Reviewing ALOS PALSAR Backscatter Observations for Stem Volume Retrieval in Swedish Forest
Abstract
:1. Introduction
2. Test Sites

| Test Site | Forest Stands | Stand Size [ha] (min/mean/max) | Stem Volume [m3/ha] (min/mean/max) |
|---|---|---|---|
| Remningstorp | 56 | 1/3/11 | 35/295/617 |
| Krycklan | 1131 | <1/4/64 | 0/134/525 |

3. ALOS PALSAR Dataset
| Acquisition Mode | Time Frame | Number of PALSAR Datasets | |
|---|---|---|---|
| Remningstorp | Krycklan | ||
| FBD34 | 2006–2010 | 18 | 24 |
| FBD41 | 2006 | 3 | 3 |
| FBD50 | 2006 | 2 | 0 |
| FBS21 | 2006 | 2 | 2 |
| FBS34 | 2006–2011 | 22 | 26 |
| FBS41 | 2006 | 3 | 6 |
| PLR21 | 2006–2009 | 13 | 1 |
| PLR23 | 2009 | 1 | 1 |
| Polarization/Look Angle | Time Frame | Number of PALSAR Images | |
|---|---|---|---|
| Remningstorp | Krycklan | ||
| HH/21.5° | 2006–2009 | 15 | 3 |
| HV/21.5° | 2006–2009 | 13 | 1 |
| VH/21.5° | 2006–2009 | 13 | 1 |
| VV/21.5° | 2006–2009 | 13 | 1 |
| HH/23.1° | 2009 | 1 | 1 |
| HV/23.1° | 2009 | 1 | 1 |
| VH/23.1° | 2009 | 1 | 1 |
| VV/23.1° | 2009 | 1 | 1 |
| HH/34.3° | 2006–2011 | 40 | 50 |
| HV/34.3° | 2006–2010 | 18 | 24 |
| HH/41. 5° | 2006 | 6 | 9 |
| HV/41.5° | 2006 | 3 | 3 |
| HH/50. 8° | 2006 | 2 | 0 |
| HV/50.8° | 2006 | 2 | 0 |
| Total | -- | 129 | 96 |
3.1. Environmental Conditions at Image Acquisition
| Polarization/Look Angle | Number of Images per Major Environmental Condition | |||||
|---|---|---|---|---|---|---|
| Frozen | Unfrozen | Freeze/Thaw | ||||
| Re | Kr | Re | Kr | Re | Kr | |
| HH/21.5° | -- | 1 | 14 | 1 | 1 | 1 |
| HV/21.5° | -- | 1 | 12 | -- | 1 | -- |
| VH/21.5° | -- | 1 | 12 | -- | 1 | -- |
| VV/21.5° | -- | 1 | 12 | -- | 1 | -- |
| HH/23.1° | -- | -- | 1 | 1 | -- | -- |
| HV/23.1° | -- | -- | 1 | 1 | -- | -- |
| VH/23.1° | -- | -- | 1 | 1 | -- | -- |
| VV/23.1° | -- | -- | 1 | 1 | -- | -- |
| HH/34.3° | 8 | 16 | 27 | 27 | 5 | 7 |
| HV/34.3° | -- | -- | 18 | 23 | -- | 1 |
| HH/41.5° | -- | -- | 6 | 8 | -- | 1 |
| HV/41.5° | -- | -- | 3 | 3 | -- | -- |
| HH/50.8° | -- | -- | 2 | -- | -- | -- |
| HV/50.8° | -- | -- | 2 | -- | -- | -- |
| Number of images | 8 | 20 | 112 | 66 | 9 | 10 |
| Percentage | 6% | 21% | 87% | 69% | 7% | 10% |
3.2. Processing of the PALSAR Images
4. Stem Volume Retrieval Methodology
5. Results
5.1. Relationship between SAR Backscatter and Stem Volume
