% |
| Mangrove Forest | 702.21 | 406.55 | 295.66 | 42.10% | 4.68% |
| Wood and Shrubland | 128,455.62 | 118,532.52 | 9,923.1 | 7.72% | 0.86% |
| Total | 291,354.78 | 270,176.03 | 21,178.75 | 7.27% | 0.81% |
| Forest Type | Carbon Stock in 2001 (Ton C) | Carbon Stock in 2010 (Ton C) | Net Carbon Release (Ton C) | Mean Annual Carbon Release Rate (%) |
|---|---|---|---|---|
| Evergreen Mountain Forest | 46,892,712.0 | 46,627,672.0 | 265,040.0 | 0.06% |
| Lowland Evergreen Forest | 180,260,192.0 | 178,603,312.0 | 1,656,880.0 | 0.10% |
| Deciduous Forest | 83,088,648.0 | 73,319,720.0 | 9,768,928.0 | 1.31% |
| Mangrove Forest | 1,652,841.4 | 1,238,000.8 | 414,840.6 | 2.79% |
| Wood and Shrubland | 296,473,152.0 | 288,514,816.0 | 7,958,336.0 | 0.30% |
| Total | 608,367,545.4 | 588,303,520.8 | 20,064,024.6 | 0.37% |
| Administrative Division | Net Forest Loss * (km2) | Mean Annual Deforestation Rate *,† (%) | Net Carbon Flux ** (ton C) | Mean Annual Carbon Flux Rate **,† (%) |
|---|---|---|---|---|
| Ayeyarwady | 1033.91 | 1 2.62% | 2,532,392.7 | 1 2.38% |
| Bago | 1445.11 | 6 1.71% | 1,904,679.7 | 7 1.04% |
| Chin | 497.83 | 12 0.28% | −56,710.3 | 11 −0.01% |
| Kachin | 1334.58 | 13 0.21% | −1,743,902.3 | 14 −0.17% |
| Kayah | 364.14 | 8 1.03% | 1,107,977.7 | 6 1.21% |
| Kayin | 90.07 | 14 0.07% | −201,314.3 | 13 −0.08% |
| Magway | 986.40 | 5 1.80% | 2,084,877.7 | 4 1.52% |
| Mandalay | 612.38 | 7 1.60% | 502,216.7 | 8 0.56% |
| Mon | −60.80 | 15 −0.22% | −333,936.3 | 15 −0.51% |
| Naypyidaw Union Territory | 279.63 | 4 1.84% | 435,452.2 | 5 1.35% |
| Rakhine | 3,914.19 | 2 2.57% | 6,782,569.7 | 2 2.19% |
| Sagaing | 3249.79 | 10 0.83% | 2,675,825.7 | 9 0.33% |
| Shan | 5647.70 | 9 0.93% | 4,235,585.7 | 10 0.29% |
| Tanintharyi | 1642.83 | 11 0.73% | −124,330.3 | 12 −0.03% |
| Yangon | 141.00 | 3 2.00% | 262,640.8 | 3 1.58% |
| Total | 21,178.74 | 0.81% | 20,064,024.6 | 0.37% |
© 2016 by the authors; licensee MDPI, Basel, Switzerland. This article is an open access article distributed under the terms and conditions of the Creative Commons Attribution (CC-BY) license (http://creativecommons.org/licenses/by/4.0/).
Share and Cite
Wang, C.; Myint, S.W. Environmental Concerns of Deforestation in Myanmar 2001–2010. Remote Sens. 2016, 8, 728. https://doi.org/10.3390/rs8090728
Wang C, Myint SW. Environmental Concerns of Deforestation in Myanmar 2001–2010. Remote Sensing. 2016; 8(9):728. https://doi.org/10.3390/rs8090728
Chicago/Turabian StyleWang, Chuyuan, and Soe W. Myint. 2016. "Environmental Concerns of Deforestation in Myanmar 2001–2010" Remote Sensing 8, no. 9: 728. https://doi.org/10.3390/rs8090728
APA StyleWang, C., & Myint, S. W. (2016). Environmental Concerns of Deforestation in Myanmar 2001–2010. Remote Sensing, 8(9), 728. https://doi.org/10.3390/rs8090728