| Look Angle | Polarization | Environmental Condition | Correlation Coefficient | ||||
|---|---|---|---|---|---|---|---|
| Min | Q1 | Q2 | Q3 | Max | |||
| 21.5° | HH | Unfrozen dry | 0.14 | 0.17 | 0.25 | 0.32 | 0.39 |
| Unfrozen wet | 0.12 | 0.14 | 0.15 | 0.16 | 0.24 | ||
| HV | Unfrozen dry | 0.08 | 0.18 | 0.30 | 0.43 | 0.48 | |
| Unfrozen wet | 0.12 | 0.13 | 0.24 | 0.28 | 0.36 | ||
| VV | Unfrozen dry | 0.04 | 0.06 | 0.10 | 0.23 | 0.28 | |
| Unfrozen wet | −0.19 | −0.07 | 0.03 | 0.12 | 0.14 | ||
| 34.3° | HH | Unfrozen dry | 0.41 | 0.47 | 0.52 | 0.55 | 0.58 |
| −0.21 | 0.16 | 0.32 | 0.37 | 0.41 | |||
| Unfrozen moist | -- | -- | 0.46 | -- | -- | ||
| −0.06 | -- | 0.24 | -- | 0.27 | |||
| Unfrozen wet | 0.33 | 0.44 | 0.48 | 0.51 | 0.55 | ||
| −0.21 | 0.01 | 0.18 | 0.25 | 0.43 | |||
| Freeze | 0.34 | -- | 0.49 | -- | 0.50 | ||
| 0.09 | -- | 0.42 | -- | 0.63 | |||
| Frozen | 0.14 | 0.18 | 0.26 | 0.33 | 0.43 | ||
| 0.46 | 0.52 | 0.66 | 0.73 | 0.77 | |||
| Thaw | 0.36 | -- | 0.50 | -- | 0.56 | ||
| -- | -- | 0.76 | -- | -- | |||
| HV | Unfrozen dry | 0.50 | 0.56 | 0.62 | 0.65 | 0.66 | |
| −0.23 | −0.16 | −0.01 | 0.15 | 0.19 | |||
| -- | -- | 0.01 | -- | -- | |||
| Unfrozen wet | 0.48 | 0.48 | 0.55 | 0.61 | 0.62 | ||
| −0.26 | −0.21 | −0.09 | 0.02 | 0.18 | |||
| 41.5° | HH | Unfrozen dry | 0.50 | -- | 0.53 | -- | 0.60 |
| 0.36 | -- | 0.36 | -- | 0.36 | |||

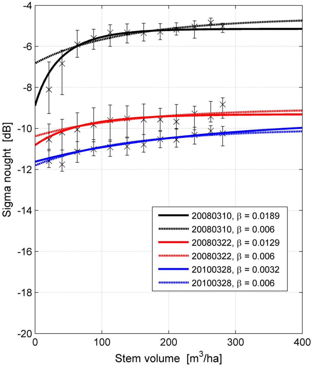
5.2. Forest Backscatter Modeling




5.3. Retrieval of Stem Volume


| Look Angle | Polarization | Year | Images | Multi-Temporal Retrieval Statistics | Single-Image Rel. RMSE | ||||
|---|---|---|---|---|---|---|---|---|---|
| RMSE [m3/ha] | Rel. RMSE [%] | R2 | Bias [m3/ha] | Best [%] | Worst [%] | ||||
| 21.5° (FBS) | HH | 2006 | 2 | 105.2 | 79.2 | 0.14 | 4.9 | 80.6 | 89.8 |
| 2006 | 2 | 217.6 | 68.5 | 0.09 | −80.3 | 72.8 | 77.0 | ||
| 21.5° (PLR) | HH | 2006 | 9 | 198.6 | 62.2 | 0.09 | −1.1 | 70.0 | 110.5 |
| 2007 | 3 | 190.7 | 57.2 | 0.09 | −51.3 | 60.3 | 89.6 | ||
| HV | 2006 | 9 | 173.1 | 54.2 | 0.12 | −29 | 67.7 | 105.6 | |
| 2007 | 3 | 175.6 | 52.6 | 0.17 | 14.2 | 65.4 | 76.7 | ||
| VV | 2006 | 9 | 213.4 | 66.9 | 0.02 | −35.7 | 76.0 | 110.6 | |
| 2007 | 3 | 217.8 | 65.3 | 0.03 | −48.6 | 77.8 | 108.2 | ||
| HH, HV, VH, VV | 2006 | 36 | 176.3 | 55.2 | 0.09 | −22.5 | 67.7 | 110.6 | |
| 2007 | 12 | 168.4 | 50.5 | 0.14 | −16.2 | 59.2 | 108.2 | ||
| 34.3° | HH | 2006 | 8 | 72.6 | 54.6 | 0.34 | 16.3 | 60.4 | 87.1 |
| 2007 | 15 | 68.5 | 51.5 | 0.32 | 8.4 | 58.0 | 90.7 | ||
| 2008 | 14 | 68.1 | 51.2 | 0.33 | 7.4 | 55.4 | 102.2 | ||
| 2009 | 8 | 72.3 | 54.4 | 0.28 | 7.4 | 64.8 | 102.3 | ||
| 2010 | 11 | 78.7 | 59.2 | 0.25 | 11.9 | 68.1 | 107.4 | ||
| 2006 | 5 | 201.1 | 62.8 | 0.16 | −0.7 | 62.7 | 92.2 | ||
| 2007 | 11 | 154.3 | 46.4 | 0.34 | −19.6 | 40.5 | 106.9 | ||
| 2008 | 10 | 184.0 | 53.7 | 0.19 | −35.9 | 45.3 | 100.9 | ||
| 2009 | 7 | 121.6 | 35.1 | 0.37 | −42.1 | 37.8 | 95.4 | ||
| 2010 | 6 | 168.1 | 47.2 | 0.18 | −54.6 | 49.4 | 97.6 | ||
| HV | 2007 | 7 | 60.3 | 45.7 | 0.44 | 7.9 | 46.4 | 56.1 | |
| 2008 | 7 | 58.4 | 44.0 | 0.46 | 9.2 | 48.3 | 52.4 | ||
| 2009 | 4 | 68.5 | 51.6 | 0.35 | 12.8 | 55.9 | 59.7 | ||
| 2010 | 7 | 77.7 | 58.5 | 0.29 | 15.4 | 57.6 | 69.9 | ||
| 2007 | 6 | 299.0 | 90.7 | 0.02 | −43.7 | 96.5 | 117.2 | ||
| 2008 | 5 | 268.8 | 78.7 | 0.01 | −47.2 | 80.4 | 109.0 | ||
| 2009 | 3 | 331.1 | 96.1 | 0.00 | −27.6 | 96.1 | 96.1 | ||
| 2010 | 4 | 235.7 | 66.2 | 0.00 | −60.4 | 80.7 | 103.5 | ||
| 34.3° | HH, HV (FBD) | 2007 | 14 | 60.7 | 45.7 | 0.42 | 7.8 | 46.4 | 67.5 |
| 2008 | 14 | 58.8 | 44.2 | 0.44 | 8.5 | 48.3 | 76.7 | ||
| 2009 | 8 | 68.6 | 51.6 | 0.34 | 12.0 | 55.9 | 70.4 | ||
| 2010 | 14 | 76.1 | 57.3 | 0.29 | 14.6 | 57.6 | 81.5 | ||
| 2007 | 12 | 237.5 | 72.1 | 0.01 | −54.1 | 62.7 | 117.2 | ||
| 2008 | 10 | 225.5 | 66.1 | 0.03 | −53.7 | 61.1 | 109.0 | ||
| 2009 | 6 | 234.5 | 68.1 | 0.01 | −67.1 | 88.9 | 96.2 | ||
| 2010 | 8 | 234.4 | 65.8 | 0.01 | −78.5 | 73.9 | 103.5 | ||
| 34.3° | HH (FBS) | 2007 | 5 | 77.9 | 58.6 | 0.22 | 13.7 | 66.7 | 90.7 |
| 2008 | 10 | 74.3 | 55.9 | 0.28 | 10.1 | 60.4 | 102.2 | ||
| 2009 | 3 | 93.1 | 70.1 | 0.18 | −6.1 | 71.7 | 101.0 | ||
| 2010 | 4 | 94.7 | 71.3 | 0.16 | 4.8 | 76.6 | 102.3 | ||
| 2011 | 2 | 115.6 | 87.0 | 0.08 | 0.4 | 87.5 | 107.4 | ||
| 2007 | 4 | 128.1 | 39.2 | 0.55 | 21.1 | 40.5 | 92.2 | ||
| 2008 | 7 | 164.4 | 48.2 | 0.32 | −8.7 | 45.3 | 100.8 | ||
| 2009 | 4 | 171.1 | 48.4 | 0.24 | −57.0 | 37.8 | 75.8 | ||
| 2010 | 3 | 158.8 | 44.6 | 0.31 | −21.0 | 49.4 | 54.7 | ||
| HH, HV (FBS+FBD) | 2006 | 8 | 72.6 | 54.6 | 0.34 | 16.3 | 60.4 | 87.1 | |
| 2007 | 22 | 61.1 | 46.0 | 0.41 | 8.2 | 46.4 | 90.7 | ||
| 2008 | 21 | 59.1 | 44.5 | 0.43 | 8.4 | 48.3 | 102.2 | ||
| 2009 | 12 | 66.0 | 49.7 | 0.35 | 10.4 | 55.9 | 102.3 | ||
| 2010 | 18 | 74.1 | 55.7 | 0.29 | 13.9 | 57.6 | 107.4 | ||
| 2006 | 5 | 201.1 | 62.8 | 0.16 | −0.7 | 62.7 | 92.2 | ||
| 2007 | 17 | 166.8 | 50.2 | 0.21 | −23.6 | 40.5 | 117.2 | ||
| 2008 | 15 | 188.2 | 55.0 | 0.13 | −38.6 | 45.3 | 109.0 | ||
| 2009 | 10 | 120.7 | 35.2 | 0.35 | −40.9 | 37.8 | 96.2 | ||
| 2010 | 10 | 171.7 | 48.2 | 0.13 | −56.0 | 49.4 | 103.5 | ||
| 41.5° | HH | 2006 | 9 | 70.9 | 53.4 | 0.32 | 8.3 | 54.2 | 73.0 |
| 2006 | 6 | 238.9 | 74.7 | 0.10 | −24.8 | 74.9 | 86.0 | ||
| HV | 2006 | 3 | 72.8 | 54.8 | 0.34 | 12.0 | 55.0 | 62.9 | |
| 2006 | 3 | 280.8 | 88.3 | 0.01 | 69.9 | 91.2 | 95.1 | ||
| HH, HV | 2006 | 12 | 67.5 | 50.8 | 0.35 | 9.3 | 54.2 | 73.0 | |
| 2006 | 9 | 221.0 | 69.2 | 0.06 | 19.7 | 74.9 | 95.1 | ||
| 50.8° | HH | 2006 | 2 | 227.2 | 68.9 | 0.21 | 54.5 | 70.8 | 85.8 |
| HH, HV | 2006 | 4 | 213.1 | 64.6 | 0.23 | 71.2 | 70.6 | 85.8 | |




6. Discussion
7. Conclusions
Acknowledgments
Author Contributions
Conflicts of Interest
References
- Rosenqvist, Å.; Shimada, M.; Ito, N.; Watanabe, M. ALOS PALSAR: A pathfinder mission for global-scale monitoring of the environment. IEEE Trans. Geosci. Remote Sens. 2007, 45, 3307–3316. [Google Scholar]
- Imhoff, M.L. Radar backscatter and biomass saturation: Ramifications for global biomass inventory. IEEE Trans. Geosci. Remote Sens. 1995, 33, 511–518. [Google Scholar] [CrossRef]
- Ranson, K.J.; Sun, G. Mapping biomass of a northern forest using multifrequency SAR data. IEEE Trans. Geosci. Remote Sens. 1994, 32, 388–396. [Google Scholar] [CrossRef]
- Le Toan, T.; Beaudoin, A.; Riom, J.; Guyon, D. Relating forest biomass to SAR data. IEEE Trans. Geosci. Remote Sens. 1992, 30, 403–411. [Google Scholar]
- Santoro, M.; Eriksson, L.; Askne, J.; Schmullius, C. Assessment of stand-wise stem volume retrieval in boreal forest from JERS-1 L-band SAR backscatter. Int. J. Remote Sens. 2006, 27, 3425–3454. [Google Scholar] [CrossRef]
- Rauste, Y. Multi-temporal JERS SAR data in boreal forest biomass mapping. Remote Sens. Environ. 2005, 97, 263–275. [Google Scholar] [CrossRef]
- Eriksson, L.E.B.; Sandberg, G.; Ulander, L.M.H.; Smith-Jonforsen, G.; Hallberg, B.; Folkesson, K.; Fransson, J.E.S.; Magnusson, M.; Olsson, H. ALOS PALSAR calibration and validation results from Sweden. In Proceedings of the IGARSS 2007, Barcelona, Spain, 23–27 July 2007.
- The ALOS Kyoto & Carbon Initiative, Science Plan (v.3.1). Available online: http://www.eorc.jaxa.jp/ALOS/en/kyoto/KC-Science-Plan_v3.1.pdf (accessed on 10 April 2015).
- Andersen, H.-E.; Strunk, J.; Temesgen, H.; Atwood, D.; Winterberger, K. Using multilevel remote sensing and ground data to estimate forest biomass resources in remote regions: A case study in the boreal forests of interior Alaska. Can. J. Remote Sens. 2011, 37, 596–611. [Google Scholar] [CrossRef]
- Santoro, M.; Askne, J.; Smith, G.; Fransson, J.E.S. Stem volume retrieval in boreal forests from ERS-1/2 interferometry. Remote Sens. Environ. 2002, 81, 19–35. [Google Scholar] [CrossRef]
- Kurvonen, L.; Pulliainen, J.; Hallikainen, M. Retrieval of biomass in boreal forests from multitemporal ERS-1 and JERS-1 SAR images. IEEE Trans. Geosci. Remote Sens. 1999, 37, 198–205. [Google Scholar] [CrossRef]
- Cartus, O.; Santoro, M.; Kellndorfer, J. Mapping forest aboveground biomass in the Northeastern United States with ALOS PALSAR dual-polarization L-band. Remote Sens. Environ. 2012, 124, 466–478. [Google Scholar] [CrossRef]
- Askne, J.; Santoro, M.; Smith, G.; Fransson, J.E.S. Multitemporal repeat-pass SAR interferometry of boreal forests. IEEE Trans. Geosci. Remote Sens. 2003, 41, 1540–1550. [Google Scholar] [CrossRef]
- Santoro, M.; Beer, C.; Cartus, O.; Schmullius, C.; Shvidenko, A.; McCallum, I.; Wegmüller, U.; Wiesmann, A. Retrieval of growing stock volume in boreal forest using hyper-temporal series of Envisat ASAR ScanSAR backscatter measurements. Remote Sens. Environ. 2011, 115, 490–507. [Google Scholar] [CrossRef]
- Avtar, R.; Suzuki, R.; Takeuchi, W.; Sawada, H. PALSAR 50 m mosaic data based national level biomass estimation in Cambodia for implementation of REDD+ mechanism. PLoS ONE 2013, 8. [Google Scholar] [CrossRef] [PubMed]
- Ni, W.; Sun, G.; Guo, Z.; Zhang, Z.; He, Y.; Huang, W. Retrieval of forest biomass from ALOS PALSAR data using a lookup table method. IEEE J. Sel. Top. Appl. Earth Obs. 2013, 6, 875–885. [Google Scholar] [CrossRef]
- Mermoz, S.; le Toan, T.; Villard, L.; Réjou-Méchain, M.; Seifert-Granzin, J. Biomass assessment in the Cameroon savanna using ALOS PALSAR data. Remote Sens. Environ. 2014, 155, 109–119. [Google Scholar] [CrossRef]
- Mitchard, E.T.A.; Saatchi, S.S.; Woodhouse, I.H.; Nangendo, G.; Ribeiro, N.S.; Williams, M.; Ryan, C.M.; Lewis, S.L.; Feldpausch, T.R.; Meir, P. Using satellite radar backscatter to predict above-ground woody biomass: A consistent relationship across four different African landscapes. Geophys. Res. Lett. 2009, 36. [Google Scholar] [CrossRef]
- Peregon, A.; Yamagata, Y. The use of ALOS/PALSAR backscatter to estimate above-ground forest biomass: A case study in Western Siberia. Remote Sens. Environ. 2013, 137, 139–146. [Google Scholar] [CrossRef]
- Robinson, C.; Saatchi, S.; Neumann, M.; Gillespie, T. Impacts of spatial variability on aboveground biomass estimation from L-band radar in a temperate forest. Remote Sens. 2013, 5, 1001–1023. [Google Scholar] [CrossRef]
- Morel, A.C.; Saatchi, S.S.; Malhi, Y.; Berry, N.J.; Banin, L.; Burslem, D.; Nilus, R.; Ong, R.C. Estimating aboveground biomass in forest and oil palm plantation in Sabah, Malaysian Borneo using ALOS PALSAR data. For. Ecol. Manag. 2011, 262, 1786–1798. [Google Scholar] [CrossRef]
- Carreiras, J.M.B.; Melo, J.B.; Vasconcelos, M.J. Estimating the above-ground biomass in miombo savanna woodlands (Mozambique, East Africa) using L-band synthetic aperture radar data. Remote Sens. 2013, 5, 1524–1548. [Google Scholar] [CrossRef]
- Antropov, O.; Ahola, H.; Rauste, Y.; Hame, T. Stand-level stem volume of boreal forests from spaceborne SAR imagery at L-band. IEEE J. Sel. Top. Appl. Earth Obs. 2013, 6, 135–144. [Google Scholar]
- Häme, T.; Salli, A.; Lahti, K. Estimation of carbon storage in boreal forests using remote sensing data, in Pilot study. In The Finnish Research Program on Climate Change, Progress Report; Kanninen, M., Anttila, P., Eds.; Academy of Finland: Helsinki, Finland, 1992; Volume 3, pp. 250–255. [Google Scholar]
- Askne, J.I.A.; Fransson, J.E.S.; Santoro, M.; Soja, M.J.; Ulander, L.M.H. Model-based biomass estimation of a hemi-boreal forest from multitemporal TanDEM-X acquisitions. Remote Sens. 2013, 5, 5574–5597. [Google Scholar] [CrossRef]
- Soja, M.J.; Sandberg, G.; Ulander, L.M.H. Regression-based retrieval of boreal forest biomass in sloping terrain using P-band SAR backscatter intensity data. IEEE Trans. Geosci. Remote Sens. 2013, 51, 2646–2665. [Google Scholar] [CrossRef]
- Neumann, M.; Saatchi, S.S.; Ulander, L.M.H.; Fransson, J.E.S. Assessing performance of L- and P-band polarimetric interferometric SAR data in estimating boreal forest above-ground biomass. IEEE Trans. Geosci. Remote Sens. 2012, 50, 714–726. [Google Scholar] [CrossRef]
- Sandberg, G.; Ulander, L.M.H.; Fransson, J.E.S.; Holmgren, J.; le Toan, T. L- and P-band backscatter intensity for biomass retrieval in hemiboreal forest. Remote Sens. Environ. 2011, 115, 2874–2886. [Google Scholar] [CrossRef]
- Folkesson, K.; Smith-Jonforsen, G.; Ulander, L.M.H. Validating backscatter models for CARABAS SAR images of coniferous forests. Can. J. Remote Sens. 2008, 34, 480–495. [Google Scholar] [CrossRef]
- Askne, J.; Santoro, M. Experiences in boreal forest stem volume estimation from multitemporal C-band InSAR. In Recent Interferometry Applications in Topography and Astronomy; Padron, I., Ed.; InTech: Morn Hill, UK, 2012. [Google Scholar]
- Jonsson, B.; Jacobsson, J.; Kallur, H. The forest management planning package. Theory and application. Stud. For. Suec. 1993, 189, 1–56. [Google Scholar]
- Loman, J.-O. Statistical Yearbook of Forestry 2006; Swedish Forest Agency: Jönköping, Sweden, 2006.
- Fransson, J.E.S.; Magnusson, M.; Olsson, H.; Eriksson, L.E.B.; Sandberg, G.; Smith-Jonforsen, G.; Ulander, L.M.H. Detection of forest changes using ALOS PALSAR satellite images. In Proceedings of the IGARSS 2007, Barcelona, Spain, 23–27 July 2007.
- Fransson, J.E.S.; Pantze, A.; Eriksson, L.E.B.; Soja, M.J.; Santoro, M. Mapping of wind-thrown forests using satellite SAR images. In Proceedings of the IGARSS 2010, Honolulu, HI, USA, 25–30 July 2010.
- Santoro, M.; Fransson, J.E.S.; Eriksson, L.E.B.; Magnusson, M.; Ulander, L.M.H.; Olsson, H. Signatures of ALOS PALSAR L-band backscatter in Swedish forest. IEEE Trans. Geosci. Remote Sens. 2009, 47, 4001–4019. [Google Scholar] [CrossRef]
- Wegmüller, U. Automated terrain corrected SAR geocoding. In Proceedings of the IGARSS 1999, Hamburg, Germany, 28 June–2 July 1999.
- Shimada, M.; Isoguchi, O.; Tadono, T.; Isono, K. PALSAR radiometric and geometric calibration. IEEE Trans. Geosci. Remote Sens. 2009, 47, 3915–3932. [Google Scholar] [CrossRef]
- Castel, T.; Beaudoin, A.; Stach, N.; Stussi, N.; le Toan, T.; Durand, P. Sensitivity of space-borne SAR data to forest parameters over sloping terrain. Theory and experiment. Int. J. Remote Sens. 2001, 22, 2351–2376. [Google Scholar] [CrossRef]
- Fransson, J.E.S.; Israelsson, H. Estimation of stem volume in boreal forests using ERS-1 C- and JERS-1 L-band SAR data. Int. J. Remote Sens. 1999, 20, 123–137. [Google Scholar] [CrossRef]
- Tanase, M.A.; Panciera, R.; Lowell, K.; Siyuan, T.; Garcia-Martin, A.; Walker, J.P. Sensitivity of L-band radar backscatter to forest biomass in semiarid environments: A comparative analysis of parametric and nonparametric models. IEEE Trans. Geosci. Remote Sens. 2014, 52, 4671–4685. [Google Scholar] [CrossRef]
- Freeman, A.; Durden, S.L. A three-component scattering model for polarimetric SAR data. IEEE Trans. Geosci. Remote Sens. 1998, 36, 963–973. [Google Scholar] [CrossRef]
- Sun, G.; Simonett, D.S.; Strahler, A.H. A radar backscatter model for discontinuous coniferous forests. IEEE Trans. Geosci. Remote Sens. 1991, 29, 639–650. [Google Scholar] [CrossRef]
- Saatchi, S.S.; McDonald, K.C. Coherent effects in microwave backscattering models for forest canopies. IEEE Trans. Geosci. Remote Sens. 1997, 35, 1032–1044. [Google Scholar] [CrossRef]
- Pulliainen, J.T.; Kurvonen, L.; Hallikainen, M.T. Multitemporal behavior of L- and C-band SAR observations of boreal forests. IEEE Trans. Geosci. Remote Sens. 1999, 37, 927–937. [Google Scholar] [CrossRef]
- Saatchi, S.; Marlier, M.; Chazdon, R.; Clark, D.B.; Russell, A.E. Impact of spatial variability of tropical forest structure on radar estimation of aboveground biomass. Remote Sens. Environ. 2011, 115, 2836–2849. [Google Scholar] [CrossRef]
- Lucas, R.; Armston, J.; Fairfax, R.; Fensham, R.; Accad, A.; Carreiras, J.; Kelley, J.; Bunting, P.; Clewley, D.; Bray, S.; et al. An evaluation of the ALOS PALSAR L-band backscatter—Above ground biomass relationship Queensland, Australia: Impacts of surface moisture condition and vegetation structure. IEEE J. Sel. Top. Appl. Earth Obs. 2010, 3, 576–593. [Google Scholar] [CrossRef]
- Cartus, O.; Kellndorfer, J.; Walker, W.; Bishop, J.; Franco, C.; Santos, L.; Michel Fuentes, J.M. A national, detailed map of forest aboveground carbon stocks in Mexico. Remote Sens. 2014, 6, 5559–5588. [Google Scholar] [CrossRef]
- Tanase, M.A.; Panciera, R.; Lowell, K.; Aponte, C.; Hacker, J.M.; Walker, J.P. Forest biomass estimation at high spatial resolution: Radar vs. Lidar sensors. IEEE Geosci. Remote Sens. Lett. 2013, 11, 711–715. [Google Scholar] [CrossRef]
- Rosenqvist, A.; Shimada, M.; Suzuki, S.; Ohgushi, F.; Tadono, T.; Watanabe, M.; Tsuzuku, K.; Watanabe, T.; Kamijo, S.; Aoki, E. Operational performance of the ALOS global systematic acquisition strategy and observation plans for ALOS-2 PALSAR-2. Remote Sens. Environ. 2014, 155, 3–12. [Google Scholar] [CrossRef]
- Le Toan, T.; Quegan, S.; Davidson, M.W.J.; Balzter, H.; Paillou, P.; Papathanassiou, K.; Plummer, S.; Rocca, F.; Saatchi, S.; Shugart, H.; et al. The BIOMASS mission: Mapping global forest biomass to better understand the terrestrial carbon cycle. Remote Sens. Environ. 2011, 115, 2850–2860. [Google Scholar] [CrossRef]
- Rosen, P.A.; Eisen, H.; Shen, Y.; Hensley, S.; Shaffer, S.; Veilleux, L.; Dubayah, R.; Ranson, K.J.; Dress, A.; Blair, J.B.; et al. The proposed DESDynI mission—From science to implementation. In Proceedings of the IEEE Radar Conference (RADAR), Kansas City, MO, USA, 23–27 May 2011.
- Gebert, N.; Carnicero, D.B.; Davidson, M.W.J.; Diaz, M.M.; Silvestrin, P. SAOCOM-CS—A passive companion to SAOCOM for single-pass L-band SAR interferometry. In Proceedings of the EUSAR 2014 10th European Conference on Synthetic Aperture Radar, Berlin, Germany, 3–5 June 2014.
© 2015 by the authors; licensee MDPI, Basel, Switzerland. This article is an open access article distributed under the terms and conditions of the Creative Commons Attribution license (http://creativecommons.org/licenses/by/4.0/).
Share and Cite
Santoro, M.; Eriksson, L.E.B.; Fransson, J.E.S. Reviewing ALOS PALSAR Backscatter Observations for Stem Volume Retrieval in Swedish Forest. Remote Sens. 2015, 7, 4290-4317. https://doi.org/10.3390/rs70404290
Santoro M, Eriksson LEB, Fransson JES. Reviewing ALOS PALSAR Backscatter Observations for Stem Volume Retrieval in Swedish Forest. Remote Sensing. 2015; 7(4):4290-4317. https://doi.org/10.3390/rs70404290
Chicago/Turabian StyleSantoro, Maurizio, Leif E.B. Eriksson, and Johan E.S. Fransson. 2015. "Reviewing ALOS PALSAR Backscatter Observations for Stem Volume Retrieval in Swedish Forest" Remote Sensing 7, no. 4: 4290-4317. https://doi.org/10.3390/rs70404290
APA StyleSantoro, M., Eriksson, L. E. B., & Fransson, J. E. S. (2015). Reviewing ALOS PALSAR Backscatter Observations for Stem Volume Retrieval in Swedish Forest. Remote Sensing, 7(4), 4290-4317. https://doi.org/10.3390/rs70404290

